Skip to main content

ABA Versus TEACCH: The Case for Defining and Validating Comprehensive Treatment Models in Autism

Abstract

The authors analyzed the results of a social validation survey to determine if autism service providers including special education teachers, parents, and administrators demonstrate a preference for the intervention components of Applied Behavior Analysis or Training and Education of Autistic and other Communication Handicapped Children. They also investigated the comprehensiveness of these treatment models for use in public school programs. The findings indicate no clear preference for either model, but a significantly higher level of social validity for components inherent in both approaches. The authors discuss the need for research to define what is meant by comprehensive programming in autism.

This is a preview of subscription content, access via your institution.

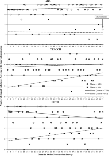
Fig. 1

References

  • Alberto, P. A., & Troutman, A. C. (2008). Applied behavior analysis for teachers (8th ed.). Columbus, OH: Pearson/Merrill Prentice Hall.

    Google Scholar 

  • Arick, J. R., Krug, D. A., Fullerton, A., Loos, L., & Falco, R. (2005). School-based programs. In F. R. Volkmar, R. Paul, A. Klin, & D. Cohen (Eds.), Handbook of autism and pervasive developmental disorders (pp. 1003–1028). Hoboken, NJ: Wiley.

    Google Scholar 

  • Callahan, K., Henson, R. K., & Cowan, A. K. (2008). Social validation of evidence-based practices in autism by parents, teachers, and administrators. Journal of Autism and Developmental Disorders, 38, 678–692.

    Article  PubMed  Google Scholar 

  • Choutka, C. M., Doloughty, P. T., & Zirkel, P. A. (2004). The “discrete trials” of Applied Behavior Analysis for children with autism: Outcome-related factors in the case law. Journal of Special Education, 38, 95–103.

    Article  Google Scholar 

  • Eikeseth, S. (2009). Outcomes of comprehensive psycho-educational interventions for young children with autism. Research in Developmental Disabilities, 30, 158–178.

    Article  PubMed  Google Scholar 

  • Eldevik, S., Eikeseth, S., Jahr, E., & Smith, T. (2006). Effects of low-intensity behavioral treatment for children with autism and mental retardation. Journal of Autism and Developmental Disorders, 36, 211–224.

    Article  PubMed  Google Scholar 

  • Foster, S. L., & Mash, E. J. (1999). Assessing social validity in clinical treatment research: Issues and procedures. Journal of Consulting and Clinical Psychology, 67, 308–319.

    Article  PubMed  Google Scholar 

  • Francis, K. (2005). Autism interventions: A critical update. Developmental Medicine and Child Neurology, 47, 493–499.

    Article  PubMed  Google Scholar 

  • Gresham, F. M., Beebe-Frankenberger, M. E., & MacMillan, D. L. (1999). A selective review of treatments for children with autism: Description and methodological considerations. School Psychology Review, 28, 559–575.

    Google Scholar 

  • Gresham, F. M., Cook, C. R., Crews, S. D., & Kern, L. (2004). Social skills training for children and youth with emotional and behavioral disorders: Validity considerations and future directions. Behavioral Disorders, 30, 32–46.

    Google Scholar 

  • Hess, K. L., Morrier, M. J., Heflin, L. J., & Ivey, M. L. (2008). Autism treatment survey: Services received by children with Autism Spectrum Disorders in public school classrooms. Journal of Autism and Developmental Disorders, 38, 961–971.

    Article  PubMed  Google Scholar 

  • Horner, R. H., & Carr, E. G. (1997). Behavioral support for students with severe disabilities: Functional assessment and comprehensive intervention. The Journal of Special Education, 31, 84–104.

    Article  Google Scholar 

  • Horner, R. H., Carr, E. G., Halle, J., McGee, G., Odom, A., & Wolery, M. (2005). The use of single-subject research to identify evidence-based practice in special education. Exceptional Children, 71, 165–179.

    Google Scholar 

  • Howard, J. S., Sparkman, C. R., Cohen, H. G., Green, G., & Stanislaw, H. (2005). A comparison of intensive behavior analytic and eclectic treatments for young children with autism. Research in Developmental Disabilities, 26, 359–383.

    Article  PubMed  Google Scholar 

  • Howlin, P. (2005). The effectiveness of interventions for children with autism. Neurodevelopmental Disorders (pp. 101–119). Vienna: Springer.

  • Humphrey, N., & Parkinson, G. (2006). Research on interventions for children and young people on the autistic spectrum: A critical perspective. Journal of Research in Special Educational Needs, 6(2), 76–86.

    Article  Google Scholar 

  • INSAR. (2008). Our vision for autism research. Autism Research, 1, 71–72.

    Article  Google Scholar 

  • Kazdin, A. E. (1977). Assessing the clinical or applied significance of behavior change through social validation. Behavior Modification, 1, 427–452.

    Article  Google Scholar 

  • Kazdin, A. E. (1981). Acceptability of child treatment techniques: The influences of treatment efficacy and adverse side effects. Behavior Therapy, 12, 493–506.

    Article  Google Scholar 

  • Kern, L., & Manz, P. (2004). A look at current validity issues of school-wide behavior support. Behavioral Disorders, 30, 47–59.

