Abstract
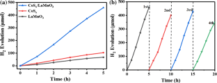
The expansion of the optical response range and the high photoelectron holes separation and the transfer efficiency are prerequisites for the excellent hydrogen evolution performance of the catalyst. In this paper, amorphous CoSx is combined with rare-earth complex LaMnO3 and under the characterization of SEM, TEM, XRD and XPS, the successful synthesis of the composite catalyst was demonstrated; characterization results by UV–Vis, BET and electrochemical workstations show that the composite material exposes more active sites, and the close contact interface formed between the two effectively improves the separation and transmission of photogenerated carriers, and the ability of the composite material to sense light is also significantly enhanced. After optimizing the hydrogen production conditions of the composite catalyst, the hydrogen production under visible light (≥ 420 nm) for 5 h reached 458.8 μmol, which was about 6.8 and 4.5 times that of pure LaMnO3 and CoSx, and the hydrogen evolution stability of the material is very good. Studies have shown that amorphous CoSx is a good material that can replace precious metals for hydrogen production.











Similar content being viewed by others
Explore related subjects
Discover the latest articles and news from researchers in related subjects, suggested using machine learning.References
Liu C, Dong F, Mingjie W, Wang Y, Nengneng X, Wang X, Qiao J, Shi P, Huang H (2019) Dual-active-sites design of CoSx anchored on nitrogen-doped carbon with tunable mesopore enables efficient Bi-functional oxygen catalysis for ultra-stable zinc-air batteries. J Power Sources 438:226953
Chu L, Lin Y, Liu Y, Wang H, Zhang Q, Li Y, Cao Y, Hao Y, Peng F (2019) Preparation of CdS–CoSx photocatalysts and their photocatalytic and photoelectrochemical characteristics for hydrogen production. Int J Hydrog Energy 44:27795–27805
Hafeez HY, Lakhera SK, Shankar MV, Neppolian B (2019) Synergetic improvement in charge carrier transport and light harvesting over ternary InVO4–g–C3N4/rGO hybrid nanocomposite for hydrogen evolution reaction. Int J Hydrog Energy. https://doi.org/10.1016/j.ijhydene.2019.05.235
Wang W, Xi S, Shao Y, Sun W, Wang S, Gao J, Mao C, Guo X, Li G (2019) Oxide passivated CoNi@NC-supported Ru(OH)xCly cluster as highly efficient catalysts for the oxygen and hydrogen evolution. ACS Sustain Chem Eng 7:17227–17236
Zhou Z, Li X, Li Q, Zhao Y, Pang H (2019) Copper-based materials as highly active electrocatalysts for the oxygen evolution reaction. Mater Today Chem 11:169–196
Zhang Y, Jin Z, Yuan H, Wang G, Ma B (2018) Well-regulated Nickel nanoparticles functional modified ZIF-67 (Co) derived Co3O4/CdS p–n heterojunction for efficient photocatalytic hydrogen evolution. Appl Surf Sci 462:213–225
Haijun W, Li C, Che H, Hao H, Wei H, Liu C, Ai J, Dong H (2018) Decoration of mesoporous Co3O4 nanospheres assembled by monocrystal nanodots on g-C3N4 to construct Z-scheme system for improving photocatalytic performance. Appl Surf Sci 440:308–319
Xia Y, Li Q, Lv K, Li M (2017) Heterojunction construction between TiO2 hollowsphere and ZnIn2S4 flower for photocatalysis application. Appl Surf Sci 398:81–88
Chen M, Wu P, Zhu Y, Yang S, Lu Y, Lin Z (2018) Enhanced photocatalytic H2 production activity of CdZnS with stacking faults structure assisted by ethylenediamine and NiS. Int J Hydrog Energy 43(24):10938–10949
