Abstract
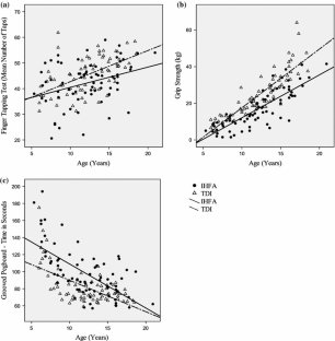
We examined motor and tactile-perceptual skills in individuals with high-functioning autism (IHFA) and matched typically developing individuals (TDI) ages 5–21 years. Grip strength, motor speed and coordination were impaired in IHFA compared to matched TDI, and the differences between groups varied with age. Although tactile-perceptual skills of IHFA were impaired compared to TDI on several measures, impairments were significant only for stereognosis. Motor and tactile-perceptual skills should be assessed in children with IHFA and intervention should begin early because these skills are essential to school performance. Impairments in coordination and stereognosis suggest a broad though selective under-development of the circuitry for higher order abilities regardless of domain that is important in the search for the underlying disturbances in neurological development.


Similar content being viewed by others
References
American Psychiatric Association [APA]. (2000). Diagnostic and statistical manual of mental disorders, text revision (DSM-IV-TR) (4th ed.). Washington, DC: Author.
Amundson, S. J. (1995). Evaluation tool of children’s handwriting. Homer, Alaska: O.T. Kids.
Ayres, J. (2005). Sensory integration and the child (25th ed.). Los Angeles, CA: Western Psychological Services.
Ayres, J. (2007). Sensory integration and praxis test manual (9th ed.). Los Angeles, CA: Western Psychological Services.
Balogun, J. A., Akomolafe, C. T., & Amusa, L. O. (1991). Grip strength: Effects of testing posture and elbow position. Archives of Physical Medicine and Rehabilitation, 71, 280–283.
Baranek, G. T., Parham, D., & Bodfish, J. W. (2005). Sensory and motor features in autism: Assessment and intervention. In F. R. Volkmar, R. Paul, A. Klin, & D. Cohen (Eds.), Handbook of autism and pervasive developmental disorders (Vol. 2, pp. 831–857). Hoboken, New Jersey: Wiley.
Baranek, G. T., Boyd, B. A., Poe, M. D., David, F. J., & Watson, L. R. (2007). Hyperresponsive sensory patterns in young children with autism, developmental delay, and typical development. American Journal of Mental Retardation, 112, 233–245.
Cesaroni, L., & Garber, M. (1991). Exploring the experience of autism through firsthand accounts. Journal of Autism and Developmental Disorders, 21, 303–313.
Courchesne, E., & Pierce, K. (2005). Why the frontal cortex in autism might be talking only to itself: Local over-connectivity but long-distance disconnection. Current Opinion in Neurobiology, 15, 225–230.
David, F. J., Baranek, G. T., Giuliani, C. A., Mercer, V. S., Poe, M. D., & Thorpe, D. E. (2009). A pilot study: Coordination of precision grip in children and adolescents with high functioning autism. Pediatric Physical Therapy, 21, 205–211.
Dowell, L. R., Mahone, E. M., & Mostofsky, S. H. (2009). Association of postural knowledge and basic motor skill with dyspraxia in autism: Implication for abnormalities in distributed connectivity and motor learning. Neuropsychology, 23, 563–570.
Dziuk, M. A., Larson, J. C. G., Apostu, A., Mahone, E. M., Denckla, M. B., & Mostofsky, S. H. (2007). Dyspraxia in autism: Association with motor, social, and communicative deficits. Developmental Medicine and Child Neurology, 49, 734–739.
Enticott, P. G., Bradshaw, J. L., Iansek, R., Tonge, B. J., & Rinehart, N. J. (2009). Electrophysiological signs of supplementary-motor-area deficits in high-functioning autism but not Asperger syndrome: An examination of internally cued movement-related potentials. Developmental Medicine and Child Neurology, 51, 787–791.
Ferguson, C. J. (2009). An effect size primer: A guide for clinicians and researchers. Professional Psychology: Research and Practice, 40, 532–538.
Ghaziuddin, M., Butler, E., Tsai, L., & Ghaziuddin, N. (1994). Is clumsiness a marker for Asperger syndrome? Journal of Intellectual Disability Research, 38, 519–527.
Grandin, T. (2006). Thinking in pictures: My life with autism. New York, NY: Vintage.
Hager-Ross, C., & Rosblad, B. (2002). Norms for grip strength in children ages 4–16 years. Acta Paediatrica, 91, 617–625.
Hardan, A. Y., Kilpatrick, M., Keshhavan, M. S., & Minshew, N. J. (2003). Motor performance and anatomic magnetic resonance imaging (MRI) of the basal ganglia in autism. Journal of Child Neurology, 18, 317–324.
Hochhauser, M., & Engel-Yeger, B. (2010). Sensory processing abilities and their relation to participation in leisure activities among children with high-functioning autism spectrum disorder. Research in Autism Spectrum Disorders, 4, 746–754.
Hollingshead, A. B. (1975). Four factor index of social issues. New Haven, CT: Yale University Press.
