Abstract
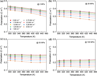
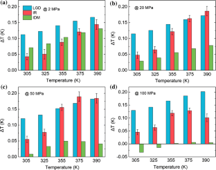
The effects of uniaxial compressive stress on the electrocaloric effect (ECE) of ferroelectric ceramics are studied by Landau–Ginzburg–Devonshire (LGD) thermodynamic approach, direct method, and indirect techniques. Soft lead zirconate titanate ceramics is used as a model material. The direct measurement results are given by an infrared camera combined with a set of specially designed testing setup. It is demonstrated that ECE can be significantly tuned by uniaxial compressive stress. The direct measurement results are essentially in agreement with the LGD theory calculated results, while significant discrepancies between direct and indirect methods are observed. These results are explained by the complex domain switching and possible phase transition behavior under the coupled thermo-electro-mechanical field. In addition, with compressive stress of 50 MPa, direct measurement shows that an improvement of ~ 66.7% in cooling capacity can be achieved at 375 K, which demonstrates that the application of compressive stress is an effective approach for enhancing ECE in ferroelectric ceramics. Our results not only provide insights into the effects of uniaxial compressive stress on ECE, but also offer more opportunities for the design of electrocaloric materials and devices.








Similar content being viewed by others
References
Scott JF (2011) Electrocaloric materials Annu Rev Mater Res 41:229–240
Correia T, Zhang Q (2014) Electrocaloric materials. Springer, Berlin
Kobeko P, Kurtsehatov J (1930) Dielektrische eigenschaften der seignettesalzkristalle. J Z Phys 66:192–205
Mischenko AS, Zhang Q, Scott JF, Whatmore RW, Mathur ND (2006) Giant electrocaloric effect in thin-film PbZr0.95Ti0.05O3. Science 311:1270–1271
Neese B, Chu BJ, Lu SG, Wang Y, Furman E, Zhang QM (2008) Large electrocaloric effect in ferroelectric polymers near room temperature. Science 321:821–823
Qian XS, Ye HJ, Zhang YT, Gu H, Li X, Randall CA, Zhang QM (2014) Giant electrocaloric response over abroad temperature range in modified BaTiO3ceramics. Adv Funct Mater 24:1300–1305
Goupi FL, Axelsson AK, Dunne LJ, Valant M, Manos G, Lukasiewicz T, Dec J, Berenov A, Alford NM (2014) Anisotropy of the electrocaloric effect in lead-free relaxor ferroelectrics. Adv Energy Mater 4:1301688
Ma YB, Xu BX, Albe K, Grünebohm A (2018) Tailoring the electrocaloric effect by internal bias fields and field protocols. Phys Rev Appl 10:024048
Weyland F, Bradeško A, Ma YB, Koruza J, Xu BX, Albe K, Rojac T, Novak N (2018) Impact of polarization dynamics and charged defects on the electrocaloric response of ferroelectric Pb(Zr, Ti)O3 ceramics. Energy Technol 6:1519–1525
Akcay G, Alpay SP, Rossetti GA, Scott JF (2008) Influence of mechanical boundary conditions on the electrocaloric properties of ferroelectric thin films. J Appl Phys 103:024104
Li B, Ren WJ, Wang XW, Meng H, Liu XG, Wang ZJ, Zhang ZD (2010) Intrinsic electrocaloric effects in ferroelectric poly(vinylidenefluoride-trifluoroethylene) copolymers: roles of order of phase transition and stresses. Appl Phys Lett 96:102903
Liu Y, Infante IC, Lou XJ, Lupascu DC, Dkhil B (2014) Giant mechanically-mediated electrocaloric effect in ultrathin ferroelectric capacitors at room temperature. Appl Phys Lett 104:012907
Liu Y, Wei J, Janolin PE, Infante IC, Kreisel J, Lou XJ, Dkhil B (2014) Prediction of giant elastocaloric strength and stress-mediated electrocaloric effect in BaTiO3single crystals. Phys Rev B 90:104107
Chauhan A, Patel S, Vaish R (2015) Enhanced electrocaloric effect in pre-stressed ferroelectric materials. Energy Technol 3:177–186
Liu Y, Wei J, Janolin PE, Infante IC, Lou XJ, Dkhil B (2014) Giant room-temperature barocaloric effect and pressure-mediated electrocaloric effect in BaTiO3single crystal. Appl Phys Lett 104:162904
