Abstract
For decades, a wide variety of products have benefitted from the use of flexible PVC, ranging from healthcare to cable to packaging & household items. The uniqueness of PVC rises from its growth as polymer from monomers and the final structure. Due to the presence of chlorine atoms, PVC is inherently flame retardant, but it cannot always meet all fire safety requirements and maintain a needed balance of properties. One approach to meet this balance of properties is to incorporate flame retardant functionality directly into the plasticizer that is added to PVC. However, the toxicity of current plasticizers has motivated a focus on bio-based plasticizers. In flexible PVC products where flame retardancy is necessary, reports have begun to appear involving bio-plasticizers where flame retardant functionality is included. This focused review presents current research in the flexible PVC field emphasizing development of bio-plasticizers and flame retardants, and an analysis of examples of bio-plasticizers, chemical structures, and effects on flame retardancy. The review concludes with a perspective on the main challenges and future research directions for this exciting fire research field.
Similar content being viewed by others
Introduction
Among all thermoplastics, polyvinyl chloride (PVC) remains a unique polymer. Even though many different polymers since been developed, PVC continues to attract attention due to its chemistry and application versatility. Commercial applications include but not limited to construction (doors & window frames, fences, claddings, pipes, wire and cables), automotive (interior trim, panels, seat coverings etc.), packaging (bottles, blisters and films), healthcare (medical tubing, blood bags, catheters, artificial skin etc.), sports and clothing (stadium roofing, waterproof membranes, boots, shoes, and artificial leather). In new but not well-known areas, PVC is finding applications as electroactive polymers (EAPs) as soft actuators and devices [1].
Softness to PVC stems from the use of an additive known as a plasticizer. The most widely utilized plasticizer is dioctyl phthalates (DOP), the industrial workhorse. Then there is di(2-ethylhexyl) phthalate (DEHP), a common plasticizer used for PVC found in blood bags and in medical tubing. Reports detailing concerns about phthalate plasticizers exposure are abundant and the concerns around this plasticizer are well known [2,3,4,5]. When plasticizers are incorporated in PVC, rigidity of the latter reduces depending upon the type and amount of plasticizer used. For this reason, plasticizer efficiency is studied to measure the ability of a plasticizer to make PVC softer.
In commercial applications, however, amount of plasticizer is the key to a successful development of PVC product. Depending on application, the loading of plasticizer can range from 15 to 50 wt% of PVC formulations. This is how flammability of PVC suffers. To counteract, flame retardants (FRs) are then used to improve the fire performance of the soft PVC. However, due to possible toxicity, migration out of the polymer to the environment, and their nonrenewable origin of current plasticizers, there is great interest to develop bio-derived and non-toxic alternative plasticizers.
Effort has been made to exploit aliphatic ester-derived plasticizers for PVC to suppress migration of it as an alternative to DEHP [6]. One example described covalently bonding of DOP to PVC could suppress migration completely [7]. The approach, however, reduced the flexibility of the end PVC product. Later research further showed [8] that it was possible to synthesize functionalized plasticizers by linking it to PVC for highly flexible to semirigid applications. Although provided future direction to the research, the strategy never materialized in commercial applications. In another example, xanthate-mediated RAFT polymerization was used to produce star-PVC which substantially reduced its glass transition temperature when put into PVC. This work sought to blend star-PVC as non-migratory plasticizer for commercial PVC and mechanical property results showed that even addition of 10 wt% star-PVC as additive in PVC is as effective as 30 wt% DOP [9].
Studies have revealed that plasticizers and/or FR additives can be found in oceans [10] and in their natural environments [11] due to their instability. Stability as a function of changing pH, and pathways of aquatic degradation have been examined [12]. Even FR additives and plasticizers have been reported from different water sources (tap, rain, Hudson River in Albany, New York, wastewaters in Europe) [13, 14]. Understandably, when similar plasticizers or FRs are used in buildings and in decorative materials, migration out of the polymer could also pose a health risk to humans [15]. On the one hand, migration/toxicity and on the other the tremendous application potential of plasticized PVC, has driven new developments and PVC research. The focus has shifted however to biobased plasticizers and flame retardants.
There are many published articles and even some reviews describing either FR additives for plasticized PVC [16,17,18, 86, 87] or biobased FR [19, 20, 81, 88] for PVC. A goal has been the design of efficient bio-derived plasticizers to replace petroleum derived plasticizers (DOP, DEHP, DIBP, DINP etc.) in PVC. Bio-derived means that the molecular building block for a plasticizer comes from biomass material and not from crude oil. A bio-derived plasticizer may be compostable or non-compostable. Often ignored as a central theme to these efforts is the required mechanical properties for the end-products and their durability. The flammability of bio-derived plasticizers as well as the mechanical properties, including durability, of plasticized PVC have not been addressed.
Selecting the most efficient plasticizer and the best FR for specific polymeric formulations is no easy task. Nevertheless, market studies suggest that global demand for all types of plasticizers could reach approximately 9.75 million tons in 2024 [21], further indicating that plasticizer study continues to be a needed area of research and scientific review.
This review briefly illustrates the development of plasticizers containing flame retardant functionality. The review has been limited to summarize and to document current challenges in the development of flame-retardant plasticizers for PVC formulations. Potential future directions for further research, development, and applications are also provided in this review.
Chemical attributes of PVC and plasticizer
Since this article captures how bio-based plasticizers in PVC influence the balance between mechanical and fire properties, a brief chemistry of the main components namely PVC and plasticizer are warranted. PVC’s uniqueness stems from its chemical structure allowing it to accommodate varieties of additives at different loading levels. While the monomer vinyl chloride is made of ethylene and chlorine, the addition of vinyl monomer to a growing polymer (PVC) chain results in a chlorine atom on every other carbon atom [22]. When the polymer grows it precipitates from its monomers and are known as primary particles. This insolubility of a polymer in its monomer is unique in the polymeric world except for halogenated vinyl monomers. PVC technology from chlorine and ethylene has been reviewed and is well studied [23]. Once the polymer is formed, then there are structural flaws called “defects” within the polymer. Because of these defects, PVC is thermally unstable. Obvious implication is observed through well-established “zipper” dehydrochlorination mechanism resulting in conjugated polyene structures. This mechanism results in not only losing all the useful properties of PVC but also generating corrosive and toxic gases. Fortunately, early development of thermal stabilizers helped the polymer to mitigate instability and find commercial applications. In fact, development of efficient thermal stabilizer continues till date. No surprise that types, concentration, and origin of these defects have been critical to the success of PVC. A review of 30 years of research on PVC described how nine types of structural defects can arise and their effects on PVC structure [24]. Debate continues about the initiation site possibilities and their potential sources [25, 26]. Nevertheless, PVC’s uniqueness from other polymers is proven. The other PVC resin (suspension or emulsion) issues to consider when developing a formulation are degree of polymerization (K-value), particle sizes and their distribution, bulk density, and impurities.
One of the major application advantages of polyvinyl chloride (PVC) is in its resistance to combustion. It is difficult to ignite and readily self-extinguishes. Lower hydrogen to carbon ratio, and high chlorine content make PVC’s self-ignition temperature above 500 °C. The net heat of combustion is 16.9 kJ/g while most plastics are in the range of 24–43 kJ/g [59]. However, when PVC is burnt, the toxicity of smoke and corrosive gas those are released remain a constant challenge to all formulation scientists and engineers. More so when PVC is plasticized either internally or externally. Simply because chlorine content of the formulated compound decreases. For example, when PVC is used alone, its limiting oxygen index (LOI) could reach up to 45%. If a plasticizer (between 40 and 60 PHR) is incorporated into a PVC formulation, LOI could go down to 24% [82, 88, 98]. As a matter of fact, PVC’s ability to accommodate different additives handicaps it to provide initial resistance to combustion—a major consideration for all PVC formulators. LOI is discussed more below, as it is important to understand that this test method has limitations in understanding PVC flammability.
Nevertheless, plasticizers are critical to PVC’s many application successes. Plasticizers are linear or cyclic carbon chains with average molecular weights of between 300 and 600 g/mol resulting in high boiling liquids. When a plasticizer is used, it lowers glass transition temperature (Tg), increases PVC’s flowability (processability) and improve usability (flexibility and extensibility). Consequently, elastic modulus of end material (often called soft-PVC), decreases.
