Abstract
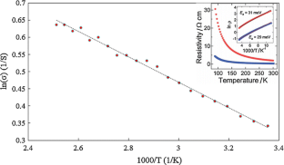
Thin films of pyrite (FeS2) were fabricated using synthesized nano-particles and their structural, electrical and optical properties were characterized. Initially, pyrite-nano-particles were synthesized by an aqueous hydrothermal reaction. The X-ray diffraction confirmed that synthesized pyrite had a phase pure cubic pyrite structure with the average grain size around 30.0 nm. The pyrite films were fabricated by vacuum thermal evaporation of pyrite nanoparticles followed by a thermal sulfurization process. The as-deposited films have an amorphous structure and the sulfurized films have a cubic pyrite structure. The optical properties exhibited the bandgap closer to previously reported bandgap of pyrite. The photoconductivity of pyrite films was measured under AM1.5G sunlight and infrared (850 nm) light illumination. The photoconductivity data showed that the sulfurized pyrite films were more photoconductive than the as-deposited films.
This is a preview of subscription content, access via your institution.









References
A. Ennaoui, S. Fiechter, C. Pettenkofer, N. Alonso-Vante, K. Büker, M. Bronold, Ch. Höpfner, H. Tributsch, Iron disulfide for solar energy conversion. Sol. Energy Mater. Sol. Cells 29, 289–370 (1993)
E.J. Kim, B. Batchelor, Synthesis and characterization of pyrite (FeS2) using microwave irradiation. Mater. Res. Bull. 44, 1553–1558 (2009)
C. Wadia, Y. Wu, S. Gul, S. Volkman, J.H. Guo, A.P. Alivisatos, Surfactant-assisted hydrothermal synthesis of single phase pyrite FeS2 nanocrystals. Chem. Mater. 21, 2568–2570 (2009)
I. Uhlig, R. Szargan, H.W. Nesbitt, K. Laajalehto, Surface states and reactivity of pyrite and marcasite. Appl. Surf. Sci. 179, 222–229 (2001)
A. Ennaoui, S. Fiechter, W. Jaegermann, H. Tributch, Photoelectrochemistry of highly quantum efficient single-crystalline n-FeS2 (pyrite). J. Electrochem. Soc. 133(1), 97–106 (1986)
B. Meester, L. Reijnen, A. Goossens, J. Schoonman, Synthesis of pyrite (FeS2) thin films by low-pressure MOCVD. Chem. Vap. Depos. 6(3), 121 (2000)
J. Oertel, K. Ellmer, W. Bohne, J. Röhrich, H. Tributsch, Growth of n-type polycrystalline pyrite (FeS2) films by metalorganic chemical vapour deposition and their electrical characterization. J. Cryst. Growth 198(199), 1205–1210 (1999)
N. Berry, M. Cheng, C.L. Perkins, M. Limpinsel, J.C. Hemminger, M. Law, Atmospheric-pressure chemical vapor deposition of iron pyrite thin films. Adv. Energy Mater. 2, 1124–1135 (2012)
C. de las Heras, I.J. Ferrer, C. Sánchez, Pyrite thin films: improvements in their optical and electrical properties by annealing at different temperatures in a sulfur atmosphere. J. Appl. Phys. 74(7), 4551 (1993)
L. Meng, Y.H. Liu, L. Tian, Structural, optical and electrical properties of polycrystalline pyrite (FeS2) films obtained by thermal sulfuration of iron films. J. Cryst. Growth 253, 530–538 (2003)
N. Hamdadou, A. Khelil, J.C. Bernède, Pyrite FeS2 films obtained by sulphuration of iron pre-deposited films. Mater. Chem. Phys. 78, 591–601 (2003)
R.J. Soukup, P. Prabukanthan, N.J. Ianno, A. Sarkar, C.A. Kamler, D.G. Sekora, Formation of pyrite (FeS2) thin films by thermal sulfurization of dc magnetron sputtered iron. J. Vac. Sci. Technol., A 29(1), 11001 (2011)
Y.Z. Dong, Y.F. Zheng, X.G. Zhang, H. Duan, Y.F. Sun, Y.H. Chen, FeS2 (pyrite) electro-deposition thin films and study of growth mechanism. Sci. China, Ser. E Eng. Mater. Sci. 48(6), 601–611 (2005)
D. Wei, K. Osseo-Asare, Aqueous synthesis of finely divided pyrite particles. Colloids Surf. A 121(1), 27–36 (1997)
S. Kar, S.K. Mandal, D. Das, S. Chaudhuri, Wet chemical synthesis of iron pyrite and characterization by Mössbauer spectroscopy. Mater. Lett. 58, 2886–2889 (2004)
J. Puthussery, S. Seefeld, N. Barry, M. Gibbs, M. Law, Colloidal iron pyrite (FeS2) nanocrystal inks for thin-film photovoltaics. J. Am. Chem. Soc. 133, 716–719 (2011)
S.C. Hsiao, C.M. Hsu, S.Y. Chen, Y.H. Perng, Y.L. Chueh, L.J. Chen, L.H. Chou, Facile synthesis and characterization of high temperature phase FeS2 pyrite nanocrystals. Mater. Lett. 75(15), 152–154 (2012)
A.M. Golsheikh, N.M. Huang, H.N. Lim, C.H. Chia, I. Harrison, M.R. Muhamad, One-pot hydrothermal synthesis and characterization of FeS2 (pyrite)/graphene nanocomposite. Chem. Eng. J. 218(15), 276–284 (2013)
X.Q. Qiu, M. Liu, T. Hayashi, M. Miyauchi, K. Hashimoto, Solution-based synthesis of pyrite films with enhanced photocurrent generation. Chem. Comm. 49, 1232–1234 (2013)
K.W. Sun, Z.H. Su, J. Yang, Z.L. Han, F.Y. Liu, Y.Q. Lai, J. Li, Y.X. Liu, Fabrication of pyrite FeS2 thin films by sulfurizing oxide precursor films deposited via successive ionic layer adsorption and reaction method. Thin Solid Films 542, 123–128 (2013)
B. Ouertani, J. Ouerfelli, M. Saadoun, B. Bessaïs, H. Ezzaouia, J.C. Bernède, Characterization of FeS2-pyrite thin films synthesized by sulphuration of amorphous iron oxide films pre-deposited by spray pyrolysis. Mater. Charact. 54, 431–437 (2005)
F. Wang, L.Y. Huang, Z.J. Luan, J.S. Huang, L. Meng, Effect of sulfurization temperature on the surface roughening, electrical and optical properties of FeS2 films deposited by sol-gel method. Mater. Chem. Phys. 132, 505–508 (2012)
L. Meng, M.S. Liu, Thin pyrite (FeS2) films prepared by thermal-sulfurating iron films at various temperatures. Mater. Sci. Eng., B 60, 168–172 (1999)
S. Lu, B. Panchapakesan, Photoconductivity in single wall carbon nanotube sheets. Nanotechnology 17, 1843 (2006)
Author information
Authors and Affiliations
Corresponding author
Rights and permissions
About this article
Cite this article
Shi, Z., Jayatissa, A.H. & Peiris, F.C. Fabrication of semiconducting pyrite thin films from hydrothermally synthesized pyrite (FeS2) powder. J Mater Sci: Mater Electron 27, 535–542 (2016). https://doi.org/10.1007/s10854-015-3786-5
Received:
Accepted:
Published:
Issue Date:
DOI: https://doi.org/10.1007/s10854-015-3786-5
Keywords
- Pyrite
- FeS2
- Vacuum Thermal Evaporation
- Sulfurized Film
- Ammonium Thiosulfate