Skip to main content

A validated prediction score for having two or more embryos for cryopreservation following freeze-all IVF cycles: an analysis utilizing SART CORS database

Abstract

Purpose

To develop and validate a prediction score for having 2 or more embryos cryopreserved following an IVF cycle without a fresh transfer such that an embryo selection method may be applicable. We also developed a counseling tool on the probability of not having any embryos following an IVF cycle without a fresh transfer.

Methods

We split the data into a development set and a validation set by region within the USA using a coin flip approach and subsequently performed a logistic regression model to identify factors most predictive of cryopreservation of 2 or more embryos in the development set. This model was validated in the validation set. Subsequently, a clinical prediction score was derived using the model coefficients and the predictive accuracy measured with the concordance (c) statistic.

Results

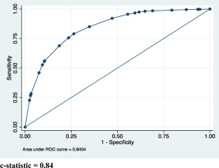
A total of 31,537 potential freeze-all cycles were reported to the Society for Assisted Reproductive Technology in 2014. Of these, 57.87% produced and cryopreserved two or more embryos. We identified that age, AMH, and the number of eggs retrieved were the most significant predictors of having 2 or more embryos cryopreserved with a validated c-statistic of 0.84 (95% CI: 0.83 to 0.85). A clinical prediction score was derived from the model. 28.9% of freeze-all cycles had no embryos created from the IVF cycle despite a cycle start and an egg retrieval. The number of eggs retrieved was the most significant predictor of having no embryos available for a transfer, with a c-statistic of 0.80 when modeled as the only predictor variable.

Conclusion

We derived counseling tools with acceptable discrimination for use in clinical practice (c-statistics > 0.7). Our study further suggests that the number of eggs retrieved from an IVF cycle is most predictive of having 2 or more embryos cryopreserved and not having any embryos after an IVF cycle, suggesting that clinicians should strive to optimize oocyte yield especially in poor prognosis patients. The probability of having two more embryos cryopreserved in a freeze-all IVF cycle such that an embryo selection method is applicable can be predicted with acceptable precision prior to the IVF cycle and excellent precision following egg retrieval using the prediction score.

This is a preview of subscription content, access via your institution.

Fig. 1
Fig. 2
Fig. 3
Fig. 4

References

  1. Liu Y, et al. Time-lapse videography for embryo selection/de-selection: a bright future or fading star? Hum Fertil (Camb). 2019:1–7.

  2. Alegre L, del Gallego R, Arrones S, Hernández P, Muñoz M, Meseguer M. Novel noninvasive embryo selection algorithm combining time-lapse morphokinetics and oxidative status of the spent embryo culture medium. Fertil Steril. 2019;111(5):918–27 e3.

    CAS  Article  Google Scholar 

  3. Gorodeckaja J, Neumann S, McCollin A, Ottolini CS, Wang J, Ahuja K, et al. High implantation and clinical pregnancy rates with single vitrified-warmed blastocyst transfer and optional aneuploidy testing for all patients. Hum Fertil (Camb). 2019:1–12.

  4. Maxwell SM, Grifo JA. Should every embryo undergo preimplantation genetic testing for aneuploidy? A review of the modern approach to in vitro fertilization. Best Pract Res Clin Obstet Gynaecol. 2018;53:38–47.

    Article  Google Scholar 

  5. Neal SA, Morin SJ, Franasiak JM, Goodman LR, Juneau CR, Forman EJ, et al. Preimplantation genetic testing for aneuploidy is cost-effective, shortens treatment time, and reduces the risk of failed embryo transfer and clinical miscarriage. Fertil Steril. 2018;110(5):896–904.

    Article  Google Scholar 

  6. Lee HL, McCulloh DH, Hodes-Wertz B, Adler A, McCaffrey C, Grifo JA. In vitro fertilization with preimplantation genetic screening improves implantation and live birth in women age 40 through 43. J Assist Reprod Genet. 2015;32(3):435–44.

    Article  Google Scholar 

  7. Munne S, et al. Preimplantation genetic testing for aneuploidy versus morphology as selection criteria for single frozen-thawed embryo transfer in good-prognosis patients: a multicenter randomized clinical trial. Fertil Steril. 2019;112(6):1071–9 e7.

