Abstract
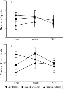
This paper studied edge effects resulting from logging to reforestation on the distribution of ground-dwelling beetles (Coleoptera) across ecotones between natural oak forests and mature pine plantations established after harvesting of natural forests. Using pitfall traps, ground-dwelling beetles were investigated at three replicated plots (ecotones) with three sampling positions of slope (lower, middle and upper) for each plot. Rarefaction estimates of species richness indicated that traps on natural forests and transition zones had more species than mature plantations did, and traps on the middle slope had more species than on the lower and upper slopes did. Results of an ANOVA analysis, which used forest type and slope position as factors and number of species and individuals as the response variables, showed a significant effect of forest type and slope position, and a significant interaction between forest type and slope position. Multivariate analyses (DCA and CCA) showed that beetles of transition zones were more similar to those of natural forests than to those of mature plantations, and that some environmental characteristics, i.e., proportion of broad-leaved trees, canopy cover and elevation (slope position), significantly affected species abundances. We conclude that the logging of natural oak forests and the reforestation of pine plantations can result in subtle variation in the composition and distribution of beetle assemblages at a local scale and such variation should be taken into account when conservation issues are involved.




Similar content being viewed by others
Explore related subjects
Discover the latest articles and news from researchers in related subjects, suggested using machine learning.References
Baars MA (1979) Catches in pitfall traps in relation to mean densities of carabid beetles. Oecologia 41:25–46
Baker SC, Barmuta LA, McQuillan PB, Richardson AMM (2007) Estimating edge effects on ground-dwelling beetles at clearfelled non-riparian stand edges in Tasmanian wet eucalypt forest. For Ecol Manage 239:92–101
Barbosa O, Marquet PA (2002) Effects of forest fragmentation on the beetle assemblage at the relict forest of Fray Jorge, Chile. Oecologia 132:296–306
Bjornstad ON, Ims RA, Lambin X (2000) Spatial population dynamics: analyzing patterns and processes of population synchrony. Trends Ecol Evol 14:427–432
Butterfield J, Luff ML, Baines M, Eyre MD (1995) Carabid beetle communities as indicators of conservation potential in upland forests. For Ecol Manage 79:63–77
Chen L-Z, Huang J-H (1997) The study on structure and function of forest ecosystem in warm temperate zone. Beijing Science Press, Beijing (In Chinese with English abstract)
Colwell RK (2006) Estimates: statistical estimation of species richness and shared species from samples. Available via DIALOG. http://www.purl.oclc.org/estimates
Fahy O, Gormally M (1998) A comparison of plant and carabid beetle communities in an Irish oak woodland with a nearby conifer plantation and clearfelled site. For Ecol Manage 110:263–273
Finch O-D (2005) Evaluation of mature conifer plantations as secondary habitat for epigeic forest arthropods (Coleoptera: Carabidae; Araneae). For Ecol Manage 204:21–34
Gotelli NJ, Colwell RK (2001) Quantifying biodiversity: procedures and pitfalls in the measurement and comparison of species richness. Ecol Lett 4:379–391
Hanski I (1999) Metapopulation ecology. Oxford University Press, Oxford
Heliölä J, Koivula M, Niemelä J (2001) Distribution of carabid beetles (Celeoptera, Carabidae) across a boreal forest-clearcut ecotone. Conserv Biol 15:370–377
Holland MM, Risser PG, Naiman RJ (1991) Ecotones. The role of landscape boundaries in the management and restoration of changing environments. Chapman and Hall, London