Plasticizers are generally classified as internal or external. Internal plasticizers have bulky structures and are chemically attached to the polymer (PVC) such as with vinyl acetate. Thus, allowing PVC molecules with more space to move around. A recent example would be where a block copolymer of PVC was synthesized with butyl acrylate [27]. External plasticizers are not chemically bonded to the PVC chains but interact by polar and/or non-polar forces yielding similar results i.e., lowering Tg. Since external plasticizers are relatively cheaper, use of these makes economic sense rather than using internally plasticized PVC. Not only the internal modification (by internal stabilizer) increases the cost but also develops higher temperature dependence. In consequence, dimensional stability at elevated temperature can become a major application concern. This is key to durability of the product. On the other hand, external plasticizer allows formulators to choose the one which provides desirable end-product properties. Sometimes high molecular weight resin modifiers (called flexibilizers) are used to reduce smoke while keeping strength and low temperature flexibility [28]. In any event, the choice of plasticizer (bio-derived or not) is key to its compatibility to PVC. Compatibility (interactions) issue was understood a long time ago. Working with 12 plasticizers, Ramos–Devalle and Gilbert showed how compatibility with PVC could be assessed [29]. Even structural changes in plasticizers such as increasing the alkyl side chain lengths in phthalate esters enhances their external but decreases their internal lubricating behaviors.
Earlier work had shown that within a given series of ester plasticizers (between 40 and 70 PHR concentration) having a common acid group, plasticizer efficiency in PVC rises as the molecular weight of the plasticizer decreases and linearity of the alcohol chain increases [30]. Clearly, chemical architecture dictated plasticizing efficiency of the plasticizers. Several studies have shown that plasticizing efficiency can be designed by manipulating molecular structure of plasticizers [31,32,33,34]. As a replacement for DEHP, Leask et al. [31] modified the side chains of maleate diesters (DEHM) to be linear and with varied alkyl chain lengths, showed plasticization efficiency is comparable with DEHP when 29 wt% of plasticizer is blended into PVC. Similarly, a set of isosorbide-based plasticizer was synthesized with varying alkyl chain length and accessed plasticizing efficiency as well as mechanical properties [32]. Research has also shown that the structure of ester group influenced plasticization efficiency along with mechanical properties, transparency, and migration resistance [34]. In another study, di-n-heptyl succinate (DHPS) was synthesized from commercially available renewable feedstocks utilizing nitrogen gas to remove water from the esterification process where the work demonstrated DHPS’s better plasticization properties than DEHP [35]. Further work [36] showed two to ten-fold migration resistance in hexane with increased branching in succinate plasticizer in comparison to DEHP and DHPS. However, plasticizer efficiency decreased with four or more branches. Tartaric acid based biodegradable derivatives plasticizers have also shown plasticizing efficacy while mechanical properties in PVC blends depended on the side chain lengths of TA esters side chain. This study [37] used 30 PHR of the plasticizer.
Moreover, due to plasticizers’ different solvation power, changes occur in gelation process and in fusion of PVC particles. Consequently, the processability of PVC compounds along with the product performance suffer. One study [38] looked at rheological and fusion aspects of coconut oil-based plasticizer in PVC and confirmed a better processing behavior than DOP and DINP. Attempts [39, 40] have been made to develop dibenzoate plasticizers as a high solvator secondary plasticizer.
Permanence is another key aspect of plasticizers, and it is related to volatility, migration and extraction in water, solvents and oil. A recent work showed Poly(ε-caprolactone)-based oligomeric plasticizers worked as effectively as DINP and diheptyl succinate (DHPS) while significantly improving their migration resistance [5]. Hyperbranched ester plasticizer has been shown to provide a better permanence by totally replacing DOP in PVC [41, 42]. Polycaprolactone (PCL) is known for its biodegradability while being highly compatible with PVC. Exploiting these traits, a series of multi-arm hyperbranched polyester-b-PCL (HEPCLs) was synthesized and these showed excellent migration resistance under severe conditions compared with DOP [43]. A recent review covered different attributes (control of molecular weight, terminal hydroxyl end-group, non-toxic) of hyperbranched poly(ester)s from renewable bio-monomers as plasticizers and concluded these are potential replacement for phthalates in PVC [44]. All these works show, how well a plasticizer is retained by PVC becomes a major consideration for formulators.
Details of PVC plasticization focusing on phthalate-based plasticizers and their interactions have been reviewed [45]. One review categorized both petro-based and bio-based plasticizers and made an analysis of their chemical structures relating to plasticizing efficiency [46]. Both reviews gave a thorough understanding of plasticizers and their mechanism. Armed with the knowledge, researchers continued to develop strategies for the development of bio-derived plasticizers. For example, designed poly(hexane succinate) plasticizer for PVC had shown better plasticizing efficiency than DOP [47]. It was further reported that molecular weight of poly(hexane succinate) influence plasticizing efficiency, its migration, and thermal stability when blended in PVC [48]. Biobased plasticizers synthesized from carbohydrate derived bis(hydroxymethyl)furan found to show low migration, thermal stability and good plasticizing effect in PVC [49]. Renewable eleostearic acid eugenol ester (EAEE) and epoxidized EAEE have been reported to enhance compatibility and thermal stability of flexible PVC [50]. Primarily, these works focused on how to stop or reduce plasticizer migration out of the PVC matrix. An overview of these strategies namely, internal plasticization, permanent plasticizer, ionic liquid incorporation, surface crosslinking, surface grafting/coating by various techniques have been documented [51]. Mechanical and thermal properties of bio-based plasticized PVC have been summarized [52]. In a recent review, authors deliberated on different bio-based plasticizers including vegetable oil-based, polyester-based, cardanol-based, lactic acid-based, waste cooking oil-based, and hyperbranched type in PVC [53]. Another review discussed a variety of newly trending plasticizers in PVC for their migration resistance as well as mechanical properties [54]. None of these reviews capture FR aspects of the plasticizers in PVC formulations.
Work on charring plasticizers has been reported where biobased alcohol, pentaerythritol esters containing aromatic moieties and phosphorus esters of dihydroxy benzoates have shown effective plasticization of PVC [55]. In PVC based electrical cable formulations, charring behavior has been connected to ignition temperatures, with charring materials showing a tendency to delay ignition temperature and slowing flame spread [56]. However, it should be noted that in other cases, this same charring behavior can result in earlier ignition temperatures and faster times to ignition if sufficient levels of combustible gases are released during charring & thermal decomposition.
Challenges at hand
Before reviewing the studies on bio-derived plasticizers in PVC and their flammability, it is worthwhile to discuss how PVC thermally decomposes and combusts.
PVC’s general mechanism of thermal decomposition is via dehydrochlorination, in that the polymer chains release HCl and form polyene structures, which can then begin to crosslink with one other polyene chains and start to form high levels of sp2 hybridized carbon, which leads to thermally stable char formation. The HCl released acts as a vapor phase flame retardant, which inhibits combustion as a free radical inhibitor in the vapor phase of a fire, and leads to high smoke release for PVC when it burns [59, 80]. In general, PVC in its unplasticized form chars and does not drip and flow. However, it may deform and move in a fire test depending upon how thick/thin the sample is while burning. Flame retardants for PVC are well known. These can vary greatly in chemistry to enhance char formation and to deal with the smoke production issues [81, 82]. The flame retardants also are included to compensate for the use of plasticizers added to the PVC. Depending upon the chemical structure of the plasticizer, the plasticizer may just add flammable fuel to the PVC (i.e., the plasticizer being a hydrocarbon), but typically these plasticizers burn more cleanly than PVC and may increase heat release/flame spread while sometimes slightly reducing smoke release. Except for rigid PVC pipe and structural components, most PVC is plasticized one way or another, and so the plasticizer will influence flammability. Therefore, the interactions among flame retardant, PVC, and plasticizer must be considered.
There has been one study which investigated just the effects of plasticizer on pyrolysis and combustion behavior of PVC with no additional flame retardants through studies of pyrolysis using a specialized controlled atmosphere pyrolysis apparatus [83]. This apparatus is similar to the cone calorimeter but can study just pyrolysis (anaerobic) vs. combustion (aerobic) behavior by controlling the atmosphere during polymer thermal decomposition. In this work, both plasticized and un-plasticized PVC had similar mass loss rates during pyrolysis. However, these two materials (plasticized and unplasticized) had different heat releases, with the plasticized PVC giving off about 2 times more in heat release. This indicates that as mentioned above, the plasticizer makes the flammability of PVC worse, as one would expect when comparing PVC to a hydrocarbon-based ester like a phthalate. However, the plasticizer is an essential component of PVC in many practical applications where flexibility is required, and so it must be considered in flame retardant design.
Assessing flame retardant effects in PVC
As mentioned in the previous paragraph, flame retardant performance in PVC for regulatory end-use requirements is tailored to the specific balance-of-properties needed. The end-use application drives which flame retardant chemistry one should select and how that flame retardant effect is measured. The flame retardant effect (or a lack thereof) is a material flammability measurement, which can be measured by several different test methods. These test methods often are designed to replicate a fire risk scenario of concern. Readers should be aware that fire safety engineering and fire safety science have their own nomenclatures which govern how to assess flammability of a material in a particular configuration [57, 58]. For the purpose of this review, just enough explanation is provided to allow the readers why a particular fire test is chosen to assess a flame retardant effect of an additive in PVC.
