Abstract
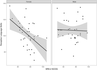
Prior studies of sex-based differences in autism spectrum disorder (ASD) have yielded mixed findings. This study examined ASD symptom severity and functional correlates in a sample of 34 high-functioning females with ASD (HFASD; M age = 8.93; M IQ = 104.64) compared to 34 matched males (M age = 8.96; M IQ = 104.44) using the Social Responsiveness Scale-Second Edition (SRS-2). Results identified non-significant and minimal differences (negligible-to-small) on the SRS-2 total, DSM-5 symptom subscale, and treatment subscale scores. Significant negative (moderate) correlations were found between the SRS-2 Social Cognition subscale and IQ and language scores and between the SRS-2 Social Motivation subscale and receptive language scores for females only; no significant correlations were found for males.

References
Achenbach, T. M. (1991). Manual for the Child Behavior Checklist/4–18 and 1991 profile. Burlington, VT: University of Vermont.
Achenbach, T. M. (2011). Commentary: Definitely more than measurement error: But how should we understand and deal with informant discrepancies? Journal of Child and Adolescent Psychology, 40(1), 80–86. https://doi.org/10.1080/15374416.2011.533416.
American Psychiatric Association. (2013). Diagnostic and statistical manual of mental disorders (5th edn.). Arlington: American Psychiatric.
Baird, G., Simonoff, E., Pickles, A., Chandler, S., Loucas, T., Meldrum, D., & Charman, T. (2006). Prevalence of disorders of the autism spectrum in a population cohort of children in South Thames: The Special Needs and Autism Project (SNAP). Lancet, 368, 210–215. https://doi.org/10.1016/S0140-6736(06)69041-7.
Carrow-Woolfolk, E. (1999). Comprehensive assessment of spoken language. Circle Pines: American Guidance Services.
Christensen, D. L., Baio, J., Braun, K. V. N., Bilder, D., Charles, J., Constantino, J. N., et al. (2016). Prevalence and characteristics of autism spectrum disorder among children aged 8 years—Autism and developmental disabilities monitoring network, 11 Sites, United States, 2012. MMWR, 65(No. SS-3), 1–23. https://doi.org/10.15585/mmwr.ss6503a1.
Constantino, J. N., & Gruber, C. P. (2005). Social Responsiveness Scale (SRS). Los Angeles: Western Psychological Services.
Constantino, J. N., & Gruber, C. P. (2012). Social Responsiveness Scale, Second Edition (SRS-2). Torrance: Western Psychological Services.
Haahr, M. (1998). List randomiser. Retrieved July 15, 2017, from http://www.random.org/lists/.
Holtmann, M., Bölte, S., & Poustka, F. (2007). Autism spectrum disorders: Sex differences in autistic behavior domains and coexisting psychopathology. Developmental Medicine & Child Neurology, 49, 361–366.
Hull, L., Mandy, W., & Petrides, K. V. (2017). Behavioural and cognitive sex/gender differences in autism spectrum condition and typically developing males and females. Autism, 21, 706–727. https://doi.org/10.1177/1362361316669087.
Hus, V., Bishop, S., Gotham, K., Huerta, M., & Lord, C. (2013). Factors influencing scores on the social responsiveness scale. Journal of Child Psychology and Psychiatry, 54, 216–224. https://doi.org/10.1111/j.1469-7610.2012.02589.x.
Kirkovski, M., Enticott, P. G., & Fitzgerald, P. B. (2013). A review of the role of female gender in autism spectrum disorders. Journal of Autism and Developmental Disorders, 43, 2584–2603. https://doi.org/10.1007/s10803-013-1811-1.
Kreiser, N. L., & White, S. W. (2014). ASD in females: Are we overstating the gender difference in diagnosis? Clinical Child and Family Psychology Review, 17, 67–84. https://doi.org/10.1007/s10567-013-0148-9.
Lord, C., Risi, S., Lambrecht, L., Cook, E. H. Jr., Leventhal, B. L., DiLavore, P. C., et al. (2000). The autism diagnostic observation schedule-generic: A standard measure of social and communication deficits associated with the spectrum of autism. Journal of Autism and Developmental Disorders, 30, 205–223.
