Skip to main content

The Stability of Self-Reported Anxiety in Youth with Autism Versus ADHD or Typical Development

Abstract

Children with autism spectrum disorder (ASD) are at risk for anxiety symptoms. Few anxiety measures are validated for individuals with ASD, and the nature of ASD raises questions about reliability of self-reported anxiety. This study examined longitudinal stability and change of self-reported anxiety in higher functioning youth with ASD (HFASD) compared to youth with symptoms of attention deficit hyperactivity disorder and typical development (TD) using the Multidimensional Anxiety Scale for Children (March, 2012; March et al. J Am Acad Child Adolesc Psychiatry 36(4):554–565, 1997). Diagnostic groups demonstrated comparable evidence of stability for most dimensions of anxiety. The HFASD group displayed higher anxiety than both comparison groups, especially physical symptoms. These findings have implications for identification and measurement of anxiety in ASD.

This is a preview of subscription content, access via your institution.

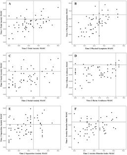
Fig. 1

References

  • Antshel, K. M., Polacek, C., McMahon, M., Dygert, K., Spenceley, L., Dygert, L., … Faisal, F. (2011). Comorbid ADHD and anxiety affect social skills group intervention treatment efficacy in children with autism spectrum disorders. Journal of Developmental & Behavioral Pediatrics, 32(6), 439–446.

    Article  Google Scholar 

  • Bellini, S. (2004). Social skill deficits and anxiety in high-functioning adolescents with autism spectrum disorders. Focus on Autism and Other Developmental Disabilities, 19(2), 78–86

    Article  Google Scholar 

  • Bellini, S. (2006). The development of social anxiety in adolescents with autism spectrum disorders. Focus on Autism and Other Developmental Disabilities, 21(3), 138–145.

    Article  Google Scholar 

  • Birmaher, B., Khetarpal, S., Brent, D., Cully, M., Balach, L., Kaufman, J., & Neer, S. M. (1997). The screen for child anxiety related emotional disorders (SCARED): Scale construction and psychometric characteristics. Journal of the American Academy of Child & Adolescent Psychiatry, 36(4), 545–553.

    Article  Google Scholar 

  • Bitsika, V., Sharpley, C. F., Andronicos, N. M., & Agnew, L. L. (2015). A test of the “parent distortion”hypothesis when assessing generalised anxiety disorder in boys with an autism spectrum disorder. Research in Autism Spectrum Disorders, 15, 42–52.

    Article  Google Scholar 

  • Blakeley-Smith, A., Reaven, J., Ridge, K., & Hepburn, S. (2012). Parent–child agreement of anxiety symptoms in youth with autism spectrum disorders. Research in Autism Spectrum Disorders, 6(2), 707–716.

    Article  Google Scholar 

  • Conners, C. K. (2008). The Conners 3rd Ed. (Conners 3). North Tonawanda, NJ: Multi-Health System.

    Google Scholar 

  • Constantino, J. N., & Gruber, C. P. (2005). Social Responsiveness Scale (SRS). Los Angeles: Western Psychological Services.

    Google Scholar 

  • Eaves, L. C., Wingert, H. D., Ho, H. H., & Mickelson, E. C. R. (2006). Screening for autism spectrum disorders with the social communication questionnaire. Journal of Developmental & Behavioral Pediatrics, 27(2), S95–S103.

    Article  Google Scholar 

  • Ehlers, S., Gillberg, C., & Wing, L. (1999). A screening questionnaire for Asperger syndrome and other high-functioning autism spectrum disorders in school age children. Journal of Autism and Developmental Disorders, 29(2), 129–141.

    Article  PubMed  Google Scholar 

  • Grondhuis, S. N., & Aman, M. G. (2012). Assessment of anxiety in children and adolescents with autism spectrum disorders. Research in Autism Spectrum Disorders, 6(4), 1345–1365. http://www.sciencedirect.com/science/article/pii/S1750946712000463.

  • Hope, T. L., Adams, C., Reynolds, L., Powers, D., Perez, R. A., & Kelley, M. L. (1999). Parent vs. self-report: Contributions toward diagnosis of adolescent psychopathology. Journal of Psychopathology and Behavioral Assessment, 21(4), 349–363.

