Skip to main content

Association of creatin kinase B and peroxiredoxin 2 expression with age and embryo quality in cumulus cells

Abstract

Purpose

The purpose of this study was to identify age-related oocyte or embryo markers suitable for non-invasive analysis, as women over 38 years of age experience diminished pregnancy and ovulation rates.

Methods

We used real-time quantitative PCR to examine the gene expression profiles in cumulus cells acquired from older and younger age groups. We selected 11 genes involved in three functions that directly affect cellular aging: cell cycle control, apoptosis, and metabolism.

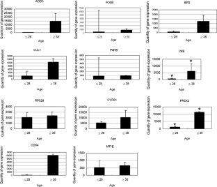
Results

CKB and PRDX2 were up-regulated in women older than 38 years, and the expression of these genes in cumulus cells was associated with embryo quality. In good-quality embryos, CKB expression was higher in the cumulus cells acquired from both older and younger age groups than in poor-quality embryos.

Conclusions

These potential relationships among cumulus cell gene expression, oocyte quality, and age may expand our understanding of oogenesis and embryo development. CKB and PRDX2 may serve as biomarkers or therapeutic targets for the developmental potential of oocytes.

This is a preview of subscription content, access via your institution.

Fig. 1
Fig. 2
Fig. 3
Fig. 4

References

  1. Borini A, Lagalla C, Cattoli M, Sereni E, Sciajno R, Flamigni C, et al. Predictive factors for embryo implantation potential. Reprod Biomed Online. 2005;10:653–68.

    Article  PubMed  Google Scholar 

  2. Gerris JM. Single embryo transfer and IVF/ICSI outcome: a balanced appraisal. Hum Reprod Update. 2005;11:105–21.

    Article  PubMed  Google Scholar 

  3. van Montfoort AP, Geraedts JP, Dumoulin JC, Stassen AP, Evers JL, Ayoubi TA. Differential gene expression in cumulus cells as a prognostic indicator of embryo viability: a microarray analysis. Mol Hhum Reprod. 2008;14:157–68.

    Article  Google Scholar 

  4. Eppig JJ. The relationship between cumulus cell-oocyte coupling, oocyte meiotic maturation, and cumulus expansion. Dev Biol. 1982;89:268–72.

    CAS  Article  PubMed  Google Scholar 

  5. Eppig JJ. Intercommunication between mammalian oocytes and companion somatic cells. Bioessays. 1991;13:569–74.

    CAS  Article  PubMed  Google Scholar 

  6. Tanghe S, Van Soom A, Nauwynck H, Coryn M, de Kruif A. Functions of the cumulus oophorus during oocyte maturation, ovulation, and fertilization. Mol Reprod Dev. 2002;61:414–24.

    CAS  Article  PubMed  Google Scholar 

  7. Thomas FH, Vanderhyden BC. Oocyte-granulosa cell interactions during mouse follicular development: Regulation of kit ligand expression and its role in oocyte growth. Reprod Biol Endocrinol. 2006;4:19–26.

    Article  PubMed  Google Scholar 

  8. Cecconi S, Tatone C, Buccione R, Mangia F, Colonna R. Granulosa cell-oocyte interactions: the phosphorylation of specific proteins in mouse oocytes at the germinal vesicle stage is dependent upon the differentiative state of companion somatic cells. J Exp Zool. 1991;258:249–54.

    CAS  Article  PubMed  Google Scholar 

  9. Eppig JJ, Chesnel F, Hirao Y, O’Brien MJ, Pendola FL, Watanabe S, et al. Oocyte control of granulosa cell development: how and why. Hum Reprod. 1997;12:127–32.

    CAS  PubMed  Google Scholar 

  10. Chang H, Brown CW, Matzuk MM. Genetic analysis of the mammalian transforming growth factor-beta superfamily. Endocr Rev. 2002;23:787–823.

    CAS  Article  PubMed  Google Scholar 

  11. Vanderhyden BC, Macdonald EA, Nagyova E, Dhawan A. Evaluation of members of the TGF beta superfamily as candidates for the oocyte factors that control mouse cumulus expansion and steroidogenesis. Reprod. 2003;61:55–70.

    CAS  Google Scholar 

  12. Faddy MJ, Gosden RG, Gougeon A, Richardson SJ, Nelson JF. Accelerated disappearance of ovarian follicles in mid-life: implications for forecasting menopause. Hum Reprod. 1992;7:1342–6.

    CAS  PubMed  Google Scholar 

  13. te Velde E, Pearson P. The variability of female reproductive aging. Hum Reprod Update. 2002;8:141–54.

    Article  Google Scholar 

  14. Janny L, Menezo YJ. Maternal age effect on early human embryonic development and blastocyst formation. Mol Reprod Devel. 1996;45:31–7.

    CAS  Article  PubMed  Google Scholar 

  15. Navot D, Bergh PA, Williams MA, Garrisi GJ, Guzman I, Sandler B, et al. Poor oocyte quality rather than implantation failure as a cause of age-related decline in female fertility. Lancet. 1991;337:1375–7.