At the core of any material flammability assessment an evaluation of fire hazard is necessary, meaning the potential for damage to life and property if a fire occurs. Along with fire hazard, an assessment of the chance of this fire occurring is made, which is defined as fire risk. The fire hazard and fire risk are combined to consider how a particular material in a given situation will ignite and burn, and this gets defined as a fire risk scenario. More specifically, the fire risk scenario is where a material in a particular situation represents a definite hazard should it ignite. Also there is some known probability of ignition occurring in this particular situation. Examples of fire risk scenarios that readers can envision easily include PVC jackets around power cables that get damaged and short circuit, wildfire embers impacting on vinyl siding on a house or a spot-ignition source (dropped cigarette or knocked over candle) on a fake leather covering for furniture. These fire risk scenarios are then captured within the codes and the standards so that the law (code) describes a particular test method and performance in the test method (standard) for the product to meet such that it can be safely used in commerce. This work is not meant to cover the world of codes and standards here, and there are good review papers [59,60,61] and books on this subject [62, 63].
Once the end-use application has been identified, there are standard methods which are used to assess PVC flammability. Some of which are pass/fail type tests, and others which quantify fire behavior. Again, this paper cannot review all fire tests out there, and there are good references on the subject which should be consulted before beginning a research program on flame retardant materials development [61, 64,65,66]. Connecting bench fire tests to regulatory performance requires knowledge of what the regulatory test is measuring, and what the bench scale test is measuring. How these two are similar and different in regard to measurements of material flammability, fire physics, and combustion phenomena. In general, one wants to see improved flammability performance in the test methods chosen. Improved performance can include one or more of the following: ignition resistance, lower heat release, lower flame spread, resistance to electrical arcing, thermal shock resistance, and lower smoke release. The end-use regulatory requirement will determine which of these measurements need to be improved (one or several, rarely all of them) and by how much. Effects of flame retardant selection to test performance and how to develop a flame retardant material have been well reviewed elsewhere [64,65,66]. However, to understand the flammability property enhancement brought by bio-based plasticizers containing flame retardant functionality, pertinent discussions of fire tests and what they measure are needed. This would allow the readers to make out under what metric the flammability was assessed/measured.
A very common use of flame retardant plasticized PVC is in wire and cable products. End-use regulatory tests for wire and cable are often large-scale fire tests that measure flame spread on entire wire assemblies in horizontal & vertical orientations [67,68,69]. These large-scale tests consume large amounts of material and do not lend themselves to research activities like those described in this paper. For new material development, such as those discussed in this work with bio-derived plasticizers, bench scale flammability tests are used. Three commonly used bench scale flammability tests are limiting oxygen index (LOI-ASTM D2863), Underwriter’s Laboratory Standard #94 (UL94 V, ASTM D3801), and cone calorimeter (ASTM E1354). Horizontal flame spread tests (such as UL94 HB, ASTM D635) can be used as well, but in general do not provide as robust an assessment of flammability behavior as that provided by the UL94 or cone calorimeter.
The LOI test measures the ability of a material to maintain a candle-like flame under different % oxygen atmospheres, and by measuring % increases required to maintain that flame, flame retardant action can be claimed. Units are typically given in % volume oxygen content (example, 20% vs. 25%) from as low as 15% up to 95%. However, the LOI test, while useful as a quality control tool, can be misleading for materials which drip and flow (where it can give higher % oxygen contents for maintaining the candle-like flame). Further, research has shown that it does not correlate with any real-world fire test [70]. The test tries to maintain a candle-like flame on the top of the sample, and so flame spread is not really a consideration in this test. Specifically, flame spread is accelerated in a vertical orientation due to buoyancy of the decomposition gases when the flame is ignited on the bottom of the sample. A high LOI value, or a higher LOI value vs. a non-flame retardant control sample, is not a proof of fire safety in a material. However, an improved LOI (higher % oxygen required to maintain a candle-like flame) does give some indication of potential flame retardant effect vs. a control sample. Still, adequate care is needed when using this method to develop new materials and additional data should be investigated to properly assess the flame retardant potential of a material.
The UL94 V test is a small sized flame (20 mm high) that is used to measure the ability of a material to self-extinguish when exposed to a flame that can travel up the sample in a vertical orientation. This method has been a standard method to certify materials for use in commerce by different ratings within the UL94 standard. In general, the faster the sample can self-extinguish after removal of the flame, and not drip during flame exposure, the more flame retardant the sample is considered to be. There are three general ratings in this test, V−2, V−1, and V−0. V−2 indicates that the average extinguishment time after flame removal (over 5 tested specimens) is less than 30 s, but drips of flaming particles/drips are allowed. V−1 indicates that the average extinguishment time after flame removal (over 5 tested specimens) is less than 30 s, but no flaming drips/particles are observed. V−0 indicates that the average extinguishment time after flame removal (over 5 tested specimens) is less than 10 s, but no flaming drips/particles are observed. While UL94 V method has held up very well since its creation in the 1950s, it does not capture all fire hazards perfectly, but is a test method often claimed in the literature. It is crucial to utilize the method correctly and avoid using older version of the test method which cannot correlate to the current regulatory test method. The UL94 V test, and its ratings, can only be claimed if UL actually certifies the results under the most current method. Otherwise, a user of the test method must use the most recent version of the test method to propose any sort of potential UL94 V rating. Older versions of the test method (those from the year 2000 or earlier) have the flame mostly stationary during the test, and the sample is allowed to move/deform during flame exposure. The newest version of the test requires the operator to follow the deforming/moving sample with the flame during the ignition period so that the sample always sees the flame during the 10 s ignition period. This newer version of the test method is very operator dependent. While it has been studied extensively for what it does/does not mean in regard to fire safety [71,72,73,74,75,76], UL94 V a commonly used test which can be applied incorrectly to materials, or, done incorrectly if the older version of the method is used. Therefore, care must be taken when interpreting literature reported UL94 V data, as well as when using the test method for flame retardant material development.
The cone calorimeter is a quantitative test, and it has shown great utility in fire safe material development. The cone calorimeter test exposes a flat specimen of material to a particular heat flux [77], and this method then measures the heat release, smoke release, mass loss rate, and a variety of other information via oxygen consumption calorimetry, laser light obscuration, and load cell data, respectively. The cone calorimeter is often considered to be one of the most useful fire safety measurement tools because it measures heat release, which is one of the key phenomena related to fire growth phenomena and time to escape [78]. However, this test method doesn’t capture all aspects of material flammability phenomena (example, horizontal burning vs. vertical dripping). One must consider sample thickness, heat flux, and other key issues when comparing one set of cone calorimeter data to another [66, 79]. While there are issues with the technique, it remains one of the strongest techniques for quantifying material flammability performance and understanding how material chemistry changes affect material flammability.
PVC flame retardant chemistry—recent approaches
As mentioned above, there have been some studies on flame retardants combined with plasticized PVC. Before elaborating bio-based plasticizers that contain flame retardant functionality, discussion of relevant literature as a background is needed. This past research focuses on flame retardants added in combination with plasticizers so that they are separate materials, and therefore different than the bio-based flame retardant functionalized plasticizers later described in this paper. The one exception to this would be oligomeric phosphate flame retardants based upon aromatic phenols/diols which are used as flame retardant additives in thermoplastic polymers (polycarbonate, styrenic thermoplastics) and also have a plasticizing + flame retardant effect in PVC [84, 85]. These commercial flame retardants do not contain bio-derived phenolics or aromatic diols, and as such are not discussed further in this work. However, the underlying concept of combining a phosphate flame retardant functionality with bio-derived diols and alcohols is a theme that will be discussed.
Work on phthalate based plasticized PVC with other flame retardants has included four example publications studying the effect of mineral hydroxides in plasticized PVC, and the final one studying another inorganic additive to help with flame retardant synergism.
In the first example, metal hydroxide-based flame retardants were tested for flame retardant effect by cone calorimeter in PVC plasticized with diisononyl phthalate [86]. The metal hydroxide flame retardants were all synthetic materials, namely Mg(OH)2, hydromagnesite (4MgCO3·Mg(OH)2·4H2O), and a layered double hydroxide ((Mg0.667Al0.33(OH)2)(CO3)0.167). All of these flame retardants were coated with stearic acid to help with compatibility/dispersion in the PVC matrix. These particular flame retardants are interesting in regard to PVC in that they can help absorb some of the HCl released by PVC during burning, while also decomposing endothermically and releasing water/CO2 during burning to help lower flammable gas formation (lower heat release), and lower smoke formation. Cone calorimeter testing conducted at three different heat fluxes (25, 35, 50 kW/m2) found that these three flame retardants were somewhat similar to one another regarding heat release reduction and smoke release production. While no control sample of PVC without plasticizer was tested in this work, one can infer from the data that these types of flame retardants help reduce heat release and smoke release when an ester-based plasticizer (in this case, a phthalate) is present.