Xia Y, Liang S, Wu L, Wang X (2019) Ultrasmall NiS decorated HNb3O8 nanosheeets as highly efficient photocatalyst for H2 evolution reaction. Catal Today 330(15):195–202
Li Q, Shi T, L X, Lv K, Li M, Liu F, Li H, Lei M (2018) Remarkable positive effect of Cd(OH)2 on CdS semiconductor for visible-light photocatalytic H2 production. Appl Catal B 229:8–14
Li J-J, Yu E-Q, Cai S-C, Chen X, Chen J, Jia H-P, Xu Y-J (2019) Noble metal free, CeO2/LaMnO3 hybrid achieving efficient photo-thermal catalytic decomposition of volatile organic compounds under IR light. Appl Catal B 240:141–152
Wang W, Xi S, Shao Y, Gao X, Lin J, Meng C, Wang W, Guo X, Li G (2019) Sub-nanometer-sized iridium species decorated on mesoporous Co3O4 for electrocatalytic oxygen evolution. ChemElectroChem 6:1846–1852
Meng J, Li Y (2019) A high H2 evolution rate under visible light of a CdS/TiO2@NiS catalyst due to a directional electron transfer between the phases. Chin J Chem Eng 27(3):544–548
Xu J, Yu H, Guo H (2018) Synthesis and behaviors of g-C3N4 coupled with LaxCo3–xO4 nanocomposite for improved photocatalytic activity and stability under visible light. Mater Res Bull 105:342–348
Yu H, Xu J, Yin C, Liu Z, Li Y (2019) Significant improvement of photocatalytic hydrogen evolution rate over g-C3N4 with loading CeO2@Ni4S3. J Solid State Chem 272:102–112
Guo X, Xiaoguang Y, Feng Z, Liang J, Li Q, Lv Z, Liu B, Hao C, Li G (2018) Intercalation synthesis of prussian blue analog nanocone and their conversion into Fe doped CoxP nanocone for enhanced hydrogen evolution. ACS Sustain Chem Eng 6(7):8150–8158
Jiang L, Wang K, Xiaoyong W, Zhang G, Yin S (2019) Amorphous bimetallic cobalt nickel sulfide cocatalysts for significantly boosting photocatalytic hydrogen evolution performance of graphitic carbon nitride: efficient interfacial charge transfer. ACS Appl Mater Interfaces 11:26898
Yuan R, He Y, He W, Ni M, Leung MKH (2019) La0.8Sr0.2MnO3 based perovskite with A-site deficiencies as high performance bifunctional electrocatalyst for oxygen reduction and evolution reaction in alkaline. Energy Procedia 158:5804–5810
Hojamberdiev M, Kawashima K, Kumar M, Yamakata A, Yubuta K, Gurlo A, Hasegawa M, Domen K, Teshima K (2017) Engaging the flux-grown La1−xSrxFe1−yTiyO3 crystals in visible-light-driven photocatalytic hydrogen generation. Int J Hydrog Energy 42:27024–27033
Maity R, Sakhya AP, Dutta A, Sinha TP (2019) Investigation of concentration dependent electrical and photocatalytic properties of Mn doped SmFeO3. Mater Chem Phys 223:78–87
Chen P, Wang H, Liu H, Ni Z, Li J, Zhou Y, Dong F (2019) Directional electron delivery and enhanced reactants activation enable efficient photocatalytic air purification on amorphous carbon nitride co-functionalized with O/La. Appl Catal B 242:19–30
Binas V, Stefanopoulos V, Kiriakidis G, Papagiannakopoulos P (2019) Photocatalytic oxidation of gaseous benzene, toluene and xylene under UV and visible irradiation over Mn-doped TiO2 nanoparticles. J Materiomics 5:56–65
Reddy BP, Sekhar MC, Prakash BP, Suh Y, Park S-H (2018) Photocatalytic, magnetic, and electrochemical properties of La doped BiFeO3, nanoparticles. Ceram Int 44:19512–19521
Zhang Y, Zhang K, Kang L, Zhang L (2017) A new In2O3 and NiO co-loaded fly ash-based nanostructural geopolymer for photocatalytic H2 evolution. Integr Ferroelectr 182(1):1–9