    CAS  Article  PubMed  Google Scholar 

  16. Bassil S, Wyns C, Toussaint-Demylle D, Abdelnour W, Donnez J. Predictive factors of multiple pregnancy in in vitro fertilization. J Reprode Med. 1997;42:761–6.

    CAS  Google Scholar 

  17. Lin DP, Huang CC, Wu HM, Cheng TC, Chen CI, Lee MS. Comparison of mitochondrial DNA contents in human embryos with good or poor morphology at the 8-cell stage. Fertil Steril. 2004;81:73–9.

    CAS  Article  PubMed  Google Scholar 

  18. Zhang X, Jafari N, Barnes RB, Confino E, Milad M, Kazer RR. Studies of gene expression in human cumulus cells indicate pentraxin 3 as a possible marker for oocyte quality. Fertil Steril. 2005;83:1169–79.

    CAS  Article  PubMed  Google Scholar 

  19. Hamel M, Dufort I, Robert C, Gravel C, Leveille MC, Leader A, et al. Identification of differentially expressed markers in human follicular cells associated with competent oocytes. Hum Reprod. 2008;23:1118–27.

    CAS  Article  PubMed  Google Scholar 

  20. McKenzie LJ, Pangas SA, Carson SA, Kovanci E, Cisneros P, Buster JE, et al. Human cumulus granulosa cell gene expression: a predictor of fertilization and embryo selection in women undergoing IVF. Hum Reprod. 2004;19:2869–74.

    CAS  Article  PubMed  Google Scholar 

  21. Assou S, Haouzi D, Mahmoud K, Aouacheria A, Guillemin Y, Pantesco V, et al. A non-invasive test for assessing embryo potential by gene expression profiles of human cumulus cells: a proof of concept study. Mol Hum Reprod. 2008;14:711–9.

    CAS  Article  PubMed  Google Scholar 

  22. Sutton ML, Gilchrist RB, Thompson JG. Effects of in-vivo and in-vitro environments on the metabolism of the cumulus-oocyte complex and its influence on oocyte developmental capacity. Hum Reprod Update. 2003;9:35–48.

    CAS  Article  PubMed  Google Scholar 

  23. Rolf C, Behre HM, Cooper TG, Koppers B, Nieschlag E. Creatine kinase activity in human spermatozoa and seminal plasma lacks predictive value for male fertility in in vitro fertilization. Fertil Steril. 1998;69:727–34.

    CAS  Article  PubMed  Google Scholar 

  24. Yoshida S, Yashar BM, Hiriyanna S, Swaroop A. Microarray analysis of gene expression in the aging human retina. Invest Ophthalmol Vis Sci. 2002;4:2554–60.

    Google Scholar 

  25. Zarghami N, Yu H, Diamandis EP, Sutherland DJ. Quantification of creatine kinase BB isoenzyme in tumor cytosols and serum with an ultrasensitive time-resolved immunofluorometric technique. Clin Biochem. 1995;28:243–53.

    CAS  Article  PubMed  Google Scholar 

  26. Huddleston HG, Wong KK, Welch WR, Berkowitz RS, Mok SC. Clinical applications of microarray technology: creatine kinase B is an up-regulated gene in epithelial ovarian cancer and shows promise as a serum marker. Gyneol Oncol. 2005;96:77–83.

    CAS  Article  Google Scholar 

  27. Wu-Peng XS, Pugliese TE, Dickerman HW, Pentecost BT. Delineation of sites mediating estrogen regulation of the rat creatine kinase B gene. Mol Endocri. 1992;6:231–40.

    CAS  Article  Google Scholar 

  28. Zarghami N, Giai M, Yu H, Roagna R, Ponzone R, Katsaros D, et al. Creatine kinase BB isoenzyme levels in tumour cytosols and survival of breast cancer patients. Br J Cancer. 1996;73:386–90.

    CAS  PubMed  Google Scholar 

  29. Bergen HT, Pentecost BT, Dickerman HW, Pfaff DW. In situ hybridization for creatine kinase-B messenger RNA in rat uterus and brain. Mol Cellular Endocrinol. 1993;92:111–9.

    CAS  Article  Google Scholar 

  30. Welt CK, Jimenez Y, Sluss PM, Smith PC, Hall JE. Control of estradiol secretion in reproductive ageing. Hum Reprod. 2006;21:2189–93.

    CAS  Article  PubMed  Google Scholar 

  31. Iyengar MR, Iyengar CW, Chen HY, Brinster RL, Bornslaeger E, Schultz RM. Expression of creatine kinase isoenzyme during oogenesis and embryogenesis in the mouse. Dev Biol. 1983;96:263–8.

    CAS  Article  PubMed  Google Scholar 

  32. Chorfi Y, Lanevschi A, Dupras R, Girard V, Tremblay A. Serum biochemical parameters and embryo production during superovulatory treatment in dairy cattle. Res Vet Sci. 2007;83:318–21.