    Article  Google Scholar 

  • Hurtig, T., Kuusikko, S., Mattila, M. -L., Haapsamo, H., Ebeling, H., Jussila, K., … Moilanen, I. (2009). Multi-informant reports of psychiatric symptoms among high-functioning adolescents with Asperger syndrome or autism. Autism: The International Journal of Research and Practice, 13(6), 583–598.

    Article  Google Scholar 

  • Jarrold, W., Mundy, P., Gwaltney, M., Bailenson, J., Hatt, N., McIntyre, N., … Swain, L. (2013). Social attention in a virtual public speaking task in higher functioning children with autism. Autism Research, 6(5), 393–410.

    Article  PubMed  Google Scholar 

  • Kaat, A. J., & Lecavalier, L. (2015). Reliability and validity of parent-and child-rated anxiety measures in autism spectrum disorder. Journal of Autism and Developmental Disorders, 45(10), 3219–3231.

    Article  PubMed  Google Scholar 

  • Kerns, C., Kendall, P. C., Berry, L., Souders, M. C., Franklin, M. E., Schultz, R. T., … Herrington, J. (2014). Traditional and atypical presentations of anxiety in youth with autism spectrum disorder. Journal of Autism and Developmental Disorders, 44(11), 2851–2861.

    Article  PubMed  PubMed Central  Google Scholar 

  • Kerns, C. M., Maddox, B. B., Kendall, P. C., Rump, K., Berry, L., Schultz, R. T., … Miller, J. (2015). Brief measures of anxiety in non-treatment-seeking youth with autism spectrum disorder. Autism. doi:10.1177/1362361314558465.

    PubMed Central  Google Scholar 

  • Kerns, C. M., Renno, P., Kendall, P. C., Wood, J. J., & Storch, E. A. (2017). Anxiety disorders interview schedule–autism Addendum: Reliability and validity in children with autism spectrum disorder. Journal of Clinical Child & Adolescent Psychology, 46(1), 88–100.

    Article  Google Scholar 

  • Lecavalier, L., Wood, J. J., Halladay, A. K., Jones, N. E., Aman, M. G., Cook, E. H., … Hallett, V. (2014). Measuring anxiety as a treatment endpoint in youth with autism spectrum disorder. Journal of Autism and Developmental Disorders, 44(5), 1128–1143. http://www.ncbi.nlm.nih.gov/pmc/articles/PMC3981870/pdf/nihms535271.pdf.

  • Leyfer, O. T., Folstein, S. E., Bacalman, S., Davis, N. O., Dinh, E., Morgan, J., Tager-Flusberg, H., & Lainhart, J. E. (2006). Comorbid psychiatric disorders in children with autism: Interview development and rates of disorders. Journal of Autism and Developmental Disorders, 36(7), 849–861.

    Article  PubMed  Google Scholar 

  • Lopata, C., Toomey, J. A., Fox, J. D., Volker, M. A., Chow, S. Y., Thomeer, M. L., … Smerbeck, A. M. (2010). Anxiety and depression in children with HFASDs: Symptom levels and source differences. Journal of Abnormal Child Psychology, 38(6), 765–776.

    Article  PubMed  Google Scholar 

  • Lord, C., Rutter, M., DiLavore, P., Risi, S., Gotham, K., & Bishop, S. (2012). Autism diagnostic observation schedule. 2nd Ed. (ADOS-2). Los Angeles, CA: Western Psychological Corporation.

    Google Scholar 

  • March, J. S. (1997). Manual for the multidimensional anxiety scale for children (MASC). Toronto: Multi-Health Systems.

    Google Scholar 

  • March, J. S. (2013). Multidimensional anxiety scale for children (2nd Ed.). Toronto: Multi-Health Systems.

    Google Scholar 

  • March, J. S., Da Parker, J., Sullivan, K., Stallings, P., & Conners, C. K. (1997). The multidimensional anxiety scale for children (MASC): Factor structure, reliability, and validity. Journal of the American Academy of Child & Adolescent Psychiatry, 36(4), 554–565. http://www.jaacap.com/article/S0890-8567(09)62527-2/abstract.

  • Mayes, S. D., Calhoun, S. L., Aggarwal, R., Baker, C., Mathapati, S., Molitoris, S., & Mayes, R. D. (2013). Unusual fears in children with autism. Research in Autism Spectrum Disorders, 7(1), 151–158.