The second example focuses on just layered double hydroxides (LDH) and their flame-retardant effects on PVC, also plasticized with diisononyl phthalate [87]. This work is also by some of the authors from the first example and does indeed build upon the previous work [86]. LDH chemistries investigated in this paper include Magnesium/Aluminum, Calcium/Aluminum, Magnesium/Iron/Aluminum, Magnesium/Copper/Aluminum, and Magnesium/Zinc/Aluminum chemistries. Again, the flammability is measured by cone calorimeter at multiple heat fluxes (25, 35, 50 kW/m2) and the results are similar to those found in the earlier work. Specifically, the LDH, as was seen in the previous paper, helps release water and CO2 during PVC combustion, and in this paper, the Magnesium/Iron/Aluminum (Mg/Fe/Al) system is the most effective at lowering both heat release rates and smoke production rates. The primary mechanism of flame retardancy does appear to be the release of non-flammable gases which in turn lowers heat and smoke production rates over the entire burning of the sample relative to the non-flame retardant control sample. However, the total heat release is not reduced, so there may not be any enhanced char formation with this particular LDH chemistry. No insights into the potential vapor phase flame retardancy (which could occur) is available as no report of any changes in average effective heat of combustion in the paper. Thermogravimetric analysis (TGA) results in the paper show small changes to the final char yields, with some specific LDHs giving improved char yields, but this data doesn’t fully relate to the cone calorimeter results. Interestingly, the PVC after processing with the Mg/Fe/Al LDH is red in color, which suggests some sort of color body formation/complex being formed during processing without the use of a stabilizer. The authors comment on the pigment effect, but do not explain why this particular LDH causes this color to form. TGA results do not necessarily show any earlier onset of thermal decomposition when using this LDH. If the development of red color does not hamper/interfere with the aesthetics of the product, use of this LDH may only have the drawback of coloration to the PVC, rather than weakening thermal stability of PVC after processing, which is often the cause of color in PVC.
The third example provides results with Mg(OH)2, but adds in molybdenum trioxide (MoO3) when the Mg(OH)2 is made synthetically [88]. The hypothesis here is that the MoO3 will assist in smoke reduction while the Mg(OH)2 will address the heat release. The plasticizer used in this work is dioctyl phthalate, and flammability of the PVC samples is studied with LOI, UL-94 V testing (testing at 1.0 mm sample thickness), and cone calorimeter, using a heat flux of 50 kW/m2 with 3 mm thick cone calorimeter specimens. It should be noted that the authors do not indicate which version of the UL94 V test are used in this work, and so the claimed self-extinguishing behavior reported in the paper could only be validated via independent testing. Focusing on the cone calorimeter data, use of the Mg(OH)2 which has the MoO3 integrated inside it is more effective than a physical combination of Mg(OH)2 and MoO3 when mixed together into the same material. This is true for reductions in peak heat release, as well as in total heat release. The trends hold for reductions in peak smoke production rates and total smoke produced. While the work do not include some of the other cone calorimeter data needed to sort out the exact mechanism of flame retardancy, the results in the paper suggest that the two materials are working together to enhance char formation which in turn addresses both smoke and heat release. The authors claim some vapor phase effects at smoke reduction caused by the MoO3 based upon TGA-Fourier Transform Infrared Spectroscopy (FTIR) data. But beyond that data, the evidence seems to suggest more of a condensed phase char formation effect which reduces flammable mass pyrolysis during burning.
The fourth example provides results with Mg(OH)2, but, it includes a bio-based flame retardant combined with the Mg(OH)2 to impart enhanced flame retardancy in PVC plasticized with dioctylphthalate [89]. In this case, the bio-based flame retardant is the zinc or copper salt of phytic acid, which is mixed/co-precipitated in a suspension of Mg(OH)2. Flammability was studied via cone calorimeter (50 kW/m2 heat flux, 3 mm thick samples) and LOI tests. Based upon the cone calorimeter results, the Mg(OH)2 + phytic acid salt mixtures give better reductions in heat release and smoke release than only Mg(OH)2, and the two salts are mostly the same to one another in regard to their effectiveness. The zinc phytate salt appears to be slightly better in forming more char compared to the copper phytate salt. However, the differences between the two materials are not great, and one could argue that these are within the % error of the cone calorimeter measurement technique. The flame-retardant mechanism appears to be predominantly condensed phase char formation enhancement, brought by the phosphorus groups in the phytate salt.
In the final example [90], the effect of metal compounds (namely antimony oxide and zinc sulfide) was studied on the heat release and smoke production in a PVC plasticized with dioctylphthalate, as measured by cone calorimeter. By itself, ZnS has no real effect on PVC flammability or smoke production, beyond a simple dilution effect (i.e., 5% of PVC replaced with 5% of non-flammable mass which was ZnS) whereas Sb2O3 did have a synergistic effect on heat release reduction, as expected by theory. Interestingly, a 1:1 combination of ZnS and Sb2O3 did work as effectively as just Sb2O3 alone in heat release reduction, even up to heat fluxes of 75 kW/m2. It should be noted that antimony oxide effectively forms antimony chloride (SbCl3) which will volatilize in a fire event to move halogen to the vapor phase of the burning PVC. Once in the vapor phase, the halogen will serve as a vapor phase flame retardant to enable extinguishing of the flame. Other metals, provided they can form volatile metal chlorides during PVC decomposition, can perform this flame retardant mechanism as well, but antimony oxide is the most common one used due to its ease in forming SbCl3 and the low boiling point (223 °C). Of final note, antimony oxide is under some regulatory scrutiny, and so its ability to be used as a flame retardant in the future is uncertain [91,92,93,94].
PVC + bio-derived flame retardant functionalized plasticizer
Having discussed flame retardant effects of PVC with conventional plasticizers and added flame retardants, bio-based plasticizer containing flame retardant functionality can now be elaborated.
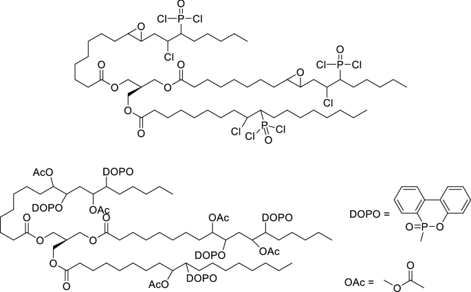
In the area of bio-based plasticizer, epoxidized soybean oil (ESO) has been in use to partially replace DOP for over a decade. Attaching diethyl phosphate to ESO to impart FR functionality (SOPE) in PVC blend was first reported by Jia et al. [95]. While SOPE reduced plasticization efficiency compared with DOP alone in the blend but char formation due to phosphorus group allowed a better flame retardant performance. Similar strategy of phosphorus containing castor oil-based plasticizer in PVC was studied [96]. Subsequently, work started to appear where flame retardant functionalities are incorporated onto the plasticizers itself. Not only efficient plasticization, and plasticizer migration, work focus included flammability of PVC formulations [97]. Introducing phosphorus, and nitrogen containing FR groups in castor oil-based plasticizer improved PVC’s flame retardancy without being leached out. The work [98] (Fig. 1, left) showed LOI of internally plasticized PVC with nitrogen and phosphorus could be increased to 34.7% from 23.6% containing 50wt% DOP. Another study reported [99] synthesis of phosphorus containing FR plasticizer sourced from castor oil acid methyl ester to substitute DOP in PVC (Fig. 1, right). Plasticizing efficiency and mechanical properties decrease in the resulting PVC blend. Authors claim to have increased the LOI value from 21.5 to 25.2% as remarkable is debatable. Of final note, chlorination of the double bonds on various fatty acid methyl esters will give, not surprisingly, chlorinated long chain plasticizers that will enhance the chlorine content of PVC contributing to some additional flame retardant effect, as has been seen in a recent publication [100].
As will be discussed in the specific examples below, the plasticizers are esters like phthalates as described above, except for different bio-derived ester structures. In all the cases discussed below, these bio-derived plasticizers have other functional groups that researchers have functionalized with additional flame retardant for enhanced fire safety effects. The examples discussed include three with soybean oil-based plasticizer, one with a branched polybutylene adipate, two with cardanol based plasticizers, and the final one with phosphonated lipids. These examples are the main novelty discussed in this review: the flame retardant and the plasticizer are in the same molecule, rather than added separately.
The first two works on soybean oil-based plasticizers use the same starting material, which is a triol trimethylester, with some cis-dienes. In the first paper, this material is directly epoxidized (namely the dienes are converted to epoxides), and then the epoxy groups are reacted with phosphorus oxychloride (POCl3), to form a partly phosphoryl chloride based plasticizing flame retardant [101]. Interestingly, this particular work still uses dioctyl phthalate as a plasticizer in combination with the newly synthesized phosphorus functionalized soybean-based plasticizer. Based upon known chemistry of phosphoryl chlorides, this specific functionalized plasticizer is not likely to survive processing and exposure to moisture, as those phosphoryl chlorides are known to hydrolyze to form phosphoric acid groups, and release HCl upon exposure to humidity. The discussion does not mention this, and only include LOI data in the paper, thus making the research results of minimal value, other than isolating a potential phosphorus functionalized intermediate which could be functionalized further via reactions at the P-Cl bond with other alcohols.