Zhang Z, Zheng T, Xu J, Zeng H, Zhang N (2017) Carbon quantum dots/Bi2MoO6 composites with photocatalytic H2, evolution and near infrared activity. J Photochem Photobiol, A 346:24–31
Chen T, Song C, Fan M, Hong Y, Bo H, Longbao Y, Shi W (2017) In-situ fabrication of CuS/g-C3N4 nanocomposites with enhanced photocatalytic H2-production activity via photoinduced interfacial charge transfer. Int J Hydrog Energy 42(17):12210–12219
Liu L, Xuejun X, Si Z, Wang Z, Ran R, He Y, Weng D (2017) Noble metal-free NiS/P-S codoped g-C3N4 photocatalysts with strong visible light absorbance and enhanced H2 evolution activity. Catal Commun 106:55–59
Li Z, Wang X, Wang X, Lin Y, Meng A, Yang L, Li Q (2019) Mn-Cd-S@amorphous-Ni3S2 hybrid catalyst with enhanced photocatalytic property for hydrogen production and electrocatalytic OER. Appl Surf Sci 491:799–806
Jing Y, Xiaoyu M, Xie C, Liu H, Yan R, Dai H, Liu C, Zhang X-D (2019) Enhanced hydrogen evolution reaction of WS2–CoS2 heterostructure by synergistic effect. Int J Hydrog Energy 44:809–818
Li X, Wang B, Shu X, Wang D, Xu G, Zhang X, Lv J, Wu Y (2019) An amorphous MoSx modified g-C3N4 composite for efficient photocatalytic hydrogen evolution under visible light. RSC Adv 9:15900
Yu H, Yuan R, Gao D, Xu Y, Yu J (2019) Ethyl acetate-induced formation of amorphous MoSx nanoclusters for improved H2-evolution activity of TiO2 photocatalyst. Chem Eng J 375:121934
Wenjing L, Xuefei W, Huogen Y, Jiaguo Y (2018) Direct photoinduced synthesis of amorphous CoMoSx cocatalyst and its improved photocatalytic H2-evolution activity of CdS. ACS Sustain Chem Eng 6:12436
Cheng JP, Chen WQ, Gao SQ, Guo SH, Liu F (2018) Low crystalline 2D CoSx derived from cobalt carbonate hydroxide by sulfidation at room temperature for supercapacitor. Electrochim Acta 286:14–21
Sun X, Xiaoxiang X (2017) Efficient photocatalytic hydrogen production over La/Rh co-doped Ruddlesden-Popper compound Sr2TiO4. Appl Catal B 210:149–159
Li Y, Xu J, Liu Z, Yu H (2019) Performance of amorphous CoSx/oxygen vacancies ZnO heterojunction photocatalytic hydrogen evolution. J Mater Sci: Mater Electron 30:246–258
Luo J, Chen J, Guo R, Qiu Y, Li W, Zhou X, Ning X, Zhan L (2019) Rational construction of direct Z-scheme LaMnO3/g-C3N4 hybrid for improved visible-light photocatalytic tetracycline degradation. Sep Purif Technol 211:882–894
Liu Y, Zhou J, Fu W, Zhang P, Pan X, Xie E (2017) In situ synthesis of CoSx@carbon core-shell nanospheres decorated in carbon nanofibers for capacitor electrodes with superior rate and cycling performances. Carbon 114:187–197
Putri NA, Fauzia V, Iwan S, Roza L, Umar AA, Budi S (2018) Mn-doping-induced photocatalytic activity enhancement of ZnO nanorods prepared on glass substrates. Appl Surf Sci 439:285–297
Li L, Xu J, Ma JP, Liu Z, Li Y (2019) A bimetallic sulfide CuCo2S4 with good synergistic effect was constructed to drive high performance photocatalytic hydrogen evolution. J Colloid Interface Sci 552(15):17–26
Zhang G, Chen D, Li N, Xu Q, Li H, He J, Lu J (2019) Fabrication of Bi2MoO6/ZnO hierarchical heterostructures with enhanced visible-light photocatalytic activity. Appl Catal B 250:313–324
Tang J, Gao B, Pan J, Chen L, Zhao Z, Shen S, Guo J-K, Au C-T, Yin Shuang-Feng (2019) CdS nanorods anchored with CoS2 nanoparticles for enhanced photocatalytic hydrogen production. Appl Catal A 588:117281