    Article  Google Scholar 

  • Nebel-Schwalm, M., & Worley, J. (2014). Other disorders frequently comorbid with autism. In Handbook of autism and anxiety (pp. 47–60). Springer.

  • Reaven, J., Blakeley-Smith, A., Beattie, T. L., Sullivan, A., Moody, E. J., Stern, J. A., … Smith, I. M. (2015). Improving transportability of a CBT intervention for anxiety in youth with ASD: Results from a US-Canada collaboration. Autism: The International Journal of Research and Practice, 19(2), 211.

    Article  Google Scholar 

  • Reynolds, C. R., & Kamphaus, R. W. (2004). BASC-2: Behavior assessment system for children. Circle Pines, MN: American Guidance Service.

    Google Scholar 

  • Reynolds, S., & Lane, S. J. (2009). Sensory overresponsivity and anxiety in children with ADHD. American Journal of Occupational Therapy, 63(4), 433–440.

    Article  PubMed  Google Scholar 

  • Rodgers, J., Wigham, S., McConachie, H., Freeston, M., Honey, E., & Parr, J. R. (2016). Development of the anxiety scale for children with autism spectrum disorder (ASC-ASD). Autism Research, 9(11), 1205–1215.

    Article  PubMed  Google Scholar 

  • Ronan, K. R., Kendall, P. C., & Rowe, M. (1994). Negative affectivity in children: Development and validation of a self-statement questionnaire. Cognitive Therapy and Research, 18(6), 509–528.

    Article  Google Scholar 

  • Russell, E., Sofronoff, K., Russell, E., & Sofronoff, K. (2005). Anxiety and social worries in children with Asperger syndrome. Australian and New Zealand Journal of Psychiatry, 39(7), 633–638.

    Article  PubMed  Google Scholar 

  • Schatz, D. B., & Rostain, A. L. (2006). ADHD with comorbid anxiety a review of the current literature. Journal of Attention Disorders, 10(2), 141–149.

    Article  PubMed  Google Scholar 

  • Simonoff, E., Pickles, A., Charman, T., Chandler, S., Loucas, T., & Baird, G. (2008). Psychiatric disorders in children with autism spectrum disorders: Prevalence, comorbidity, and associated factors in a population-derived sample. Journal of the American Academy of Child & Adolescent Psychiatry, 47(8), 921–929.

    Article  Google Scholar 

  • Skirbekk, B., Hansen, B. H., Oerbeck, B., & Kristensen, H. (2011). The relationship between sluggish cognitive tempo, subtypes of attention-deficit/hyperactivity disorder, and anxiety disorders. Journal of Abnormal Child Psychology, 39(4), 513–525.

    Article  PubMed  Google Scholar 

  • Steinberg, E. A., & Drabick, D. A. G. (2015). A developmental psychopathology perspective on ADHD and comorbid conditions: The role of emotion regulation. Child Psychiatry & Human Development, 46(6), 951–966.

    Article  Google Scholar 

  • Sterling, L., Renno, P., Storch, E. A., Ehrenreich-May, J., Lewin, A. B., Arnold, E., … Wood, J. (2015). Validity of the revised children’s anxiety and depression scale for youth with autism spectrum disorders. Autism, 19(1), 113–117. http://aut.sagepub.com/content/19/1/113.long.

  • Storch, E. A., Wood, J. J., Ehrenreich-May, J., Jones, A. M., Park, J. M., Lewin, A. B., & Murphy, T. K. (2012). Convergent and discriminant validity and reliability of the pediatric anxiety rating scale in youth with autism spectrum disorders. Journal of Autism and Developmental Disorders, 42(11), 2374–2382.

    Article  PubMed  Google Scholar 

  • Stratis, E. A., & Lecavalier, L. (2015). Informant agreement for youth with autism spectrum disorder or intellectual disability: A meta-analysis. Journal of Autism and Developmental Disorders, 45(4), 1026–1041. http://link.springer.com/article/10.1007%2Fs10803-014-2258-8.

  • van Steensel, F. J. A., Deutschman, A. A. C. G., & Bögels, S. M. (2013). Examining the screen for child anxiety-related emotional disorder-71 as an assessment tool for anxiety in children with high-functioning autism spectrum disorders. Autism: The International Journal of Research and Practice, 17(6), 681–692.

