Abstract
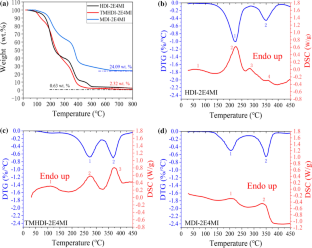
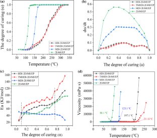
Catalyst-free synthesis in three kinds of isocyanate-blocked imidazole compound was successfully achieved by chemically connecting 2-ethyl-4-methylimidazole (2E4MI) with hexamethylene diisocyanate (HDI), trimethylhexamethylene diisocyanate (TMHDI) or 4,4′-diphenylmethane diisocyanate (MDI), which were tested as the latent hardeners for epoxy (EP) resins. The chemical structures of the synthesized HDI-2E4MI, TMHDI-2E4MI and MDI-2E4MI were identified with Fourier transform infrared spectroscope (FTIR), 1H and 13C nuclear magnetic resonance (1H NMR and 13C NMR). Based on characterizations including thermogravimetry/differential scanning calorimetry (TG/DSC) simultaneous testing and hot-stage FTIR, it was found that both HDI-2E4MI and TMHDI-2E4MI exhibited two-step deblocking behavior, whereas the deblocking process of MDI-2E4MI was completed only via one step. Curing kinetics of HDI-2E4MI/EP, TMHDI-2E4MI/EP and MDI-2E4MI/EP systems were then studied by non-isothermal DSC using Kissinger model. The results revealed that MDI-2E4MI/EP system could be cured via a two-step reaction with the highest curing rate due to the high reactivity of MDI-2E4MI, which was much different from the four-step curing behaviors of both HDI-2E4MI/EP and TMHDI-2E4MI/EP systems. Compared to the reference 2E4MI, noticeably, the three synthesized hardeners showed the outstanding latent features with lower curing activity and longer shelf life and the EP systems cured by the hardeners exhibited desirable mechanical properties and thermal stability. This study provided a feasible approach to synthesize high-performance imidazole-based latent hardener for wide practical applications in a greenway via the blocking treatment through tailoring the isocyanate structure.










Similar content being viewed by others
Explore related subjects
Discover the latest articles and news from researchers in related subjects, suggested using machine learning.References
Guo S, Ma L, Song G, Li X, Li P, Wang M, Shi L, Gu Z, Huang Y (2018) Covalent grafting of triazine derivatives onto graphene oxide for preparation of epoxy composites with improved interfacial and mechanical properties. J Mater Sci 53:16318–16330. https://doi.org/10.1007/s10853-018-2788-0
Kim MR, Kim T, Rye HS, Lee W, Kim H-G, Kim MI, Seo B, Lim C-S (2020) Zeolitic imidazolate framework promoters in one-pot epoxy–amine reaction. J Mater Sci 55:2068–2076. https://doi.org/10.1007/s10853-019-04111-5
Xiao F, Wu K, Luo F, Guo Y, Zhang S, Du X, Zhu Q, Lu M (2017) An efficient phosphonate-based ionic liquid on flame retardancy and mechanical property of epoxy resin. J Mater Sci 52:13992–14003. https://doi.org/10.1007/s10853-017-1483-x
Xue Y, Li C, Tan J, Su Z, Yang Y, Zhang G, Zhang Q (2020) Imidazole-loaded microcapsules as latent curing agent with superior solvent stability and shelf life. J Mater Sci 55:7321–7336. https://doi.org/10.1007/s10853-020-04536-3
Zhan W, Fu X, Wang F, Zhang W, Bai G, Xiao W, Zhou A, Sui G, Yang X (2020) Effect of aromatic amine modified graphene aerogel on the curing kinetics and interfacial interaction of epoxy composites. J Mater Sci 55:10558–10571. https://doi.org/10.1007/s10853-020-04746-9
Xu Y-J, Wang J, Tan Y, Qi M, Chen L, Wang Y-Z (2018) A novel and feasible approach for one-pack flame-retardant epoxy resin with long pot life and fast curing. Chem Eng J 337:30–39
Cheng J, Wang J, Yang S, Zhang Q, Huo S, Zhang Q, Hu Y, Ding G (2019) Benzimidazolyl-substituted cyclotriphosphazene derivative as latent flame-retardant curing agent for one-component epoxy resin system with excellent comprehensive performance. Compos Part B 177:107440