Patel S, Chauhan A, Vaish R, Lynch CS (2017) Large barocaloric effect and pressure-mediated electrocaloric effect in Pb0.99Nb0.02(Zr0.95Ti0.05)0.08O3ceramics. J Am Ceram Soc 100:4902–4911
Chauhan A, Patel S, Wang S, Novak N, Xu BX, Lv P, Vaish R, Lynch CS (2017) Enhanced performance of ferroelectric materials under hydrostatic pressure. J Appl Phys 122:224105
Chauhan A, Patel S, Vaish R (2015) Multicaloric effect in Pb(Mn1/3 Nb2/3)O3–32PbTiO3 single crystals. Acta Mater 89:384–395
Lisenkov S, Mani BK, Chang CM, Alman DJ, Ponomareva I (2013) Multicaloric effect in ferroelectric PbTiO3 from first principles. Phys Rev B 87:224101
Wu HH, Zhu JM, Zhang TY (2015) Double hysteresis loops and large negative and positive electrocaloric effects in tetragonal ferroelectrics. Phys Chem Chem Phys 17:23897–23908
Wang F, Li B, Ou Y, Liu LF, Peng CZ, Wang ZS, Wang W (2017) A stress-mediated negative/positive electrocaloric effect in Bi4Ti3O12 nanoparticles. Mater Lett 196:179–182
Li YW, Zhou XL, Li FX (2010) Temperature-dependent mechanical depolarization of ferroelectric ceramics. J Phys D: Appl Phys 43:175501
Li YW, Zhou XL, Miao HC, Cai HR, Li FX (2013) Mechanism of crystal-symmetry dependent deformation in ferroelectric ceramics: experiments versus model. J Appl Phys 113:214111
Lines ME, Glass AM (1977) Principles and applications of ferroelectrics and related materials. Oxford University Press, Oxford
Haun MJ, Furman E, Jang SJ, Cross LE (1989) Thermodynamic theory of the lead zirconate-titanate solid solution system, part I: phenomenology. Ferroelectrics 99:13–25
Li YW, Wang J, Li FX (2016) Intrinsic polarization switching in BaTiO3 crystal under uniaxial electromechanical loading. Phys Rev B 94:184108
Lu SG, Zhang QM (2009) Electrocaloric materials for solid-state refrigeration. Adv Mater 21:1983–1987
Kutnjak Z, Rožič B, Pirc R (2015) Electrocaloric effect: theory, measurements, and applications. Wiley encyclopedia of electrical and electronics engineering, Wiley, Hoboken
Kar-Narayan S, Crossley S, Moya X, Kovacova V, Abergel J, Bontempi A, Baier N, Defay E, Mathur ND (2013) Direct electrocaloric measurements of a multilayer capacitor using scanning thermal microscopy and infra-red imaging. Appl Phys Lett 102:032903
Liu Y, Dkhil B, Defay E (2016) Spatially resolved imaging of electrocaloric effect and the resultant heat flux in multilayer capacitors. ACS Energy Lett 1:521–528
Lynch CS (1996) The effect of uniaxial stress on the electro-mechanical response of 8/65/35 PLZT. Acta Mater 44:4137–4148
Fang DN, Li CQ (1999) Nonlinear electric-mechanical behavior of a soft PZT-51 ferroelectric ceramic. J Mater Sci 34:4001–4010. https://doi.org/10.1023/A:1004603729657
Chaplya PM, Carman GP (2001) Dielectric and piezoelectric response of lead zirconate-lead titanate at high electric and mechanical loads in terms of non-180° domain wall motion. J Appl Phys 90:5278
Zhou DY, Kamlah M, Munz D (2005) Effects of uniaxial prestress on the ferroelectric hysteretic response of soft PZT. J Eur Ceram Soc 25:425–432
Kerkamm I, Hiller P, Granzow T, Rödel J (2009) Correlation of small- and large-signal properties of lead zirconate titanate multilayer actuators. Acta Mater 57:77–86
McLaughlin EA, Liu TQ, Lynch CS (2005) Relaxor ferroelectric PMN-32%PT crystals under stress, electric field and temperature loading: II-33-mode measurements. Acta Mater 53:4001–4008
Schader FH, Rossetti GA Jr, Luo J, Webber KG (2017) Piezoelectric and ferroelectric properties of %3c001%3eC Pb(In1/2Nb1/2)O3-Pb(Mg1/3Nb2/3)O3-PbTiO3 single crystals under combined thermal and mechanical loading. Acta Mater 126:174–181
Wang K, Yao FZ, Koruza J, Cheng LQ, Schader FH, Zhang MH, Rödel J, Li JF, Webber KG (2017) Electromechanical properties of CaZrO3 modified (K, Na)NbO3-based lead-free piezoceramics under uniaxial stress conditions. J Am Ceram Soc 100:2116–2122