    Article  Google Scholar 

  • Wechsler, D. (1999). Wechsler abbreviated scale of intelligence. San Antonio, Tex: Psychological Corporation.

    Google Scholar 

  • White, S. W., Lerner, M. D., McLeod, B. D., Wood, J. J., Ginsburg, G. S., Kerns, C., … Compton, S. (2015). Anxiety in youth with and without autism spectrum disorder: Examination of factorial equivalence. Behavior Therapy, 46(1), 40–53.

    Article  PubMed  Google Scholar 

  • White, S. W., Oswald, D., Ollendick, T., & Scahill, L. (2009). Anxiety in children and adolescents with autism spectrum disorders. Clinical Psychology Review, 29(3), 216–229. http://www.ncbi.nlm.nih.gov/pmc/articles/PMC2692135/pdf/nihms113987.pdf.

  • White, S. W., Schry, A. R., & Maddox, B. B. (2012). Brief report: The assessment of anxiety in high-functioning adolescents with autism spectrum disorder. Journal of Autism and Developmental Disorders, 42(6), 1138–1145. http://link.springer.com/article/10.1007%2Fs10803-011-1353-3.

  • White, S. W., Ollendick, T., Albano, A. M., Oswald, D., Johnson, C., Southam-Gerow, M. A., … Scahill, L. (2013). Randomized controlled trial: Multimodal anxiety and social skill intervention for adolescents with autism spectrum disorder. Journal of Autism and Developmental Disorders, 43(2), 382–394. http://download.springer.com/static/pdf/227/art%253A10.1007%252Fs10803-012-1577-x.pdf?originUrl=http%3A%2F%2Flink.springer.com%2Farticle%2F10.1007%2Fs10803-012-1577-x&token2=exp=1438125081~acl=%2Fstatic%2Fpdf%2F227%2Fart%25253A10.1007%25252Fs10803-012-157.

  • Wood, J. J., Drahota, A., Sze, K., Har, K., Chiu, A., & Langer, D. A. (2009). Cognitive behavioral therapy for anxiety in children with autism spectrum disorders: A randomized, controlled trial. Journal of Child Psychology and Psychiatry, 50(3), 224–234. http://www.ncbi.nlm.nih.gov/pmc/articles/PMC4231198/pdf/nihms-541243.pdf.

  • Wood, J. J., & Gadow, K. D. (2010). Exploring the nature and function of anxiety in youth with autism spectrum disorders. Clinical Psychology: Science and Practice, 17(4), 281–292.

    Google Scholar 

Download references

Author Contributions

HS drafted the manuscript, performed statistical analyses and interpretation, and collected data for the study; NM collaborated on the design of the study and collected data for the study; LS-L collaborated on the design of the study and coordinated data collection for the study; MZ collaborated on the design of the study and drafting the manuscript, and collected data for the study; PM designed and coordinated the study, and collaborated on statistical analyses and drafting the manuscript.

Acknowledgments

This study was supported by the Institute of Educational Sciences Grant IES R324A120168 (P. Mundy) and the UC Davis Department of Psychiatry Lisa Capps Endowment for Research on Neurodevelopmental Disorders and Education.

Author information

Affiliations

Authors

Corresponding author

Correspondence to Hillary Schiltz.

Ethics declarations

Conflict of interest

The authors declared that thery have no conflict of interest.

Ethical Approval

All procedures performed in studies involving human participants were in accordance with the ethical standards of the institutional and/or national research committee and with the 1964 Helsinki declaration and its later amendments or comparable ethical standards.

Informed Consent

Informed consent was obtained from all individual participants included in the study.

Rights and permissions

Reprints and Permissions

About this article

Verify currency and authenticity via CrossMark

Cite this article

Schiltz, H., McIntyre, N., Swain-Lerro, L. et al. The Stability of Self-Reported Anxiety in Youth with Autism Versus ADHD or Typical Development. J Autism Dev Disord 47, 3756–3764 (2017). https://doi.org/10.1007/s10803-017-3184-3

Download citation

  • Published:

  • Issue Date:

  • DOI: https://doi.org/10.1007/s10803-017-3184-3

Keywords

  • Anxiety
  • Self-Report
  • Autism spectrum disorder
  • Reliability