Zhang Q, Wang J, Yang S, Cheng J, Ding G, Huo S (2019) Facile construction of one-component intrinsic flame-retardant epoxy resin system with fast curing ability using imidazole-blocked bismaleimide. Compos Part B 177:107380
Lei L, Shan J, Hu J, Liu X, Zhao J, Tong Z (2016) Co-curing effect of imidazole grafting graphene oxide synthesized by one-pot method to reinforce epoxy nanocomposites. Compos Sci Technol 128:161–168
Sankar G, Sultan Nasar A (2009) Effect of isocyanate structure on deblocking and cure reaction of N-methylaniline-blocked diisocyanates and polyisocyanates. Eur Polym J 45:911–922
Huo S, Yang S, Wang J, Cheng J, Zhang Q, Hu Y, Ding G, Zhang Q, Song P (2020) A liquid phosphorus-containing imidazole derivative as flame-retardant curing agent for epoxy resin with enhanced thermal latency, mechanical, and flame-retardant performances. J Hazard Mater 386:121984
Kalaimani S, Ali BM, Nasar AS (2016) Successful synthesis of blocked polyisocyanates, using easily cleavable phenols as blocking agents, and their deblocking and cure studies. RSC Adv 6:106990–107000
Nasar AS, Kalaimani S (2016) Synthesis and studies on forward and reverse reactions of phenol-blocked polyisocyanates: an insight into blocked isocyanates. RSC Adv 6:76802–76812
Arimitsu K, Fuse S, Kudo K, Furutani M (2015) Imidazole derivatives as latent curing agents for epoxy thermosetting resins. Mater Lett 161:408–410
Jin F-L, Li X, Park S-J (2015) Synthesis and application of epoxy resins: a review. J Ind Eng Chem 29:1–11
Lu L, Fan J, Li G (2016) Intrinsic healable and recyclable thermoset epoxy based on shape memory effect and transesterification reaction. Polymer 105:10–18
Vidil T, Tournilhac F, Musso S, Robisson A, Leibler L (2016) Control of reactions and network structures of epoxy thermosets. Prog Polym Sci 62:126–179
Yang S, Zhang Q, Hu Y, Ding G, Wang J (2019) Synthesis of maleimide modified imidazole derivatives and their application in one-component epoxy resin systems. Mater Lett 234:379–383
Huo S, Wang J, Yang S, Li C, Wang X, Cai H (2019) Synthesis of a DOPO-containing imidazole curing agent and its application in reactive flame retarded epoxy resin. Polym Degrad Stab 159:79–89
Tseng C-C, Chen K-L, Lee K-W, Takayam H, Lin C-Y, Wong FF (2019) Soluble PEG600-imidazole derivatives as the thermal latent catalysts for epoxy-phenolic resins. Prog Org Coat 127:385–393
Yang S, Zhang Q, Hu Y, Ding G, Wang J, Huo S, Zhang B, Cheng J (2018) Synthesis of s-triazine based tri-imidazole derivatives and their application as thermal latent curing agents for epoxy resin. Mater Lett 216:127–130
Ham YR, Lee DH, Kim SH, Shin YJ, Yang M, Shin JS (2010) Microencapsulation of imidazole curing agent for epoxy resin. J Ind Eng Chem 16:728–733
Barton JM, Buist GJ, Hamerton I, Howlin BJ, Jones JR, Liu S (1994) Preparation and characterization of imidazole–metal complexes and evaluation of cured epoxy networks. J Mater Chem 4:379–384
Hamerton I, Howlin BJ, Jones JR, Liu S, Barton JM (1996) Effect of complexation with copper (II) on cured neat resin properties of a commercial epoxy resin using modified imidazole curing agents. J Mater Chem 6:305–310
He C, Shi S, Wang D, Helms BA, Russell TP (2019) Poly(oxime–ester) vitrimers with catalyst-free bond exchange. J Am Chem Soc 141:13753–13757
Fernández J, Etxeberría A, Sarasua JR (2013) Effects of repeat unit sequence distribution and residual catalyst on thermal degradation of poly(l-lactide/ε-caprolactone) statistical copolymers. Polym Degrad Stab 98:1293–1299
Zhan X, Wang L, Zhang J, Cheng J (2015) Synthesis, properties and cure chemistry of a novel room-temperature liquid cyanate ester. Mater Des 88:1100–1108
Wicks DA, Wicks ZW (1999) Blocked isocyanates III: part A. Mechanisms and chemistry. Prog Org Coat 36:148–172