The second work is more informative and showcases a notionally more practical solution. Specifically, it reacts a commercial flame retardant (9,10-dihydro-oxa-10-phosphaphenanthrene-10-oxide—DOPO) with epoxidized soybean oil [102]. The DOPO is hydrolytically stable and reacts with each of the epoxy groups adding 5 phosphorus flame retardant groups per epoxidized soybean molecule. Flammability was studied by cone calorimeter (35 kW/m2 heat flux, 4 mm thick samples) and LOI. For a control sample, PVC with just DOPO (no soybean oil functionality) is compared to the new flame-retardant plasticizer, and all samples have dioctylphthalate present. Unfortunately, the work does not report the cone calorimeter results for control PVC so that one can compare how effective this plasticizer is. In general, the DOPO functionalized plasticizer is marginally better in peak HRR compared to using DOPO alone, but far better in reducing total heat release (reducing the total amount of fuel available for burning). This is obtained through enhanced char yields and reduction of mass loss rates brought by the DOPO functionalized soybean oil, which strongly suggests a condensed phase crosslinking/char formation mechanism of flame retardancy. The chemical structures for these examples are shown in Fig. 2.
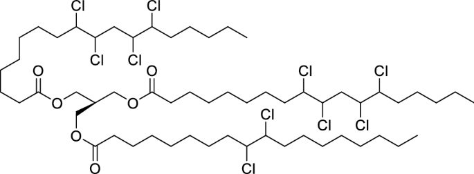
Similar to the above-mentioned examples with soybean oil, another group pursued the use of unsaturated fatty acid methyl ester (FME), which was chlorinated (chlorine reacting with the unsaturated double bonds—Fig. 3) and was used as a co-plasticizer for PVC coating. While adding additional chlorine content to the plasticizer is a way to improve flammability performance, the handling of chlorine gas is dangerous and the practical nature of this chemistry for scale-up is unclear. This chlorinated FME materials increased the LOI 21.5% O2 (with 100% DOP) to 27.1 O2 (with 100% CFME). Improvement in thermally stable char was also noted. These results are expected given the extra chlorine atoms of the plasticizer, CFME. However, brittleness is expected to rise with the rise in chlorine content and was evident from the immediate tensile and elongation data. With time, these values should further deteriorate. This paper only had LOI data, so how well this material holds up to other fire threats is unclear at this time [103].
A phosphorus-based polybutylene adipate flame retardant plasticizer for PVC was produced recently using a reaction between adipic acid, 1,4-butane diol, and tris(hydroxymethyl)phosphine oxide (Fig. 4) [104]. Unfortunately, this work is missing key experimental details, so it is unclear how the PVC samples were made or what loading of plasticizers were used, and so much of the paper cannot be put into context. However, despite the lack of details, the work illustrates that bio-derived chemical feedstocks can be put together to yield a flame-retardant plasticizer.
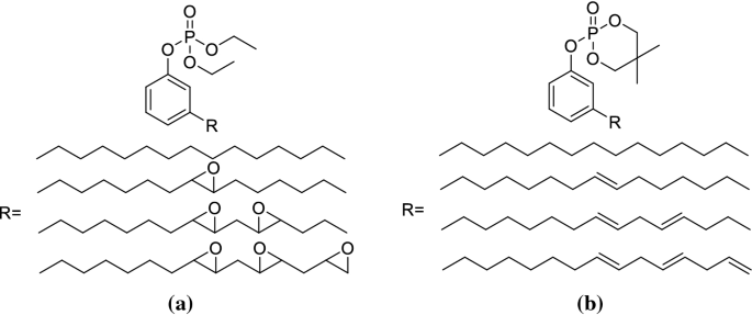
As for another example of flame retardant plasticizer, cardanol was allowed to react with diethyl phosphate and the alkene groups of the cardanol were epoxidized to yield the phosphorus containing plasticizer (Fig. 5a) [105]. While the work contains no actual flammability data, TGA suggests that the phosphorus-based cardanol does improve the char yield of PVC as more material is added. Mechanical testing data indicate that this plasticizer molecule does indeed have some plasticization effects in PVC. In another example of cardanol-based plasticizer, cardanol is reacted with a cyclic phosphoryl chloride (2-chloro-2,-oxy-5,5-dimethyl-1,3,2-dioxaphosphorinane), and the resulting phosphate epoxy with a cardanol group is used “as is” for a plasticizer with no further epoxidation of the cardanol alkene groups (Fig. 5b) [106]. This new plasticizer is combined with an existing plasticizer, dioctyl phthalate in different ratios. While the study includes mechanical properties showing plasticization effects, and thermal analysis by TGA and DSC, the work only includes LOI for flammability measurement, which does not give readers any insight into the flame-retardant mechanism for this specific flame-retardant plasticizer. The LOI increase is modest, going from ~ 21.5% O2 to ~ 26% O2, so the flame-retardant effect in other tests may not be very strong. Vertical burn tests and heat release/smoke release measurements on this bio-based flame-retardant plasticizer would be needed before this chemistry is pursued further.
In another related example of cardanol based phosphorus flame retardants, cardanol was used to make a bis(cardanyl) phenyl phosphate by reacting cardanol with phenyl phosphoryl chloride. This phosphonate-based plasticizer yielded some modest improvements in flame retardant performance when measured by LOI and UL94 V testing (3 mm thickness), further proving that cardanols are a good source of bio-based plasticizer that can be combined with flame retardant chemical structures [107]. Finally, cardanols were combined with phenylphosphonate starting materials to give yet another example of phosphorus functionalized plasticizer for use in PVC. Improvements in flame retardancy as measured by LOI and UL94 V testing (3 mm thickness), with similar improvements noted as seen when phosphates are used rather than phosphonates [108].
In another example, similar to the cardanol based works, long chain lipids, usually fatty acid methyl esters with alkene groups (unsaturated fats), are reacted with dimethyl hydrogen phosphonate or diethyl hydrogen phosphonate to form a phosphonate at the double bond on either methyl oleate or methyl linoleate [109]. The structures are variable depending upon how many double bonds are available in the oleate or linoleate structure, as well as end-group functionalization in these long-chain lipids. These phosphorus functionalized plasticizers were then combined with PVC at 30 wt% loading levels, and the materials were characterized for mechanical properties and thermal properties (TGA, DSC), and a reference sample containing a diisononyl phthalate was included in the paper as well. Flammability is only measured by LOI, and do not indicate if the study followed a standard method or not, so the LOI data should be treated with some care. Compared to the control sample, the phosphorus-functionalized plasticizers do increase the char residues as measured by TGA, which suggests these plasticizers would indeed help with flame retardancy by enhancing char formation of the PVC during burning. LOI is increased to 27% O2 with the use of the phosphorus functionalized plasticizers, vs. 23% O2 for the control, which is a modest increase. As with the above papers, more flammability testing with cone calorimeter and vertical burn testing is needed before carrying out more work with this specific chemistry.
In the final example of phosphorus functionalized bio-derived plasticizer, a cyanuric acid core is reacted with methyl ricinoleate (a hydrolysis product of castor oil) to yield a plasticizer core which is then reacted with diethyl chlorophosphate to yield a final phosphorus functionalized bio-derived plasticizer [110]. This multi-step synthesis to produce the plasticizer is not very practical. However, it proves once again the concept that bio-derived long chain alkyl groups containing functionality can be utilized for attachment of phosphorus flame retardant groups. The cyanuric acid core is claimed to be part of the flame retardant benefit in this particular example. Since the polymer decomposition chemistry of PVC cannot benefit from the notional flame retardant benefit of cyanuric acid, the claim by the authors here of benefit is not fully proven. Specifically, cyanuric acid causes depolymerization of polyamides when it thermally decomposes, but that particular chemistry is not available in the presence of PVC. Regardless, the phosphate functionalized plasticizer did show flame retardant benefit in this work via cone calorimeter testing with reduction in heat release noted.
Since every commercial product comes with a lifetime, understanding of product durability (aging) during its development is crucial. This is particularly important when plasticizers tend to migrate out of the polymer. Durability studies involving plasticizer migration are available in the recent literature. Although these works do not address material flammability issues, readers would benefit from such studies for the development of effective and durable formulations [111, 112].