Johansson T, Hjältén J, Gibb H, Hilszczanski J, Stenlid J, Ball JP, Alinvi O, Danell K (2007) Variable response of different functional groups of saproxylic beetles to substrate manipulation and forest management: implications for conservation strategies. For Ecol Manage 242:496–510
Jongman RHG, ter Braak CJF, van Tongeren OFR (1995) Data analysis in community and landscape ecology. Cambridge University Press, Cambridge
Kareiva P, Wennergren U (1995) Connecting landscape patterns to ecosystem and population processes. Nature 373:299–302
Koivula M, Niemelä J (2003) Gap felling as a forest harvesting method in boreal forests: responses of carabid beetles (Coleoptera, Carabidae). Ecography 26:179–187
Koivula M, Kukkonen J, Niemelä J (2002) Boreal carabid-beetle (Coleoptera Carabidae) assemblages along the clear-cut originated succession gradient. Biodivers Conserv 11:1269–1288
Kotze DJ, Samways MJ (1999) Invertebrate conservation at the interface between the grassland matrix and natural Afromontane forest fragments. Biodivers Conserv 8:1339–1363
Li Q, Ma K (2003) Factors affecting establishment of Quercus liaotungensis Koidz. under mature mixed oak forest overstory and in the shrubland. For Ecol Manage 176:133–146
Li H, Zhang Z (2003) Effect on rodents on acorn dispersal and survival of the liaodong oak (Quercus liaotungensis Koidz.). For Ecol Manage 176:387–396
Lövei GL, Magura T, Tóthmérész B, Ködöböcz V (2006) The influence of matrix and edges on species richness patterns of ground beetles (Coleoptera: Carabidae) in habitat islands. Global Ecol Biogeogr 15:283–289
Magura T (2002) Carabids and forest edge: spatial pattern and edge effect. For Ecol Manage 157:23–37
Magura T, Tóthmérész B, Zs Bordán (2000) Effects of nature management practice on carabid assemblages (Coleoptera: Carabidae) in a non-native plantation. Biol Conserv 93:95–102
Magura T, Tóthmérész B, Molnár T (2001) Forest edge and diversity: carabids along forest-grassland transects. Biodivers Conserv 10:287–300
Magura T, Tóthmérész B, Elek Z (2003) Diversity and composition of carabids during a forestry cycle. Biodivers Conserv 12:73–85
Máthé I (2006) Forest edge and carabid diversity in a Carpathian beech forest. Comm Ecol 7:91–97
Matthysen E (2002) Boundary effects on dispersal between habitat patches by forest birds (Parus major, P. caeruleus). Landscape Ecol 17:509–515
Molnár T, Magura T, Tóthmérész B, Elek Z (2001) Ground beetles (Carabidae) and edge effect in oak-hornbeam forest-grassland transects. Eur J Soil Biol 37:297–300
Murcia C (1995) Edge effects in fragmented forests: implications for conservation. Trends Ecol Evol 10:58–62
Niemelä J (2001) Carabid beetles (Coleoptera: Carabidae) and habitat fragmentation: a review. Eur J Entomol 98:127–132
Niemelä J, Langor D, Spence JR (1993) Effects of clear-cut harvesting on boreal ground-beetle assemblages (Coleoptera: Carabidae) in western Canada. Conserv Biol 7:551–561
Ohsawa M (2004) Species richness of Cerambycidae in larch plantations and natural broad-leaved forests of the central mountainous region of Japan. For Ecol Manage 189:375–385
Phillips ID, Cobb TP, Spence JR, Brigham RM (2006) Salvage logging, edge effects, and carabid beetles: connections to conservation and sustainable forest management. Environ Entomol 35:950–957
Rodeghiero M, Battisti A (2000) Inter-tree distribution of the spruce web-spinning sawfly, Cephalcia abietis, at endemic density. Agr For Entomol 2:291–296
Romero GQ, Vasconcellos-Neto J (2005) The effects of plant structure on the spatial and microspatial distribution of a bromeliad-living jumping spider (Salticidae). J Anim Ecol 74:12–21
Sokal RR, Rohlf FJ (1981) Biometry. Freeman, New York
Spence JR, Niemelä J (1994) Sampling carabid assemblages with pitfall traps: the madness and the method. Can Entomol 126:881–894