Beneš H, Vlčková V, Paruzel A, Trhlíková O, Chalupa J, Kanizsová L, Skleničková K, Halecký M (2020) Multifunctional and fully aliphatic biodegradable polyurethane foam as porous biomass carrier for biofiltration. Polym Degrad Stab 176:109156
Grzelak AW, Boinard P, Liggat JJ (2018) The influence of diol chain extender on morphology and properties of thermally-triggered UV-stable self-healing polyurethane coatings. Prog Org Coat 122:1–9
Pilch-Pitera B, Byczyński Ł (2016) Study on the thermal behavior of new blocked polyisocyanates for polyurethane powder coatings. Prog Org Coat 101:240–244
Subramani S, Park Y-J, Lee Y-S, Kim J-H (2003) New development of polyurethane dispersion derived from blocked aromatic diisocyanate. Prog Org Coat 48:71–79
Nasar AS, Subramani S, Radhakrishnan G (1999) Synthesis and properties of imidazole-blocked diisocyanates. Polym Int 48:614–620
Nasar AS, Jaisankar SN, Subramani S, Radhakrishnan G (1997) Synthesis and properties of imidazole-blocked toluene diisocyanates. J Macromol Sci A 34:1237–1247
Jia X, Li W, Xu X, Li W, Cai Q, Yang X (2015) Numerical characterization of magnetically aligned multiwalled carbon nanotube–Fe3O4 nanoparticle complex. ACS Appl Mater Interfaces 7:3170–3179
Huan X, Shi K, Yan J, Lin S, Li Y, Jia X, Yang X (2020) High performance epoxy composites prepared using recycled short carbon fiber with enhanced dispersibility and interfacial bonding through polydopamine surface-modification. Compos Part B 193:107987
Jia L, Qi P, Shi K, Liu X, Ma W, Lin S, Zhang F, Jia X, Cai Q, Yang X (2019) High performance epoxy-based composites for cryogenic use: a approach based on synergetic strengthening effects of epoxy grafted polyurethane and MWCNTs-NH2. Compos Sci Technol 184:107865
Check C, Imre B, Gojzewski H, Chartoff R, Vancso GJ (2018) Kinetic aspects of formation and processing of polycaprolactone polyurethanes in situ from a blocked isocyanate. Polym Chem 9:1983–1995
Han F, Shah SAA, Liu X, Zhao F, Xu B, Zhang J, Cheng J (2019) Preparation and properties of self-healing cross-linked polyurethanes based on blocking and deblocking reaction. React Funct Polym 144:104347
Rolph MS, Markowska ALJ, Warriner CN, O'Reilly RK (2016) Blocked isocyanates: from analytical and experimental considerations to non-polyurethane applications. Polym Chem 7:7351–7364
Gedan-Smolka M, Häußler L, Fischer D (2000) Thermal deblocking of masked low molecular isocyanates: I. Aliphatic isocyanates. Thermochim Acta 351:95–105
Wicks DA, Wicks ZW (2001) Multistep chemistry in thin films; the challenges of blocked isocyanates. Prog Org Coat 43:131–140
Li W, Huang W, Kang Y, Gong Y, Ying Y, Yu J, Zheng J, Qiao L, Che S (2019) Fabrication and investigations of G-POSS/cyanate ester resin composites reinforced by silane-treated silica fibers. Compos Sci Technol 173:7–14
Golling FE, Pires R, Hecking A, Weikard J, Richter F, Danielmeier K, Dijkstra D (2019) Polyurethanes for coatings and adhesives—chemistry and applications. Polym Int 68:848–855
Serrano E, Martin R (2018) Forging amides through metal-catalyzed C–C coupling with isocyanates. Eur J Org Chem 2018:3051–3064
Xiong X, Guo X, Ren R, Zhou L, Chen P (2019) A novel multifunctional glycidylamine epoxy resin containing phthalide cardo structure: synthesis, curing kinetics and dynamic mechanical analysis. Polym Test 77:105917
Yang T, Zhang C, Zhang J, Cheng J (2014) The influence of tertiary amine accelerators on the curing behaviors of epoxy/anhydride systems. Thermochim Acta 577:11–16
Gao L, Zhang Q, Li H, Yu S, Zhong W, Sui G, Yang X (2017) Effect of epoxy monomer structure on the curing process and thermo-mechanical characteristics of tri-functional epoxy/amine systems: a methodology combining atomistic molecular simulation with experimental analyses. Polym Chem 8:2016–2027
Hesabi M, Salimi A, Beheshty MH (2019) Development of amine-based latent accelerator for one-pot epoxy system with low curing temperature and high shelf life. Eur Polym J 112:736–748
