Abstract
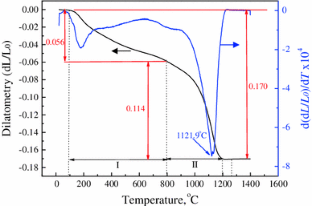
In this article, pollucite ceramic with high relative density and low coefficient of thermal expansion (CTE) was prepared from Cs-based geopolymer using synthetic metakaolin. Crystallization and sintering behavior of the Cs-based geopolymer together with thermal expansion behavior of the resulted pollucite ceramic were investigated. On heating at 1200 °C for 2 h, the amorphous Cs-based geopolymer completely crystallized into pollucite based on crystal nucleation and growth mechanism. Selected area diffraction analysis and XRD results confirmed the resulted pollucite ceramic at room temperature was pseudo-cubic phase with superlattice structure. Compared with Cs-based geopolymer using natural metakaolin, geopolymer using synthetic metakaolin in this article showed a much lower viscous sintering temperature range, which started at 800 °C, reached a maximum value of −7.47 × 10−4/°C at 1121.9 °C, and ended at 1200 °C. Cesium volatilization appeared only when temperature was above 1250 °C. Therefore, densified pollucite ceramic can be prepared from Cs-based geopolymer using synthetic metakaolin without cesium volatilization. Abnormal thermal shrinkage of pollucite ceramic was observed at temperature range from 25.3 to 54.6 °C because of pseudo-cubic to cubic phase transition, and its average CTE was 2.8 × 10−6/°C from 25 to 1200 °C.








Explore related subjects
Discover the latest articles and news from researchers in related subjects, suggested using machine learning.References
Gallagher SA, McCarthy GJ (1981) J Inorg Nucl Chem 43(8):1773
Hess NJ, Espinosa FJ, Conradson SD, Weber WJ (2000) J Nucl Mater 281(1):22
Xu HW, Navrotsky A, Balmer ML, Su YL (2002) J Am Ceram Soc 85(5):1235
Kobayashi H, Yanase I, Mitamura T (1997) J Am Ceram Soc 80(8):2161
Yanase I, Konakawa J, Kobayashi H (2006) J Am Ceram Soc 89(1):184
Yanase I, Tamai S, Kobayashi H (2003) J Am Ceram Soc 86(8):1360
Yanase I, Tamai S, Kobayashi H (2003) J Ceram Soc Japan 111(8):533
Yanase I, Kobayashi H, Mitamura T (1999) J Therm Anal Calorim 57:695
Bedard RL, Broach RW, Flanigen EM (1992) Mater Res Soc Symp Proc 271:581
Hogana MA, Risbud SH (1991) J Mater Res 6(2):217
Palmer DC, Dove MT, Ibberson RM, Powell AM (1997) Am Mineral 82:16
Davidovits J (1991) J Therm Anal Calorim 37(8):1633
Davidovits J (2002) Geopolymer conference. The University of Melbourne, Melbourne
Barbosa VFF, MacKenzie KJD (2003) Mater Lett 57(9–10):1477
Barbosa VFF, MacKenzie KJD (2003) Mater Res Bull 38(2):319
Bell JL, Driemeyer PE, Kriven WM (2009) J Am Ceram Soc 92(3):607
Duxson P, Lukey GC, van Deventer JSJ (2007) J Mater Sci 42(9):3044. doi:10.1007/s10853-006-0535-4
Duxson P, Lukey GC, van Deventer JSJ (2006) J Non Cryst Solids 352:5541
Bell JL, Driemeyer PE, Kriven WM (2009) J Am Ceram Soc 92(1):1
Lee SJ, Kriven WM (2005) Mater Struct 38(275):87
Nguyen MH, Lee SJ, Kriven WM (1999) J Mater Res 14(8):3417
Vepa SSVSS, Umarji AM (1993) J Am Ceram Soc 76(4):1873
Bansal NP (1998) J Mater Sci 33:4711. doi:10.1023/A:1004484903436
Acknowledgements
This study was supported by program for new century excellent talents in university (NCET, Grant No. NCET-04-0327), program of excellent team in Harbin Institute of Technology and the science fund for distinguished young scholars of Heilongjiang Province. The authors express their gratitude to Dr. Rao Jiancun in University of Groningen for the discussion on the pollucite phase transition, and we are also very grateful to Professor Liu Kedong in the Department of English Language at Harbin Institute of Technology for his assistance in proofreading.
Author information
Authors and Affiliations
Corresponding author
Rights and permissions
About this article
Cite this article
He, P., Jia, D. Low-temperature sintered pollucite ceramic from geopolymer precursor using synthetic metakaolin. J Mater Sci 48, 1812–1818 (2013). https://doi.org/10.1007/s10853-012-6944-7
Received:
Accepted:
Published:
Issue Date:
DOI: https://doi.org/10.1007/s10853-012-6944-7