    CAS  Article  Google Scholar 

  8. Ethics Committee of the American Society for Reproductive Medicine, Electronic address, a.a.o. and M. Ethics Committee of the American Society for Reproductive. Fertility treatment when the prognosis is very poor or futile: an Ethics Committee opinion. Fertil Steril. 2019;111(4):659–63.

    Article  Google Scholar 

  9. Dieamant FC, Petersen CG, Mauri AL, Comar V, Mattila M, Vagnini LD, et al. Fresh embryos versus freeze-all embryos-transfer strategies: nuances of a meta-analysis. JBRA Assist Reprod. 2017;21(3):260–72.

    PubMed  PubMed Central  Google Scholar 

  10. Roque M, Haahr T, Geber S, Esteves SC, Humaidan P. Fresh versus elective frozen embryo transfer in IVF/ICSI cycles: a systematic review and meta-analysis of reproductive outcomes. Hum Reprod Update. 2019;25(1):2–14.

    Article  Google Scholar 

  11. Maheshwari A, et al. Obstetric and perinatal outcomes in singleton pregnancies resulting from the transfer of frozen thawed versus fresh embryos generated through in vitro fertilization treatment: a systematic review and meta-analysis. Fertil Steril. 2012;98(2):368–77 e1–9.

    Article  Google Scholar 

  12. Chen ZJ, Shi Y, Sun Y, Zhang B, Liang X, Cao Y, et al. Fresh versus frozen embryos for infertility in the polycystic ovary syndrome. N Engl J Med. 2016;375(6):523–33.

    Article  Google Scholar 

  13. Maheshwari A, Raja EA, Bhattacharya S. Obstetric and perinatal outcomes after either fresh or thawed frozen embryo transfer: an analysis of 112,432 singleton pregnancies recorded in the Human Fertilisation and Embryology Authority anonymized dataset. Fertil Steril. 2016;106(7):1703–8.

    Article  Google Scholar 

  14. Vuong LN, Dang VQ, Ho TM, Huynh BG, Ha DT, Pham TD, et al. IVF transfer of fresh or frozen embryos in women without polycystic ovaries. N Engl J Med. 2018;378(2):137–47.

    Article  Google Scholar 

  15. Shi Y, Sun Y, Hao C, Zhang H, Wei D, Zhang Y, et al. Transfer of fresh versus frozen embryos in ovulatory women. N Engl J Med. 2018;378(2):126–36.

    Article  Google Scholar 

  16. Acharya KS, Acharya CR, Bishop K, Harris B, Raburn D, Muasher SJ. Freezing of all embryos in in vitro fertilization is beneficial in high responders, but not intermediate and low responders: an analysis of 82,935 cycles from the Society for Assisted Reproductive Technology registry. Fertil Steril. 2018;110(5):880–7.

    Article  Google Scholar 

  17. Scott RT Jr, Upham KM, Forman EJ, Hong KH, Scott KL, Taylor D, et al. Blastocyst biopsy with comprehensive chromosome screening and fresh embryo transfer significantly increases in vitro fertilization implantation and delivery rates: a randomized controlled trial. Fertil Steril. 2013;100(3):697–703.

    Article  Google Scholar 

  18. Ozgur K, Berkkanoglu M, Bulut H, Yoruk GDA, Candurmaz NN, Coetzee K. Single best euploid versus single best unknown-ploidy blastocyst frozen embryo transfers: a randomized controlled trial. J Assist Reprod Genet. 2019;36(4):629–36.

    Article  Google Scholar 

  19. Ibrahim Y, Stoddard G, Johnstone E. A clinical counseling tool predicting supernumerary embryos after a fresh IVF cycle. J Assist Reprod Genet. 2020;37:1137–45.

    Article  Google Scholar 

  20. Hosmer DW, Lemeshow S. Applied logistic regression. Second edition. ed. Wiley series in probability and statistics Texts and references section. 2000, New York: Wiley xii, 373 pages.

  21. Harrell FE. Regression modeling strategies : with applications to linear models, logistic regression, and survival analysis

  22. Sullivan LM, Massaro JM, D’Agostino RB Sr. Presentation of multivariate data for clinical use: the Framingham Study risk score functions. Stat Med. 2004;23(10):1631–60.

    Article  Google Scholar 

  23. Franasiak JM, Forman EJ, Hong KH, Werner MD, Upham KM, Treff NR, et al. The nature of aneuploidy with increasing age of the female partner: a review of 15,169 consecutive trophectoderm biopsies evaluated with comprehensive chromosomal screening. Fertil Steril. 2014;101(3):656–63 e1.