Zhang P, Ali Shah SA, Gao F, Sun H, Cui Z, Cheng J, Zhang J (2019) Latent curing epoxy systems with reduced curing temperature and improved stability. Thermochim Acta 676:130–138
Lou C, Liu X (2018) Functional dendritic curing agent for epoxy resin: processing, mechanical performance and curing/toughening mechanism. Compos Part B 136:20–27
Ma S, Wei J, Jia Z, Yu T, Yuan W, Li Q, Wang S, You S, Liu R, Zhu J (2019) Readily recyclable, high-performance thermosetting materials based on a lignin-derived spiro diacetal trigger. J Mater Chem A 7:1233–1243
Xu Y-J, Shi X-H, Lu J-H, Qi M, Guo D-M, Chen L, Wang Y-Z (2020) Novel phosphorus-containing imidazolium as hardener for epoxy resin aiming at controllable latent curing behavior and flame retardancy. Compos Part B 184:107673
Wicks DA, Wicks Jr ZW (2001) Blocked isocyanates III: part B: uses and applications of blocked isocyanates. Prog Org Coat 41:1–83
Li L, Liao X, Sheng X, Hao Z, He L, Liu P, Quan H, Zhang Y (2019) Effect of structure regulation of hyper-branched polyester modified carbon nanotubes on toughening performance of epoxy/carbon nanotube nanocomposites. RSC Adv 9:12864–12876
Qi Z, Tan Y, Zhang Z, Gao L, Zhang C, Tian J (2018) Synergistic effect of functionalized graphene oxide and carbon nanotube hybrids on mechanical properties of epoxy composites. RSC Adv 8:38689–38700
Yang G, Cui J, Ohki Y, Wang D, Li Y, Tao K (2018) Dielectric and relaxation properties of composites of epoxy resin and hyperbranched-polyester-treated nanosilica. RSC Adv 8:30669–30677
Chen S, Zhang J, Zhou J, Zhang D, Zhang A (2018) Dramatic toughness enhancement of benzoxazine/epoxy thermosets with a novel hyperbranched polymeric ionic liquid. Chem Eng J 334:1371–1382
Zou W, Du Z-j, Liu Y-x, Yang X, H-q Li, Zhang C (2008) Functionalization of MWNTs using polyacryloyl chloride and the properties of CNT–epoxy matrix nanocomposites. Compos Sci Technol 68:3259–3264
Acknowledgements
The authors are very pleased to acknowledge financial support from National Key Research and Development Project (No. 2019YFB1504800), Beijing Natural Science Foundation (Grant No. 2192044), 2020 Open Project of State Key Laboratory of Organic-Inorganic Composites (Grant No. OIC-202001008), Fundamental Research Funds for the Central Universities (Grant No. XK1802-2), Consulting Research Project of Chinese Academy of Engineering (No. 2020-XY-81), National Natural Science Foundation of China (Grant Nos. U1362205, 5157031049, 51373016), Natural Science Foundation of Jiangsu Province (Grant No. SBK2014040489) and Beijing Youth Talent Plan (Grant No. YETP0492).
Author information
Authors and Affiliations
Corresponding author
Ethics declarations
Conflict of interest
We declare that we have no financial and personal relationships with other people or organizations that can inappropriately influence our work; there is no professional or other personal interest of any nature or kind in any product, service and/or company that could be construed as influencing the position presented in, or the review of, the manuscript entitled.
Additional information
Handling Editor: Gregory Rutledge.
Publisher's Note
Springer Nature remains neutral with regard to jurisdictional claims in published maps and institutional affiliations.
Electronic supplementary material
Below is the link to the electronic supplementary material.
Rights and permissions
About this article
Cite this article
Li, H., Liu, C., Zhang, X. et al. Catalyst-free synthesis of isocyanate-blocked imidazole and its use as high-performance latent hardener for epoxy resin. J Mater Sci 56, 936–956 (2021). https://doi.org/10.1007/s10853-020-05331-w
Received:
Accepted:
Published:
Issue Date:
DOI: https://doi.org/10.1007/s10853-020-05331-w