Concluding Remarks and Future Perspectives on Bio-derived Flame-Retardant Plasticizers
When reviewing the current recent research trend, bio-derived plasticizers can be made, and they can also be functionalized with flame-retardant chemistry to enable them to provide multi-functional behavior to PVC. There is plenty of bio-derived molecules which can be used for this purpose, and so far, functionalizing epoxy groups on long alkyl chains containing alkene groups or taking advantage of phenolic groups on cardanols appear to be the two most common routes toward making bio-derived flame-retardant plasticizers. While the results are promising, the combination of flame retardant and plasticizer into a single molecule requires more work. Developing suitable bio-derived plasticizers in PVC for economically viable industrial applications remains to be seen. The challenges are:
-
(1)
Phthalates are under regulatory scrutiny due to endocrine disruption and other health effects caused by specific phthalate chemicals. It is assumed that the bio-derived plasticizers will not have these health issues because they have quite different chemical structures, but no actual health and safety testing has been done on these flame-retardant bio-derived plasticizers. This type of testing is needed for these chemicals to have commercial viability.
-
(2)
Long term durability of these plasticizers is also unknown, as well as their migration potential out of the PVC over time under service conditions. This will need to be studied, including extraction potential when PVC containing these plasticizers is exposed to liquids of various pH and chemistry.
-
(3)
Flammability performance in other flame spread and heat release tests is needed. This will give more insight into how these plasticizers will behave in larger scale flame spread tests, especially for wire and cable.
-
(4)
Not only development of bio-derived compatible flame-retardant plasticizer for PVC is needed but also needed at a cost that could be commercialized.
-
(5)
Given the current efforts on life-cycle analysis (LCA) practice and circular economy principles, one must consider how bio-derived additives will play roles in these processes.
While there are many unknowns, bio-derived plasticizers will continue to garner attention, and so would be the chemistry of flame-retardant plasticizers. New materials development could come from artificial intelligence (AI), and machine learning (ML) where one can understand structural properties of molecules (FR, plasticizers) when used alone or in combination. Works are appearing where polymers can be synthesized with targeted properties such as thermal conductivities, high refractive index, gas permeabilities for targeted applications [112,113,114,115]. Effective and unique descriptors of bio-derived flame-retardant plasticizer for ML would be key to the molecular design [116]. Surface morphology of FR based plasticized PVC would play a major role in fire behavior. Atomic Force Microscopy (AFM) can provide microstructural images of different FR based plasticizer formulations. Once additives are classified based on toxicity, stability in different environments, one could study how effects of additive type, and quantity in small scale laboratory tests such as LOI, UL-94, TGA, cone data could predict the outcome of large-scale combustibility tests. Industries have always embraced newer technologies. Use of machine learning will become a tool in the near future.
References
Li Y, Guo M, Li Y (2019) Recent advances in plasticized PVC gels for soft actuators and devices: a review. J Mater Chem C 7:12991–13009
Tickner JA, Schettler T, Guidotti T, McCally M, Rossi M (2001) Health risks posed by use of Di-2-ethylhexyl phthalate (DEHP) in PVC medical devices: a critical review. Am J Indust Med 31(1):100–111
Sampson J, de Korte D (2011) DEHP-plasticised PVC: relevance to blood services. Transfus Med 21(2):73–83
Larsson L, Sandgren P, Ohlsson S, Derving J, F-Christensen T, Daggert F, Frizi N, Reichenberg S, Chatellier S, Diedrich B, Antovic J, Larsson S, Uhlin M (2021) Non-phthalate plasticizer DEHT preserves adequate blood component quality during storage in PVC blood bags. Vox Sang 116(1):60–70
Jamarani R, Halloran MW, Panchal K, Nicell JA, Leask RL, Maric M (2021) Poly(ε-caprolactone)-based additives: plasticization efficacy and migration resistance. J Vinyl Addit Technol 27(4):1–12
Pan S, Hou D, Chang J, Xu Z, Wang S, Yan S, Zeng Q, Wang Z, Chen Y (2019) A potentially general approach to aliphatic ester-derived PVC plasticizers with suppressed migration as sustainable alternatives to DEHP. Green Chem 21:6430–6440
Navarro R, Perrino MP, Tardajos MG, Reinecke H (2010) Phthalate plasticizers covalently bound to PVC: plasticization with suppressed migration. Macromolecules 43:2377–2381
Navarro R, Perrino MP, Garcia C, Elvira C, Gallardo A, Reinecke H (2016) Highly flexible PVC materials without plasticizer migration as obtained by efficient one-pot procedure using trichlorotriazine chemistry. Macromolecules 49:2224–2227
Sun Z, Mi X, Yu Y, Shi W, Feng A, Moad G, Thang SH (2021) All-PVC flexible poly (vinyl chloride): nonmigratory star-poly(vinyl chloride) as plasticizers for PVC by RAFT polymerization. Macromolecules 54:5022–5032
Castro-Jiménez J, Berrojalbiz N, Pizarro M, Dachs J (2014) Organophosphate ester (OPE) flame retardants and plasticizers in the open Mediterranean and Black seas atmosphere. Environ Sci Technol 48:3203–3209
Castro-Jiménez J, G-Gaya B, Pizarro M, Casal P, P-Alvarez C, Dachs J (2016) Organophosphate ester flame retardants and plasticizers in the global oceanic atmosphere. Environ Sci Technol 50:12831–12839
Su G, Letcher RJ, Yu H (2016) Organophosphate flame retardants and plasticizers in aqueous solution: pH-dependent hydrolysis, kinetics, and pathways. Environ Sci Technol 50:8103–8111
Kim U-J, Kannan K (2018) occurrence and distribution of organophosphate flame retardants/plasticizers in surface waters, tap waters, and rainwater: implications for human exposure. Environ Sci Technol 52:5625–5633
Been F, Bastiaensen M, Lai FY, Libousi K, Thomaidis NS, Banaglia L, Esseiva P, Delémont O, van Nuijs ALN, Covaci A (2018) Mining the chemical information on urban wastewater: monitoring human exposure to phosphorus flame retardants and plasticizers. Environ Sci Technol 52:6996–7005a
Wang Y, Hou M, Zhang Q, Wu X, Zhao H, Xie Q, Chen J (2017) Organophosphorus flame retardants and plasticizers in building and decoration materials and their potential burdens in newly decorated houses in China. Environ Sci Technol 51:10991–10999
Meng W, Wu W, Zhang W, Cheng L, Jiao Y, Qu H, Xu J (2019) Biotemplated facile synthesis of three-dimensional micro/nanoporous tin oxide: improving the flammable and mechanical properties of flexible PVC. Micro Nano Lett 14:828–830
Bonsignore PV, Claassen PL (1980) Alumina trihydrate as a flame retardant filler for flexible vinyl compounds. J Vinyl Technol 2:114–118
Moy PY (1998) FR characteristics of phosphate ester plasticizers with inorganic additives in PVC. J Vinyl Addit Technol 4:22–25
Hobbs CE (2019) Recent advances in bio-based flame retardant additives for synthetic polymeric materials. Polymers 11:1–31
Bocqué M, Lapinte V, Courault V, Couve J, Cassagnau P, Robin J-J (2018) Phosphonated lipids as primary plasticizers for PVC with improved flame retardancy. Eur J Lipid Sci 120(1800062):1–10
Pritchard G (2017) Global demand for plasticizers continues to rise. Addit Polym 10:10–11. https://doi.org/10.1016/S0306-3747(17)30137-9
Marvel CS, Sample JH, Roy MF (1939) The structure of vinyl polymers. VI. Polyvinyl Halides. J AM Chem Soc 61:3241–3244
Summers JW (1997) A review of vinyl technology. J Vinyl Addit Technol 3:130–139
Starnes WH Jr (2005) Structural defects in poly(vinyl chloride). J Polym Sci Part A 43:2451–2467
Starnes WH Jr (2012) How and to what extent are free radicals involved in the nonoxidative thermal dehydrochlorination of poly(vinyl chloride)? J Vinyl Addit Technol 18(2):71–75
Cruz PPR, da Silva LC, Fiuza-Jr RA, Polli H (2021) Thermal dehydrochlorination of pure PVC polymer: part I-thermal degradation kinetics by thermogravimetric analysis. J Appl Polym Sci 138(25):50598