    CAS  Article  PubMed  Google Scholar 

  33. de Bruin JP, Dorland M, Spek ER, Posthuma G, van Haaften M, Looman CW, et al. Age-related changes in the ultrastructure of the resting follicle pool in human ovaries. Biol Reprod. 2004;70:419–24.

    Article  PubMed  Google Scholar 

  34. Aitken RJ, Buckingham DW, Carreras A, Irvine DS. Superoxide dismutase in human sperm suspensions: relationship with cellular composition, oxidative stress, and sperm function. Free Radic Biol Med. 1996;21:495–504.

    CAS  Article  PubMed  Google Scholar 

  35. Wood ZA, Schröder E, Robin HJ, Poole LB. Structure, mechanism and regulation of peroxiredoxins. Trends Biochem Sci. 2003;28:32–40.

    CAS  Article  PubMed  Google Scholar 

  36. Kim H, Lee TH, Park ES, Suh JM, Park SJ, Chung HK, et al. Role of peroxiredoxins in regulating intracellular hydrogen peroxide and hydrogen peroxide induced apoptosis in thyroid cells. J Biol Chem. 2000;275:18266–70.

    CAS  Article  PubMed  Google Scholar 

  37. Leyens G, Knoops B, Donnay I. Expression of peroxiredoxins in bovine oocytes and embryos produced in vitro. Mol Reprod Dev. 2004;69:243–51.

    CAS  Article  PubMed  Google Scholar 

  38. Agarwal A, Gupta S, Sharma RK. Role of oxidative stress in female reproduction. Reprode Biol Endocrnol. 2005;14:28–49.

    Article  Google Scholar 

  39. Vega M, Carrasco I, Castillo T, Troncoso JL, Videla LA, Devoto L. Functional luteolysis in response to hydrogen peroxide in human luteal cells. J Endocrinol. 1995;147:177–82.

    CAS  Article  PubMed  Google Scholar 

  40. van Montfoort APA, Geraedts JPM, Dumoulin JCM, Stassen APM, Johannes LH, Evers JLH, et al. Differential gene expression in cumulus cells as a prognostic indicator of embryo viability: a microarray analysis. MHR-Basic Science of Reproductive Medicine. 2008;14:157–68.

    Google Scholar 

  41. Adriaenssens T, Wathlet S, Segers I, Verheyen G, De Vos A, Van der Elst J, et al. Cumulus cell gene expression is associated with oocyte developmental quality and influenced by patient and treatment characteristics. Hum Reprod. 2010;1:1–12.

    Google Scholar 

  42. Hall VJ, Compton D, Stojkovic P, Nesbitt M, Herbert M, Murdoch A, et al. Developmental competence of human in vitro aged oocytes as host cells for nuclear transfer. Hum Reprod. 2007;22:52–62.

    CAS  Article  PubMed  Google Scholar 

  43. Wang Q, Sun QY. Evaluation of oocyte quality: morphological, cellular and molecular predictors. Reprod Fertil Dev. 2007;19:1–12.

    Article  PubMed  Google Scholar 

  44. Lee KS, Joo BS, Na YJ, Yoon MS, Choi OH, Kim WW. Cumulus cells apoptosis as an indicator to predict the quality of oocytes and the outcome of IVF-ET. J Assist Reprod Genet. 2001;18:490–8.

    CAS  Article  PubMed  Google Scholar 

Download references

Acknowledgements

We thank Chung-I Chen, Chiu-Ping Chen, Hsiu-Hui Chen, and Ming-Chou Hung for their assistance in laboratory techniques. This study was supported by a research grant from National Science Council, Taiwan (NSC 93-2314-B -039-017 and NSC 97-2314-B-040-018) to Maw-Sheng Lee.

Financial support

This study was supported by a research grant from National Science Council, Taiwan (NSC 93-2314-B-039-017 and NSC 97-2314-B-040-018) to Maw-Sheng Lee.

Author information

Affiliations

Authors

Corresponding author

Correspondence to En-Hui Cheng.

Additional information

Capsule

In cumulus cell gene expression, Creatin kinase B and peroxiredoxin 2 may serve as biomarkers or therapeutic targets for the developmental potential of oocytes.

Where the work was done: Division of Infertility Clinic, Lee Women’s Hospital, Taichung, Taiwan.

Capsule In cumulus cell gene expression, Creatin kinase B and peroxiredoxin 2 may serve as biomarkers or therapeutic targets for the developmental potential of oocytes.

Rights and permissions

Reprints and Permissions

About this article

Cite this article

Lee, MS., Liu, CH., Lee, TH. et al. Association of creatin kinase B and peroxiredoxin 2 expression with age and embryo quality in cumulus cells. J Assist Reprod Genet 27, 629–639 (2010). https://doi.org/10.1007/s10815-010-9459-7

Download citation

  • Received:

  • Accepted:

  • Published:

  • Issue Date:

  • DOI: https://doi.org/10.1007/s10815-010-9459-7

Keywords

  • Aging
  • Creatin kinase B (CKB)
  • Cumulus cells
  • Embryo quality
  • Peroxiredoxin 2 (PRDX2)