Wang Z, Jin Z, Yuan H, Wang G, Ma B (2018) Orderly-designed Ni2P nanoparticles on g-C3N4 and UiO-66 for efficient solar water splitting. J Colloid Interface Sci 532:287–299
Liu D, Jin Z, Bi Y (2017) Charge transmission channel construction between MOF and rGO by means of Co–Mo–S modification. Catal Sci Technol 7:4478–4488
Hao X, Wang Y, Zhou J, Cui Z, Wang Y, Zou Z (2018) Zinc vacancy-promoted photocatalytic activity and photostability of ZnS for efficient visible-light-driven hydrogen evolution. Appl Catal B: Environ 221:302–311
Liu D, Jin Z, Zhang Y, Zhang G, Ma B (2018) Light harvesting and charge management by Ni4S3 modified metal-organic frameworks and rGO in the process of photocatalysis. J Colloid Interface Sci 529:44–52
Li Y, Jin Z, Liu H, Wang H, Zhang Y, Wang G (2019) Unique photocatalytic activities of transition metal phosphide for hydrogen evolution. J Colloid Interface Sci 541(1):289–299
Chen F, Luo W, Mo Y, Yu H, Cheng B (2018) In situ photodeposition of amorphous CoSx on the TiO2 towards hydrogen evolution. Appl Surf Sci 430:448–456
Shen Q, Bibi R, Wei L, Hao D, Li N, Zhou J (2019) Well-dispersed CoSx nanoparticles modified tubular sulfur doped carbon nitride for enhanced photocatalytic H2 production activity. Int J Hydrog Energy 44:14550–14560
Fu J, Bie C, Cheng B, Jiang C, Yu J (2018) Hollow CoSx polyhedrons act as high-efficiency cocatalyst for enhancing the photocatalytic hydrogen generation of g-C3N4. ACS Sustain Chem Eng 6:2767–2779
Li L, Xu J, Mao M, Li X, Zhao S, Liu Z, Li Y (2019) Effect of visible light irradiation on hydrogen production by CoNi2S4/CdWO4 controllable flower spherical photocatalyst. Appl Surf Sci 481:692–701
Liu D, Jin Z, Li H, Lu G (2017) Modulation of the excited-electron recombination process by introduce g-C3N4 on Bi-based bimetallic oxides photocatalyst. Appl Surf Sci 423:255–265
Li Y, Wang N, Xu J, Liu Z, Yu H (2019) Significant effect of advanced catalysts Co3S4 modified CuWO4·2H2O under visible light condition photocatalytic hydrogen production. J Nanopart Res 21(4):1504–1517
Acknowledgement
This work was supported by Natural Science Foundation of Ningxia Province (NZ17262); Foundation of Key Laboratory of Electrochemical Energy Conversion Technology Application at North Minzu University (2018KLEA02); Open Project of State Key Laboratory of High-Efficiency Utilization of Coal and Green Chemical Engineering, Ningxia University (2019-KF-36); and New Catalytic Process in Clean Energy Production (ZDZX201803).
Author information
Authors and Affiliations
Corresponding author
Ethics declarations
Conflict of interest
There are no conflicts of interest in this research article.
Additional information
Publisher's Note
Springer Nature remains neutral with regard to jurisdictional claims in published maps and institutional affiliations.
Electronic supplementary material
Below is the link to the electronic supplementary material.
Rights and permissions
About this article
Cite this article
Mao, M., Xu, J., Li, Y. et al. Hydrogen evolution from photocatalytic water splitting by LaMnO3 modified with amorphous CoSx. J Mater Sci 55, 3521–3537 (2020). https://doi.org/10.1007/s10853-019-04205-0
Received:
Accepted:
Published:
Issue Date:
DOI: https://doi.org/10.1007/s10853-019-04205-0