Abreu CMR, Fonseca AC, Rodrigues DFSL, Rezende TC, Marques JRCC, Thomas AJC, Goncalves PMFO, Serra AC, Coelho JFJ (2022) Preparation of nonmigratory flexible poly(vinyl chloride)-b-poly(n-butyl acrylate)-b-poly(vinyl chloride) via aqueous reversible deactivation radical polymerization in a pilot reactor. React Funct Polym 2022(170):105138
Griffin ER (2000) High-molecular-weight flexibilizers in low-smoke flame-retardant PVC compounds. J Vinyl Addit Technol 6:187
Ramos-Devalle L, Gilbert M (1990) PVC/plasticizer compatibility: evaluation and its relation to processing. J Vinyl Addit Technol 12:222–225
Godwin AD (2000) Plasticizers. In: Craver CD, Carraher CE Jr (eds) Applied polymer science: 21st Century. Elsevier, Amsterdam
Erythropel HC, Brown T, Maric M, Nicell JA, Cooper DG, Leask RL (2015) Designing greener plasticizers: effects of alkyl chain length and branching on the biodegradation of maleate based plasticizers. Chemospehere 134:106–112
Yang Y, Huang J, Zhang R, Zhu J (2017) Designing bio-based plasticizers: effect of alkyl chain length on plasticization properties of isosorbide diesters in PVC blends. Mater Des 126:29–36
Tan J, Liu B, Fu Q, Wang L, Xin J, Zhu X (2019) Role of the oxyethyl unit in the structure of vegetable oil-based plasticizer for PVC : an efficient strategy to enhance compatibility and plasticization. Polymers 11:779
Tan J, Zhang S, Lu T, Li R, Zhong T, Zhu X (2019) Direct transformation of fatty acid-derived monomers from dimer acid manufacturing into valuable bio-plasticizers with high plasticization and compatibilization. J Cleaner Prod 229:1274
Elsiwi BM, Garcia-Valdez O, Erythropel HC, Leask RL, Nicell JA, Maric M (2020) Fully renewable, effective, and highly biodegradable plasticizer: Di-n-heptyl succinate. ACS Sustain Chem Eng 8:12409–12418
Halloran MW, Nicell JA, Leask RL, Maric M (2021) Small molecule plasticizers for improved migration resistance: investigation of branching and leaching behaviour in PVC blends. Materialstoday Commun. 29:102874
Zhu H, Yang J, Wu M, Wu Q, Liu J, Zhang J (2021) Biobased plasticizers from tartataric acid : synthesis and effect of alkyl chain length on the properties of poly(vinyl chloride). ACS Omega 6:13161–13169
Kim J-K, Kang E, Huh KM (2019) Synthesis of a coconut oil-based bioplasticizer and its effects on the rheological and fusion properties of poly(vinyl chloride). Polymer (Korea) 43:778–786
Arendt WD, Lang J (1998) New benzoate plasticizers for polyvinyl chloride: introduction and performance example. J Vinyl Addit Technol 4:184–188
Arendt WD, McBride EL, Hanes RD (2014) New dibenzoate plasticizer blends for PVC applications. J Vinyl Addit Technol 20:137–142
Tong H, Hai J (2018) Sustainable synthesis of bio-based hyperbranched ester and its application for preparing soft polyvinyl chloride materials. Polym Int 68:456–463
Chen J, Nie X, Jiang J (2020) Synthesis of a novel bio-oil-based hyperbranched ester plasticizer and its effects on poly(vinyl chloride) soft films. ACS Omega 5:5480–5486
Li Y, Eu E, Yang X, Wei Z (2020) Multiarm hyperbranched polyester-b-poly(-caprolactone): plasticization effect and migration resistance for PVC. J Vinyl Addit Technol 26:35–42
Howell BA, Lazar ST (2021) Biobased glycerol hyperbranched poly(ester)s of precise structure as plasticizers for poly(vinyl chloride). Modern Concepts Mater Sci. https://doi.org/10.33552/MMS.2021.04.000587
Daniels PH (2009) A brief overview of theories of PVC plasticization and methods used to evaluate PVC-plasticizer interaction. J Vinyl Addit Technol 15:219–223
Bocque M, Voirin C, Lapinte V, Caillol S, Robin J-J (2016) Petro-based and bio-based plasticizers : chemical structures to plasticizing properties. J Polym Sci Polym Chem 54:11–33
Gao C, Zhang X, Sun J, Yuan Z, Han S, Liu Y, Ji S (2018) Poly(hexane succinate) plasticizer designed for poly(vinyl chloride) with a high efficiency, nontoxicity, and improved migration resistance. J Appl Polym Sci 135:46388
Gao C, Wang B, Hu Z, Liu Y, Wang H, Zhang X, Yu Y (2019) Effect of the molecular weight on the plasticization properties of poly(hexane succinate) in poly(vinyl chloride) blends. J Appl Polym Sci 136:47081
Howell BA, Lazar ST (2019) Biobased plasticizers from carbohydrate-derived 2,5-Bis(hydroxymethyl) furan. Ind Eng Chem Res 58:1222–1228
Ma Y, Song F, Yu J, Wang N, Jia P, Zhou YJ (2021) Combining renewable eleostearic acid and eugenol to fabricate sustainable plasticizer and its effect of plasticizing on PVC. J Polym Environ. https://doi.org/10.1007/s10924-021-02341-w
Ma Y, Liao S, Li Q, Guan Q, Jia P, Zhou Y (2020) Physical and chemical modofications of poly(vinyl chloride) materials to prevent plasticizer migration—still on the run. React Funct Polym 147:104458
Kumar S (2019) Recent developments of biobased plasticizers and their effect on mechanical and thermal properties of poly(vinyl chloride): a review. Ind Eng Chem Res 58:11659–11672
Zhang Z, Jiang PP, Liu D, Feng S, Zhang P, Wang Y, Fu J, Agus H (2021) Research progress of novel bio-based plasticizers and their applications in poly(vinyl chloride). J Mater Sci 56:10155–10182
Czogala J, Pankalla E, Turczyn R (2021) Recent attempts in the design of efficient PVC plasticizers with reduced migration. Materials 14:844–872
Howell BA, Alrubayyi A, Ostrander EA (2019) Thermal properties of charring plasticizers from the biobased alcohols, pentaerythritol and 3,5-dihydroxylbenzoic acid. J Therm Anal Calorim 138:2661–1668
Meinier R, Fellah M, Sonnier R, Ferry L (2021) Ignition and charring of PVC-based electric cables. Fire Technol. https://doi.org/10.1007/s10694-021-01168-0
ISO 13943 (2007–2017) Fire safety—vocabulary. 3ed edn.
ASTM E176-21 (2021) Standard terminology of fire standards
Wilkie CA, Morgan AB (eds) (2010) Fire Retardancy of polymeric materials, 2nd edn. Taylor and Francis, Boca Raton
Hirschler MM (2017) Procedures for development and revision of codes and standards associated with fire safety in the USA. Fire Mater 41:1058–1071
Hirschler MM (2017) Poly(vinyl chloride) and its fire properties. Fire Mater 41:993–1006
https://codes.iccsafe.org/content/IFC2021P1. Accessed 14 Jan 2022
Hall JR Jr, Watts JM Jr (2016) SFPE handbook of fire protection engineering, 5th edn. Society for Fire Protection Engineering, Gaithersburg
Schartel B, Wilkie CA, Camino G (2016) Recommendations on the scientific approach to polymer flame retardancy: Part 1—scientific terms and methods. J Fire Sci 34:447–467
Schartel B, Wilkie CA, Camino G (2017) Recommendations on the scientific approach to polymer flame retardancy: Part 2—concepts. J Fire Sci 35:3–20
Schartel B, Hull TR (2007) Development of fire-retarded materials—interpretation of cone calorimeter data. Fire Mater 31:327–354
UL UL-1685 Vertical-tray fire propagation and smoke-release test for electrical and optical fiber cables
UL-1666 Test for flame propagation and height of electrical and optical-fiber cables installed vertically in shafts
UL-910 Test for flame propagation and smoke density values for electrical and optical fiber cables used in spaces transporting environmental air
Weil ED, Hirschler MM, Patel NG, Said MM, Shakir S (1992) Oxygen index: correlations to other fire tests. Fire Mater 16:159–167
Hu C, Fontaine G, Tranchard P, Delaunay T, Collinet M, Marcille S, Bourbigot S (2018) In-situ investigation of temperature evolution of drippings via an optimized UL-94 instrumentation: Application to flame retarded polybutylene succinate. Polym Degrad Stab 155:145–152
Hong S, Yang J, Anh S, Mun Y, Lee G (2004) Flame retardancy performance of various UL94 classified materials exposed to external ignition sources. Fire Mater 28:25–31
McCoy CG, Stoliarov SI (2021) Experimental characterization and modeling of boundary conditions and flame spread dynamics observed in the UL-94V test. Combust Flame 225:214–227
Marti J, Onate E, Idelsohn SR (2018) A finite element model for the simulation of the UL-94 burning test. Fire Technol 14:1783–1805
Kempel F, Schartel B, Marti JM, Butler KM, Rossi R, Idesohn SR, Onate E, Hofmann A (2015) Modeling the vertical UL 94 test: competition and collaboration between melt dripping, gasification and combustion. Fire Mater 39:570–584
