Abstract
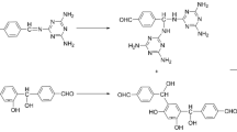
Polystyrene, one of the classical plastic, has caused serious environmental problems due to overuse and inability to recycle effectively. Transforming it into functional carbon materials is one of the effective ways to recycle polystyrene and other waste plastics, which has drawn the attention. In this study, we have developed a facile and efficient method for the preparation of three-dimensional (3D) network structure porous carbon (PC) via the Friedel–Crafts reaction with waste polystyrene serves as carbon source. Notably, the constructed carbonyl (–CO–) cross-linking bridges between the linear polystyrenes provide the resulting hierarchical porous polystyrene with a high cross-linking density and amounts of oxygen atoms to achieve the carbonizability of cross-linking polystyrene framework. Moreover, silica particles created more porous structure for carbon material. The prepared PC showed large specific surface area and 3D porous structure and exhibited good capacitance and electrochemical stability as electrode materials for supercapacitor.




Similar content being viewed by others
Explore related subjects
Discover the latest articles and news from researchers in related subjects, suggested using machine learning.References
Fu Z, Jia J, Li J et al (2017) Transforming waste expanded polystyrene foam into hypercrosslinked polymers for carbon dioxide capture and separation. Chem Eng J 323:557–564
Al-Salem SM, Lettieri P, Baeyens J (2009) Recycling and recovery routes of plastic solid waste (PSW): a review. Waste Manag 29:2625–2643
Kan A, Demirboğa R (2009) A new technique of processing for waste-expanded polystyrene foams as aggregates. J Mater Process Technol 209:2994–3000
Ignatyev IA, Thielemans W, Vander BB (2014) Recycling of polymers: a review. Chemsuschem 7:1579–1593
Fonseca WS, Meng X, Deng D (2015) Trash to treasure: transforming waste polystyrene cups into negative electrode materials for sodium ion batteries. ACS Sustain Chem Eng 3:2153–2159
Luo W, Zhao T, Li Y et al (2016) A micelle fusion–aggregation assembly approach to mesoporous carbon materials with rich active sites for ultrasensitive ammonia sensing. J Am Chem Soc 138:12586–12595
Ma J, Ren Y, Zhou X et al (2018) Pt nanoparticles sensitized ordered mesoporous WO3 semiconductor: gas sensing performance and mechanism study. Adv Func Mater 28:1705268–1705280
Zhu Y, Zhao Y, Ma J et al (2017) Mesoporous tungsten oxides with crystalline framework for highly sensitive and selective detection of food borne pathogens. J Am Chem Soc 139:10365–10373
Ren Y, Zhou X, Luo W et al (2016) Amphiphilic block copolymer templated synthesis of mesoporous indium oxides with nanosheet-assembled pore walls. Chem Mater 28:7997–8005
Wang C, Wang F, Liu Z et al (2017) N-doped carbon hollow microspheres for metal-free quasi-solid-state full sodium-ion capacitors. Nano Energy 41:674–680
Yue Q, Li J, Zhang Y et al (2017) Plasmolysis-inspired nanoengineering of functional Yolk-Shell microspheres with magnetic core and mesoporous silica shell. J Am Chem Soc 139:15486–15493
Zhou J, Zhang Z, Wei X et al (2015) Nitrogen-doped hierarchical porous carbon materials prepared from meta-aminophenol formaldehyde resin for supercapacitor with high rate performance. Electrochim Acta 153:68–75
Kim BH, Yang KS (2013) Enhanced electrical capacitance of porous carbon nanofibers derived from polyacrylonitrile and boron trioxide. Electrochim Acta 88:597–603
Tanoğlu M, Ergün Y (2007) Porous nanocomposites prepared from layered clay and PMMA [poly(methyl methacrylate)]. Compos A Appl Sci Manuf 38:318–322
Pol VG, Thackeray MM (2011) Spherical carbon particles and carbon nanotubes prepared by autogenic reactions: evaluation as anodes in lithium electrochemical cells. Energy Environ Sci 4:1904–1912
Gong J, Liu J, Chen X et al (2014) Converting real-world mixed waste plastics into porous carbon nanosheets with excellent performance in the adsorption of an organic dye from wastewater. J Mater Chem A 3:341–351
Chung YH, Jou S (2005) Carbon nanotubes from catalytic pyrolysis of polypropylene. Mater Chem Phys 92:256–259
Jiang G, Liu J, Jiang Z et al (2014) Striking influence of chain structure of polyethylene on the formation of cup-stacked carbon nanotubes/carbon nanofibers under the combined catalysis of CuBr and NiO. Appl Catal B 147:592–601