Hyatt, R. H., Whitelaw, M. N., Bhat, A., Scott, S., & Maxwell, J. D. (1990). Association of muscle strength with functional status of elderly people. Age and Ageing, 19, 330–336.
Jansiewicz, E. M., Goldberg, M. C., Newschaffer, C. J., Denckla, M. B., Landa, R., & Mostofsky, S. H. (2006). Motor signs distinguish children with high functioning autism and Asperger’s syndrome from controls. Journal of Autism and Developmental Disorders, 36, 613–621.
Jeste, S. S. (2011). The neurology of autism spectrum disorders. Current Opinion in Neurology, 24, 132–139.
Jong, M. D., Punt, M., Groot, E. D., Minderaa, R. B., & Hadders-Algra, M. (2011). Minor neurological dysfunction in children with autism spectrum disorder. Developmental Medicine and Child Neurology, 53, 641–646.
Just, M. A., Cherkassky, V. L., Keller, T. A., Kana, R. K., & Minshew, N. J. (2006). Functional and anatomical cortical underconnectivity in autism: Evidence from an fMRI study of an executive function task and corpus callosum morphometry. Cerebral Cortex, 17, 951–961.
Kanner, L. (1943). Autistic disturbances of affective contact. Nervous Child, 2, 217–250.
Mandelbaum, D. E., Stevens, M., Rosenberg, E., Wiznitzer, M., Steinschneider, M., Filipek, P., et al. (2006). Sensorimotor performance in school-age children with autism, developmental language disorder, and low IQ. Developmental Medicine and Child Neurology, 48, 33–39.
Manjiviona, J., & Prior, M. (1995). Comparison of Asperger syndrome and high-functioning autistic children on a test of motor impairment. Journal of Autism and Developmental Disorders, 25, 23–39.
Mari, M., Castiello, U., Marks, D., Marraffa, C., & Prior, M. (2003). The reach-to-grasp movement in children with autism spectrum disorder. Philosophical Transactions of the Royal Society of London: Biological Sciences, 358, 393–403.
Ming, X., Brimacombe, M., & Wagner, G. C. (2007). Prevalence of motor impairment in autism spectrum disorders. Brain and Development, 29, 565–570.
Minshew, N. J., & Goldstein, G. (1998). Autism as a disorder of complex information processing. Mental Retardation and Developmental Disabilities, 4, 129–136.
Minshew, N. J., & Williams, D. L. (2007). The new neurobiology of autism: Cortex, connectivity, and neuronal organization. Archives of Neurology, 64, 945–950.
Minshew, N. J., Goldstein, G., & Siegel, D. (1995). Speech and language in high-functioning autistic individuals. Neuropsychology, 9, 255–261.
Minshew, N. J., Goldstein, G., & Siegel, D. J. (1997). Neuropsychological functioning in autism: Profile of complex information processing disorder. Journal of the International Neuropsychological Society, 3, 303–316.
Mostofsky, S. H., Powell, S. K., Simmonds, D. J., Goldberg, M. C., Caffo, B., & Pekar, J. J. (2009). Decreased connectivity and cerebellar activity in autism during motor task performance. Brain, 132, 2413–2425.
Noterdaeme, M., Wriendt, E., & Hohne, C. (2010). Asperger’s syndrome and high-functioning autism: Language, motor and cognitive profiles. European Child and Adolescent Psychiatry, 19, 475–481.
Reitan, R. M., & Wolfson, D. (1985). The Halsted-Reitan neuropsychological test battery. Tuscon, Arizona: Neuropsychology Press.
Rogers, S. J. (2009). What are infant siblings teaching us about autism in infancy? Autism Research, 2, 125–137.
Rumsey, J. M., & Hamburger, S. D. (1988). Neuropsychological findings in high-functioning men with infantile autism, residual state. Journal of Clinical and Experimental Neuropsychology, 10, 201–221.
Rumsey, J. M., & Hamburger, S. D. (1990). Neuropsychological divergence of high-level autism and severe dyslexia. Journal of Autism and Developmental Disorders, 20, 155–168.
Schipul, S. E., Keller, T. A., & Just, M. A. (2011). Inter-regional brain communication and its disturbance in autism. Frontiers in systems neuroscience, 5, 1–11.
Smith, I. M., & Bryson, S. E. (1998). Gesture imitation in autism I: Nonsymbolic postures and sequences. Cognitive Neuropsychology, 15, 747–770.
Takarae, Y., Mishew, N. J., Luna, B., Krisky, C. M., & Sweeney, J. A. (2004). Pursuit eye movement deficits in autism. Brain, 127, 2584–2594.
Williams, D. L., Goldstein, G., & Minshew, N. J. (2006). Neuropsychological functioning in children with autism: Further evidence for disordered complex information-processing. Child Neuropsychology, 12, 279–298.
Author information
Authors and Affiliations
Corresponding author
Rights and permissions
About this article
Cite this article
Abu-Dahab, S.M.N., Skidmore, E.R., Holm, M.B. et al. Motor and Tactile-Perceptual Skill Differences Between Individuals with High-Functioning Autism and Typically Developing Individuals Ages 5–21. J Autism Dev Disord 43, 2241–2248 (2013). https://doi.org/10.1007/s10803-011-1439-y
Published:
Issue Date:
DOI: https://doi.org/10.1007/s10803-011-1439-y