Morgan AB, Bundy M (2007) Cone calorimeter analysis of UL-94 V-rated plastics. Fire Mater 31:257–283
Babrauskas V (1995) Specimen heat fluxes for bench-scale heat release rate testing. Fire Mater 19:243–252
Babrauskas V, Peacock RD (1992) Heat release rate: the single most important variable in fire hazard. Fire Saf J 18:255–272
Schartel B, Bartholmai M, Knoll U (2005) Some comments on the use of cone calorimeter data. Polym Degrad Stab 88:540–547
Camino G, Costa L (1980) Thermal degradation of a highly chlorinated paraffin used as a fire retardant additive for polymers. Polym Degrad Stab 2:23–33
Weil ED, Levchik S, Moy P (2006) Flame and smoke retardants in vinyl chloride polymers—commercial usage and current developments. J Fire Sci 24:211–236
Pan Y-T, Yuan Y, Wang D-Y, Yang R (2020) An overview of the flame retardants for poly(vinyl chloride): recent states and perspective. Chin J Chem 38:1870–1896
Swann JD, Ding Y, Stoliarov SI (2020) A quantitative comparison of the pyrolysis and combustion behavior of plasticized and rigid poly(vinyl chloride) using two-dimensional modeling. Fire Saf J. https://doi.org/10.1016/j.firesaf.2019.102910
Wadey BL (2003) An innovative plasticizer for sensitive applications. J Vinyl Addit Technol 9:172–176
Weil ED (2005) Polym Adv Technol 16:707–716
Molefe DM, Labuschagne J, Focke WW (2015) The effect of magnesium hydroxide, hydromagnesite and layered double hydroxide on the heat stability and fire performance of plasticized poly(vinyl chloride). J Fire Sci 33:493–510
Labuschagne J, Molefe D, Focke WW, Ofosu O (2019) Layered double hydroxide derivatives as flame retardants for flexible PVC. Macromol Symp. https://doi.org/10.1002/masy.201800148
Dang L, Lv Z, Du X, Tang D, Zhao Y, Zhu D, Xu S (2020) Flame retardancy and smoke suppression of molybdenum trioxide doped magnesium hydrate in flexible polyvinyl chloride. Polym Adv Technol 31:2108–2121
Meng W, Wu W, Zhang W, Cheng L, Han X, Xu J, Qu H (2019) Bio-based Mg(OH)2 @ M-Phyt: improving the flame-retardant and mechanical properties of flexible poly(vinyl chloride). Polym Int 68:1759–1766
Schartel B, Kunze R, Neubert D, Tidjani A (2002) ZnS as fire retardant in plasticized PVC. Polym Int 51:213–222
https://en.wikipedia.org/wiki/Restriction_of_Hazardous_Substances_Directive.(Accessed 14 Jan 2022)
https://eur-lex.europa.eu/legal-content/EN/TXT/?qid=1399998664957&uri=CELEX:02011L0065-20140129. Accessed 14 Jan 2022
https://en.wikipedia.org/wiki/Waste_Electrical_and_Electronic_Equipment_Directive. Accessed 14 Jan 2022
https://eur-lex.europa.eu/legal-content/EN/TXT/?uri=celex%3A32012L0019. Accessed 14 Jan 2022
Jia P, Zhang M, Liu C, Zhou Y-H (2015) Properties of poly(vinyl chloride) incorporated with a novel soybean oil based secondary plasticizer containing a flame retardant group. J Appl Polym Sci 132:42111
Jia P, Zhang M, Hu L, Bo C, Zhou Y-H (2015) Synthesis, application, and flame-retardant mechanism of a novel phosphorus-containing plasticizer based on castor oil for polyvinyl chloride. J Therm Anal Calorim 120:1731–1740
Jia P, Hu L, Feng G, Bo C, Zhou J, Zhang M, Zhou Y (2017) Thermal Degradation and Flame Retardant Mechanism of poly(vinyl chloride) plasticizer containing THEIC and diethyl phosphates groups for the preparation of flame-retardant PVC materials. RSC Adv 7:897–903
Jia P, Ma Y, Zhang M, Hu L, Li Q, Ya X, Zhou Y (2019) Flexible PVC materials grafted with castor oil derivative containing synergistice flame retardant groups of nitrogen and phosphorus. Sci Rep 9:1766–1773
Wang F, Pan S, Zhang P, Fan H, Chen Y, Yun J (2018) Synthesis and application of phosphorus-containing flame retardant plasticizer for polyvinylchloride. Fibers Polym 19:1057–1063
Xu Y, Wang S, Chang J, Xu Z, Zeng Q, Wang Z, Yan J, Chen Y (2020) A simple approach with scale-up potential towards intrinsically flame-retardant bio-based co-plasticizer for PVC artificial materials. J Leather Scie Eng. https://doi.org/10.1186/s42825-020-00022-3
Jia P, Zhang M, Hu L, Bo C, Zhou Y (2015) Thermal degradation and flame retardant mechanism of poly(vinyl chloride) plasticized with a novel chlorinated phosphate based on soybean oil. Thermochim Acta 613:113–120
Jia P, Zhang M, Hu L et al (2015) Thermal degradation behavior and flame retardant mechanism of poly(vinyl chloride) plasticized with a soybean-oil-based plasticizer containing phosphaphenanthrene groups. Polym Degrad Stab 121:292–302
Xu Y, Wang S, Chang J, Xu Z, Zeng Q, Wang Z, Yan J, Chen Y (2020) A simple approach with scale-up potential towards intrinsically flame-retardant bio-based co-plasticizer for PVC artificial materials. J Leather Sci Eng. https://doi.org/10.1186/s42825-020-00022-3
Xu L, Yan S, Fu J, Li J, Xie J (2020) Study on plasticization and flame retardancy of phosphorus-containing branched polybutylene adipate in poly(vinyl chloride). J Appl Poly Sci. https://doi.org/10.1002/APP.48335
Chen J, Zengshe L, Xiaoying L (2016) Thermal behavior of epoxidized cardanol diethyl phosphate as novel renewable plasticizer for poly(vinyl chloride). Polym Degrad Stab 126:58–64
Hou D, Wang S, Chang J, Xu Z, Zeng Q, Wang Z, Yang Y, Yan J, Chen Y (2020) Cardanol with a covalently attached organophosphate moiety as a halogen-free, intrinsically flame-retardant PVC bio-Plasticizer. Fibers and Polymers 21:1649–1656
Sim M-J, Cha S-H, Lee J-C (2021) Enhancement of flame retardancy and physical property for poly(vinyl chloride) having renewable cardanol-based self-polymerizable phosphonate under heat treatment process. Polymer Test 100:107266
Bocque M, Lapinte V, Courault V, Couve J, Cassagnau P, Robin J-J (2018) Phosphonated lipids at primary plasticizers for PVC with improved flame retardancy. Eur J Lipid Sci Technol. https://doi.org/10.1002/ejlt.201800062
Jia P, Zhang M, Hu L, Bo C, Zhou Y (2017) Thermal Degradation and Flame Retardant Mechanism of poly(vinyl chloride) plasticizer containing THEIC and diethyl phosphates groups for the preparation of flame-retardant PVC materials. RSC Adv 7:897–903
Wei X-F, Linde E, Hedenqvist MS (2019) Plasticiser loss from plastic or rubber products through diffusion and evaporation. Mater Degrad 18:1–8
Luciani A, Todaro C, Martinelli D, Peila D (2020) Long-term durability assessment of PVC-P waterproofing geomembranes through laboratory test. Tunnel Underground Space Technol 103:103499
Wu S, Kondo Y, Kakimato MA, Yang B, Yamada H, Kuwajima I, Lambard G, Hongo K, Xu Y, Shiomi J, Schick C, Morikawa J, Yoshida R (2019) Machine-learning-assisted discovery of polymers with high thermal conductivity using a molecular design algorithm. NPJ Comput Mater 5:66
Tran HD, Kim C, Chen L, Chandrasekaran A, Batra R, Venkatram S, Kamal D, Lightstone JP, Gurnani R, Shetty P, Ramprasad M, Las J, Shelton M, Ramprasad R (2020) Machine-learning predictions of polymer properties with polymer genome. J Appl Phys 128:171104
Nguyen D, Tao L, Li Y (2022) Integration of machine learning and coarse-grained molecular simulations polymer materials: physical understandings and molecular design. Front Chem 9:820417
Sharma A, Mukhopadhyay T, Rangappa SM, Siengchin S, Kushvaha V (2022) Advances in computational intelligence of polymer composite materials: machine learning assisted modeling, analysis and design. Arch Computat Methods Eng. https://doi.org/10.1007/s11831-021-09700-9
Patra TK (2022) Data-driven methods for accelerating polymer design. ACS Polym Au 2:8–26
Funding
This work was not funded,
Author information
Authors and Affiliations
Corresponding authors
Ethics declarations
Conflict of interest
The authors declare having no conflict of interest associated with the topics in this paper.
Additional information
Handling Editor: Maude Jimenez.
Publisher's Note
Springer Nature remains neutral with regard to jurisdictional claims in published maps and institutional affiliations.
Rights and permissions
About this article
Cite this article
Morgan, A.B., Mukhopadhyay, P. A targeted review of bio-derived plasticizers with flame retardant functionality used in PVC. J Mater Sci 57, 7155–7172 (2022). https://doi.org/10.1007/s10853-022-07096-w
Received:
Accepted:
Published:
Issue Date:
DOI: https://doi.org/10.1007/s10853-022-07096-w