Dittmer R, Webber KG, Aulbach E, Jo W, Tan XL, Rödel J (2013) Electric-field-induced polarization and strain in 0.94(Bi1/2Na1/2)TiO3-0.06BaTiO3 under uniaxial stress. Acta Mater 61:1350–1358
Li JJ, Li JT, Qin SQ, Su XP, Qiao LJ, Wang Y, Lookman T, Bai Y (2019) Effects of long- and short-range ferroelectric order on the electrocaloric effect in relaxor ferroelectric ceramics. Phys Rev Appl 11:044032
Thacher PD (1968) Electrocaloric effects in some ferroelectric and antiferroelectric Pb(Zr, Ti)O3 compounds. J Appl Phys 39:1996
Esteves G, Fancher CM, Röhrig S, Maier GA, Jones JL, Deluca M (2017) Electric-field-induced structural changes in multilayer piezoelectric actuators during electrical and mechanical loading. Acta Mater 132:96–105
Dittmer R, Webber KG, Aulbach E, Jo W, Tan XL, Rödel J (2013) Optimal working regime of lead-zirconate-titanate for actuation applications. Sens Actuators A 189:187–194
Goupil FL, Bennett J, Axelsson AK, Valant M, Berenov A, Bell AJ, Comyn TP, Alford NM (2015) Electrocaloric enhancement near the morphotropic phase boundary in lead-free NBT-KBT ceramics. Appl Phys Lett 107:172903
Chauhan A, Patel S, Vaish R (2015) Multicaloric effect in Pb(Mn1/3Nb2/3)O3–32PbTiO3 single crystals: modes of measurement. Acta Mater 97:17–28
Liu Y, Zhang GZ, Li Q, Bellaiche L, Scott JF, Dkhil B, Wang Q (2016) Towards multicaloric effect with ferroelectrics. Phys Rev B 94:214113
Chen JY, Tang ZH, Lu QS, Zhao SF (2018) Giant negative electrocaloric effect over a broad temperature range in lead-free based Bi0.5(K0.15Na0.85)0.05TiO3 relaxor ferroelectric films. J Alloys Compd 756:62–67
Cheng XY, Weyland F, Novak N, Li YW (2019) Indirect electrocaloric evaluation: influence of polarization hysteresis measurement frequency. Phys Status Solidi A 216:1900684
Weyland F, Eisele T, Steiner S, Frömling T, Rossetti Jr. GA, Rödel J, Novak N (2017) Long term stability of electrocaloric response in barium zirconate titanate. J Eur Ceram Soc 38:551–556
Bradeško A, Fulanović L, Vrabelj M, Otoničar M, Uršič H, Henriques A, Chung CC, Jones JL, Malič B, Kutnjak Z, Rojac T (2019) Electrocaloric fatigue of lead magnesium niobate mediated by an electric-field-induced phase transformation. Acta Mater 169:275–283
Tan WL, Faber KT, Kochmann DM (2018) In-situ observation of evolving microstructural damage and associated effective electro-mechanical properties of PZT during bipolar electrical fatigue. Acta Mater 164:704–713
Haun MJ, Zhuang ZQ, Furman E, Jang SJ, Cross LE (1989) Thermodynamic theory of the lead zirconate-titanate solid solution system, part III: curie constant and sixth-order polarization interaction dielectric stiffness coefficients. Ferroelectrics 99:45–54
Chen LQ (2007) Appendix A: Landau free-energy coefficients. In: Rabe K, Ahn CH, Triscone JM (eds) Physics of ferroelectrics: a modern perspective. Springer, Berlin, pp 363–372
Pertsev NA, Kukhar VG, Kohlstedt H, Waser R (2003) Phase diagrams and physical properties of single-domain epitaxialPb(Zr1−xTix)O3thin films. Phys Rev B 67:054107
Acknowledgements
The work reported in this paper received financial support from the National Natural Science Foundation of China (No. 11972262), the Natural Science Foundation of Hubei Province (No.2019CFB486), and the Fundamental Research Funds for the Central Universities (No. 2042019kf0025).
Author information
Authors and Affiliations
Corresponding authors
Ethics declarations
Conflict of interest
The authors declare no conflict of interest.
Additional information
Publisher's Note
Springer Nature remains neutral with regard to jurisdictional claims in published maps and institutional affiliations.
Rights and permissions
About this article
Cite this article
Cheng, X., Li, Y., Zhu, D. et al. Effects of uniaxial compressive stress on the electrocaloric effect of ferroelectric ceramics. J Mater Sci 55, 8802–8813 (2020). https://doi.org/10.1007/s10853-020-04640-4
Received:
Accepted:
Published:
Issue Date:
DOI: https://doi.org/10.1007/s10853-020-04640-4