Mandy, W., Chilvers, R., Chowdhury, U., Salter, G., Seigal, A., & Skuse, D. (2012). Sex differences in autism spectrum disorder: Evidence from a large sample of children and adolescents. Journal of Autism and Developmental Disorders, 42, 1304–1313. https://doi.org/10.1007/s10803-011-1356-0.
May, T., Cornish, K., & Rinehart, N. (2014). Does gender matter: A one year follow-up of autistic, attention and anxiety symptoms in high-functioning children with autism spectrum disorder. Journal of Autism and Developmental Disorders, 44, 1077–1086. https://doi.org/10.1007/s10803-013-1964-y.
Rutter, M., LeCouteur, A., & Lord, C. (2003). Autism diagnostic interview-revised. Los Angeles: Western Psychological Services.
Solomon, M., Miller, M., Taylor, S. L., Hinshaw, S. P., & Carter, C. S. (2012). Autism symptoms and internalizing psychopathology in girls and boys with autism spectrum disorders. Journal of Autism and Developmental Disorders, 42, 48–59. https://doi.org/10.1007/s10803-011-1215-z.
Tackett, J. L., Lilienfeld, S. O., Patrick, C. J., Johnson, S. L., Krueger, R. F., Miller, J. D., Oltmanns, T. F., & Shrout, P. E. (2017). It’s time to broaden the replicability conversation: Thoughts for and from clinical psychological science. Perspectives on Psychological Science, 12, 742–756.
Van Wijngaarden-Cremers, P. J., van Eeten, E., Groen, W. B., Van Deurzen, P. A., Oosterling, I. J., & Van der Gaag, R. J. (2014). Gender and age differences in the core triad of impairments in autism spectrum disorders: A systematic review and meta-analysis. Journal of Autism and Developmental Disorders, 44, 627–635. https://doi.org/10.1007/s10803-013-1913-9.
Wechsler, D. (2003). Wechsler Intelligence Scale for Children (4th edn.). San Antonio: The Psychological Corporation.
Acknowledgments
The research reported in this article was supported by Department of Education, Institute of Education Sciences Grants R324A130216 and R324A080136, United States Department of Defense Grant W81XWH-15-1-0195, and a research grant from the Peter and Elizabeth C. Tower Foundation. Findings and conclusions are those of the authors and do not necessarily reflect the views of the funding agencies.
Author information
Authors and Affiliations
Contributions
JDR conceived of the study, participated in its design, collected and coordinated the data, and drafted the manuscript; JLS contributed to the study design, conducted the statistical analyses, assisted in interpretation of the data, and contributed to manuscript preparation; JPD participated in the design, conducted the statistical analyses, and assisted in the interpretation of the data and preparation of the manuscript; CL participated in the study design and contributed to manuscript preparation; CAM participated in the study design, assisted with data coordination, and contributed to manuscript preparation; MLT participated in the study design and manuscript preparation; AML assisted in data collection, data management, and manuscript preparation; BCN assisted in data collection, data management, and manuscript preparation; AJB assisted in data collection, data management, and manuscript preparation. All authors read and approved the final manuscript.
Corresponding author
Ethics declarations
Ethical Approval
All procedures performed in this study involving human participants were in accordance with the ethical standards of the institutional and/or national research committee and with the 1964 Helsinki declaration and its later amendments or comparable ethical standards. Informed consent was obtained from all individual participants included in the study.
Rights and permissions
About this article
Cite this article
Rodgers, J.D., Lodi-Smith, J., Donnelly, J.P. et al. Brief Report: Examination of Sex-Based Differences in ASD Symptom Severity Among High-Functioning Children with ASD Using the SRS-2. J Autism Dev Disord 49, 781–787 (2019). https://doi.org/10.1007/s10803-018-3733-4
Published:
Issue Date:
DOI: https://doi.org/10.1007/s10803-018-3733-4