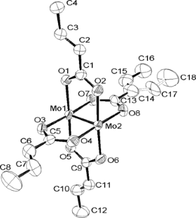
A quadruply bonded dimolybdenum complex with trans-crotonate ligands, Mo2(O2CC3H5)4, was synthesized and characterized by UV–VIS, IR, and NMR spectra. The crystal structure was determined by an X-ray single crystal diffraction analysis. The title complex (C16H20O8Mo2, M w = 532.2) crystallized in the triclinic space group P-1 with the following crystallographic parameters: a = 10.236(2) Å, b = 10.393(2) Å, c = 10.524(2) Å, α = 89.59(1)°, β = 73.34(1)°, γ = 70.78(2)°, V = 1008.1(3) Å3, Z = 2, D c = 1.753 Mg m−3, μ(Mo Kα = 0.71073 Å, F(000) = 528, and final R 1 = 0.041, wR 2 = 0.114 for observed reflections 2889 (I > 2σ(I)). The Mo2 4+ unit was surrounded by four trans-crotonate ligands resulting in a paddle wheel structure with one disordered trans-crotonate ligand. Molecules are bonded together by means of interactions consisting of the donation of lone pairs of electron on carboxylate O atoms on one molecule to the Mo atom on an adjacent complex. A new pattern of intermolecular bonding is observed.
This is a preview of subscription content, access via your institution.




References
Cotton, F.A.; Walton, R.A. Multiple Bonded Between Metal Atoms ; 2nd ed., Oxford: New York, 1993; pp 139–257.
Cotton, F.A.; Lin, C.; Murillo, C.A. Inorg. Chem. 2001, 40, 478.
Cotton, F.A.; Lei, P., Lin, C.; Murillo; C.A.; Wang, X.; Yu, S.-Y.; Zhang, Z.-X. J. Am. Chem. Soc. 2004, 126, 1518.
Liwporncharoenvong, T.; Luck, R.L. J. Am. Chem. Soc. 2001, 123, 3615.
Cotton, F.A.; Donahue, J.P.; Murillo, C.A. J. Am. Chem. Soc. 2003, 125, 5436.
Brencic, J.V.; Cotton, F.A. Inorg. Chem. 1970, 9, 351.
Enraf-Nonius. CAD4 Express Software ; Enraf-Nonius: Delft, The Netherlands, 1994.
North, A.C.T.; Phillips, D.C.; Mathews, F.S. Appl. Cryst. 1968, A24, 351.
Altomare, A.; Burla, M.C.; Camalli, M.; Cascarano, G.L.; Giacovazzo, C.; Gugliardi, A.; Moliterni, A.G.G.; Polidori, G.; Spagna, R.J. Appl. Cryst. 1999, 32, 115.
Farrugia, L.J. Appl. Cryst. 1999, 32, 837.
Sheldrick, G.M. SHELXL97, Program for crystal structure refinement ; University of Göttingen: Germany, 1997.
Farrugia, LT. J. Appl. Crystallogr. 1997, 30, 565.
Allen, F.H. Acta Cryst. 2002, B58, 380.
Bruno, I.J.; Cole, J.C.; Edhington, P.R.; Kessler, M.; Macrae, C.F.; MaCabe, P.; Pearson, J.; Taylor, R. Acta Cryst. 2002, B58, 389.
Cotton, F.A.; Norman Jr., J.G. J. Coord. Chem. 1971, 1, 161.
Cotton, F.A.; Norman Jr., J.G., BStults, B.R.; Webb, T.R. J. Coord. Chem. 1976, 5, 217.
Cotton, F.A.; Extine, M.; Gage, L.D. Inorg. Chem. 1978, 17, 172.
Cotton, F.A.; Falvello, L.R.; Murillo, C.A. Inorg. Chem. 1983, 22, 382.
Cotton, F.A.; de Silva, D.O. Inorg. Chim. Acta. 1996, 249, 54.
Chisholm, M.H.; Wilson, P.J.; Woodward, P.M. Chem. Commun. 2002, 566.
Bursten, B.E.; Chisholm, M.H.; Clark, R.J.H.; Firth, S.; Hadad, C.M.; Wilson, P.J.; Woodward, P.M.; Zaleski, J.M. J. Am. Chem. Soc. 2002, 124, 12244.
Liwporncharoenvong, T., Luck, R.L. Acta. Cryst. 2005, E61.
Acknowledgments
We thank Michigan Technological University and Thailand Research Fund, TRF (For TL) for generous support.
Author information
Authors and Affiliations
Corresponding author
Rights and permissions
About this article
Cite this article
Liwporncharoenvong, T., Luck, R.L. Preparation and crystal structure of a quadruply bonded dimolybdenum complex with trans-crotonate ligands. J Chem Crystallogr 36, 205–210 (2006). https://doi.org/10.1007/s10870-005-9048-2
Received:
Accepted:
Published:
Issue Date:
DOI: https://doi.org/10.1007/s10870-005-9048-2
KEY WORDS:
- quadruply bonded dimolybdenum complex
- trans-crotonic acid
- synthesis
- crystal structure