    Article  Google Scholar 

  24. Ozgur K, Bulut H, Berkkanoglu M, Donmez L, Coetzee K. Prediction of live birth and cumulative live birth rates in freeze-all-IVF treatment of a general population. J Assist Reprod Genet. 2019;36(4):685–96.

    Article  Google Scholar 

  25. Leijdekkers JA, Eijkemans MJC, van Tilborg TC, Oudshoorn SC, McLernon DJ, Bhattacharya S, et al. Predicting the cumulative chance of live birth over multiple complete cycles of in vitro fertilization: an external validation study. Hum Reprod. 2018;33(9):1684–95.

    CAS  Article  Google Scholar 

  26. McLernon DJ, et al. Predicting the chances of a live birth after one or more complete cycles of in vitro fertilisation: population based study of linked cycle data from 113 873 women. BMJ. 2016;355:i5735.

    Article  Google Scholar 

  27. Law YJ, Zhang N, Venetis CA, Chambers GM, Harris K. The number of oocytes associated with maximum cumulative live birth rates per aspiration depends on female age: a population study of 221 221 treatment cycles. Hum Reprod. 2019;34(9):1778–87.

    Article  Google Scholar 

  28. Drakopoulos P, Blockeel C, Stoop D, Camus M, de Vos M, Tournaye H, et al. Conventional ovarian stimulation and single embryo transfer for IVF/ICSI. How many oocytes do we need to maximize cumulative live birth rates after utilization of all fresh and frozen embryos? Hum Reprod. 2016;31(2):370–6.

    PubMed  Google Scholar 

  29. Cai Q, Wan F, Appleby D, Hu L, Zhang H. Quality of embryos transferred and progesterone levels are the most important predictors of live birth after fresh embryo transfer: a retrospective cohort study. J Assist Reprod Genet. 2014;31(2):185–94.

    Article  Google Scholar 

  30. Blakemore JK, Kofinas JD, McCulloh DH, Grifo J. Serum progesterone trend after day of transfer predicts live birth in fresh IVF cycles. J Assist Reprod Genet. 2017;34(3):339–43.

    Article  Google Scholar 

  31. Simeonov M, Sapir O, Lande Y, Ben-Haroush A, Oron G, Shlush E, et al. The entire range of trigger-day endometrial thickness in fresh IVF cycles is independently correlated with live birth rate. Reprod BioMed Online. 2020;41(2):239–47.

    Article  Google Scholar 

  32. Sunderam S, Kissin DM, Crawford SB, Folger SG, Boulet SL, Warner L, et al. Assisted Reproductive Technology Surveillance-United States, 2015. MMWR Surveill Summ. 2018;67(3):1–28.

    Article  Google Scholar 

Download references

Acknowledgments

SART wishes to thank all of its members for providing clinical information to the SART CORS database for use by patients and researchers. Without the efforts of our members, this research would not have been possible. This investigation was supported by the University of Utah Population Health Research (PHR) Foundation, with funding in part from the National Center for Research Resources and the National Center for Advancing Translational Sciences, National Institutes of Health, through Grant UL1TR002538 (formerly 5UL1TR001067-05, 8UL1TR000105 and UL1RR025764).

Author information

Affiliations

Authors

Corresponding author

Correspondence to Yetunde Ibrahim.

Additional information

Publisher’s note

Springer Nature remains neutral with regard to jurisdictional claims in published maps and institutional affiliations.

Supplementary information

ESM 1

(DOCX 19 kb).

Rights and permissions

Reprints and Permissions

About this article

Verify currency and authenticity via CrossMark

Cite this article

Ibrahim, Y., Stoddard, G.J. & Johnstone, E. A validated prediction score for having two or more embryos for cryopreservation following freeze-all IVF cycles: an analysis utilizing SART CORS database. J Assist Reprod Genet 38, 397–405 (2021). https://doi.org/10.1007/s10815-020-02018-8

Download citation

  • Received:

  • Accepted:

  • Published:

  • Issue Date:

  • DOI: https://doi.org/10.1007/s10815-020-02018-8

Keywords

  • Freeze-all cycle
  • Prediction model
  • Counseling tool
  • Preimplantation genetic testing
  • Embryo selection