Liu Y, Qian J, Wang J (2000) Pyrolysis of polystyrene waste in a fluidized-bed reactor to obtain styrene monomer and gasoline fraction. Fuel Process Technol 63:45–55
Torres ISM, Colín-Orozco E, Olayo MG et al (2018) Carbonization, hydrogenation and oxidation in the thermal degradation of expanded polystyrene. J Mater Sci 53:2268–2276. https://doi.org/10.1007/s10853-017-1649-6
Chen AB, Li YT, Yu YF et al (2016) Synthesis of hollow mesoporous carbon spheres via “dissolution-capture” method for effective phenol adsorption. Carbon 103:157–162
Watanabe R, Yokoi T, Kobayashi E et al (2011) Extension of size of monodisperse silica nanospheres and their well-ordered assembly. J Colloid Interface Sci 360:1–7
Zhang J, Zhang W, Han M et al (2018) One pot synthesis of nitrogen-doped hierarchical porous carbon derived from phenolic formaldehyde resin with sodium citrate as activation agent for supercapacitors. J Mater Sci Mater Electron 29:4639–4648
You C, Liao S, Qiao X et al (2014) Conversion of polystyrene foam to a high-performance doped carbon catalyst with ultrahigh surface area and hierarchical porous structures for oxygen reduction. J Mater Chem A 2:12240–12246
Zeng Q, Wu D, Zou C et al (2010) Template-free fabrication of hierarchical porous carbon based on intra-/inter-sphere crosslinking of monodisperse styrene-divinylbenzene copolymer nanospheres. Chem Commun 46:5927–5929
Hao P, Zhao Z, Tian J et al (2014) Hierarchical porous carbon aerogel derived from bagasse for high performance supercapacitor electrode. Nanoscale 6:12120–12129
Wang Q, Yan J, Wang Y et al (2014) Three-dimensional flower-like and hierarchical porous carbon materials as high-rate performance electrodes for supercapacitors. Carbon 67:119–127
Zhao Q, Wang X, Wu C et al (2014) Supercapacitive performance of hierarchical porous carbon microspheres prepared by simple one-pot method. J Power Sources 254:10–17
Xu F, Cai R, Zeng Q et al (2011) Fast ion transport and high capacitance of polystyrene-based hierarchical porous carbon electrode material for supercapacitors. J Mater Chem 21:1970–1976
Fan T, Zeng W, Niu Q et al (2015) Fabrication of high-quality graphene oxide nanoscrolls and application in supercapacitor. Nanoscale Res Lett 10:192–200
Lv LP, Wu ZS, Chen L et al (2015) Precursor-controlled and template-free synthesis of nitrogen-doped carbon nanoparticles for supercapacitors. RSC Adv 5:50063–50069
Gamby J, Taberna PL, Simon P et al (2001) Studies and characterisations of various activated carbons used for carbon/carbon supercapacitors. J Power Sources 101:109–116
Zheng X, Lv W, Tao Y et al (2014) Oriented and interlinked porous carbon nanosheets with an extraordinary capacitive performance. Chem Mater 26:6896–6903
Luo G, Huang H, Lei C et al (2016) Facile synthesis of porous graphene as binder-free electrode for supercapacitor application. Appl Surf Sci 366:46–52
Yu D, Dai L (2009) Self-assembled graphene/carbon nanotube hybrid films for supercapacitors. J Phys Chem Lett 1:467–470
Chen XY, Chen C, Zhang Z et al (2013) Nitrogen-doped porous carbon for supercapacitor with long-term electrochemical stability. J Power Sources 230:50–58
Shao JQ, Ma FW, Wu G et al (2017) In-situ MgO (CaCO3) templating coupled with KOH activation strategy for high yield preparation of various porous carbons as supercapacitor electrode materials. Chem Eng J 321:301–313
Qu S, Wan J, Dai C et al (2018) Promising as high-performance supercapacitor electrode materials porous carbons derived from biological lotus leaf. J Alloy Compd 751:107–116
Acknowledgements
We thank the National Natural Science Foundation of China (21676070), Hebei Natural Science Foundation (B2015208109), Hebei Training Program for Talent Project (A201500117), Hebei One Hundred-Excellent Innovative Talent Program (III) (SLRC2017034), Hebei Science and Technology Project (17214304D, 16214510D).
Author information
Authors and Affiliations
Corresponding author
Rights and permissions
About this article
Cite this article
Zhang, Y., Shen, Z., Yu, Y. et al. Porous carbon derived from waste polystyrene foam for supercapacitor. J Mater Sci 53, 12115–12122 (2018). https://doi.org/10.1007/s10853-018-2513-z
Received:
Accepted:
Published:
Issue Date:
DOI: https://doi.org/10.1007/s10853-018-2513-z