SPSS Inc (1997) SPSS base 7.5 for windows user’s guide. SPSS Inc, Chicago
Taboada A, Kotze DJ, Salgado JM (2004) Carabid beetle occurrence at the edges of oak and beech forests in NW Spain. Eur J Entomol 101:555–563
ter Braak CJF (1986) Canonical correspondence analysis: a new eigenvector technique for multivariate direct gradient analysis. Ecology 67:1167–1179
ter Braak CJF, Šmilauer P (1998) CANOCO reference manual and user’s guide to CANOCO for windows: software for canonical community ordination (version 4). Microcomputer Power, Ithaca
Vanbergen AJ, Woodcock BA, Watt AD, Niemelä J (2005) Effect of land-use heterogeneity on carabid communities at the landscape scale. Ecography 28:3–16
Wang W, Ma K, Liu C (1999) Removal and predation of Quercus liaotungensis acorns by animals. Ecol Res 14:225–232
Yu X-D, Luo T-H, Zhou H-Z (2002) Composition and seasonal dynamics of litter-layer beetle community in the Dongling Mountain region, North China. Acta Entornologica Sinica 45:785–793
Yu X-D, Zhou H-Z, Luo T-H (2003) Spatial and temporal variations in insect-infested acorn fall in a Quercus liaotungensis forest in North China. Ecol Res 18:155–164
Yu X-D, Luo T-H, Zhou H-Z (2004) Carabus (Coleoptera: Carabidae) assemblages of native forests and non-native plantations in Northern China. Entomol Fenn 15:129–137
Yu X-D, Luo T-H, Zhou H-Z (2006a) Effects of carabid beetles among regenerating and natural forest types in Southwestern China. For Ecol Manage 231:169–177
Yu X-D, Luo T-H, Yang J, Zhou H-Z (2006b) Distribution of ground-dwelling beetles (Coleoptera) across a forest-clearcut ecotone in Wolong Natural Reserve, Southwestern China. Ins Sci 13:127–135
Yu X-D, Luo T-H, Zhou H-Z (2006c) Habitat associations and seasonal activity of carabid beetles (Coleoptera: Carabidae) in Dongling Mountain, North China. Entomol Fenn 17:174–183
Yu X-D, Luo T-H, Zhou H-Z, Yang J (2007) Distribution of carabid beetles (Coleoptera: Carabidae) across a forest-grassland ecotone in Southwestern China. Environ Entomol 36:348–355
Yu X-D, Luo T-H, Zhou H-Z (2008) Distribution of carabid beetles among 40-year-old regenerating plantations and 100-year-old naturally regenerated forests in Southwestern China. For Ecol Manage 255:2617–2625
Yu X-D, Luo T-H, Zhou H-Z (2009) Distribution of carabid beetles (Coleoptera: Carabidae) across ecotones between regenerating and mature forests in Southwestern China. Environ Entomol 38:1053–1060
Acknowledgments
We are indebted to Dr. Hong-Bin Liang (Institute of Zoology, Chinese Academy of Sciences), who assisted us with species identification. We also thank Dr. Ke-Ping Ma, Xian-Ming Gao, Wei Wang, Qing-Kang Li and Ms. Wen-Jie Yan from Institute of Botany, CAS, for helping with the field studies. We are grateful to Dr. Tim Shreeve (School of Life Sciences, Oxford Brookes University) and two anonymous referees who made helpful comments on the earlier versions of the manuscript. This study was supported in part by CAS Innovation Program (KSCX2-YW-Z-0910), National Basic Research Program of China (973 Program-2007CB411605), The National Key Technology R&D Program (2008BAC39B02), programs of Natural Science Foundation of China (NSFC-30700074), and a grant from the Key Laboratory of Zoological Systematics and Evolution of CAS (No. O529YX5105).
Author information
Authors and Affiliations
Corresponding author
Appendix 1
Appendix 1
See Table 4.
Rights and permissions
About this article
Cite this article
Yu, XD., Luo, TH. & Zhou, HZ. Distribution of ground-dwelling beetle assemblages (Coleoptera) across ecotones between natural oak forests and mature pine plantations in North China. J Insect Conserv 14, 617–626 (2010). https://doi.org/10.1007/s10841-010-9290-6
Received:
Accepted:
Published:
Issue Date:
DOI: https://doi.org/10.1007/s10841-010-9290-6