    Google Scholar 

  • Lord, C., Wagner, A., Rogers, S., Szatmari, P., Aman, M., Charman, T., et al. (2005). Challenges in evaluating psychosocial interventions for autistic spectrum disorders. Journal of Autism and Developmental Disorders, 35, 695–707.

    Article  PubMed  Google Scholar 

  • Lovaas, O. I. (1987). Behavioral treatment and normal educational and intellectual functioning in young autistic children. Journal of Consulting and Clinical Psychology, 55, 3–9.

    Article  PubMed  Google Scholar 

  • Maurice, C., Green, G., & Luce, S. C. (Eds.). (1996). Behavioral intervention for young children with autism: A manual for parents and professionals. Austin, TX: Pro-Ed.

    Google Scholar 

  • Mesibov, G. (2001). Interview with Professor Gary Mesibov. Looking Up: The Monthly International Autism Newsletter, 2(10). Retrieved from http://www.lookingupautism.org/Articles/GaryMesibov.html.

  • Mesibov, G. B., Shea, V., & Schopler, E. (2006). The TEACCH approach to autism spectrum disorders. New York: Springer.

    Google Scholar 

  • National Research Council. (2001). Educating children with autism. Washington, DC: National Academy Press.

    Google Scholar 

  • Odom, S., Boyd, B., Hall, L., & Hume, K. (2008). Meta-evaluation of comprehensive treatment programs for children with Autism Spectrum Disorder. Paper presented at the 4th annual international meeting for Autism research, London, England.

  • Odom, S. L., Brown, W. H., Frey, T., Karasu, N., Smith-Canter, L. L., & Strain, P. S. (2003). Evidence-based practices for young children with autism: Contributions for single-subject design research. Focus on Autism and Other Developmental Disabilities, 18, 166–175.

    Article  Google Scholar 

  • Prizant, B. M. (2009). Is ABA the only way? Social Thinking. Retrieved from http://www.socialthinking.com/index.php?option=com_content&view=article&id=106:is-aba-the-only-way-&catid=69:published-articles&Itemid=122.

  • Reichow, B., Volkmar, F. R., & Cicchetti, D. V. (2008). Development of the evaluative method for evaluating and determining evidence-based practices in autism. Journal of Autism and Developmental Disorders, 38, 1311–1319.

    Article  PubMed  Google Scholar 

  • Rimland, B. (1999). The ABA controversy. Autism Research Review International, 13(3), 3. Retrieved from http://www.autism.com/ari/editorials/ed_aba.htm.

  • Rogers, S. J. (1998). Empirically supported comprehensive treatments for young children with autism. Journal of Clinical Child Psychology, 27, 168–179.

    Article  PubMed  Google Scholar 

  • Schoen, A. A. (2003). What potential does the Applied Behavior Analysis approach have for the treatment of children and youth with autism? Journal of Instructional Psychology, 30, 125–129.

    Google Scholar 

  • Schopler, E., Reichler, R. J., & Lansing, M. (1980). Individualized assessment and treatment for autistic and developmentally disabled children. Volume II. Teaching strategies of parents and professionals. Baltimore, MD: University Park Press.

    Google Scholar 

  • Slavin, R. E. (2008). Perspectives on evidence-based research in education. What works? Issues in synthesizing educational program evaluations. Educational Researcher, 37(1), 5–14.

    Article  Google Scholar 

  • Smith, T., Scahill, L., Dawson, G., Guthrie, D., Lord, C., Odom, S., et al. (2007). Designing research studies on psychosocial interventions in autism. Journal of Autism and Developmental Disorders, 37, 354–366.

    Article  PubMed  Google Scholar 

  • Wilczynski, S. M. (2007, March). The National Standards Project: Using evidence-based practice to create environments in which individuals with Autism Spectrum Disorders can succeed. Paper presented at the 4th international conference on positive behavior support, Boston, MA.

  • Wolf, M. M. (1978). Social validity: The case for subjective measurement or how applied behavior analysis is finding its heart. Journal of Applied Behavior Analysis, 11, 203–214.

    Article  PubMed  Google Scholar 

  • Yell, M. L., Drasgow, E., & Lowery, K. A. (2005). No Child Left Behind and students with autism spectrum disorders. Focus on Autism and Other Developmental Disabilities, 20, 130–139.

    Article  Google Scholar 

  • Yell, M. L., Katsiyannis, A., & Shiner, J. G. (2006). The No Child Left Behind Act, adequate yearly progress, and students with disabilities. Teaching Exceptional Children, 38(4), 32–39.

    Google Scholar 

Download references

Acknowledgments

We wish to thank Julie Ray and Stacey Callaway, UNT Project STARS autism research and leadership doctoral program, for their assistance in data collection and analysis and identifying subject matter experts. We also thank Kristin Farmer, Autism Comprehensive Education Services, Inc., California, for her assistance with the expert validation process.

Author information

Affiliations

Authors

Corresponding author

Correspondence to Smita Shukla-Mehta.

Rights and permissions

Reprints and Permissions

About this article

Cite this article

Callahan, K., Shukla-Mehta, S., Magee, S. et al. ABA Versus TEACCH: The Case for Defining and Validating Comprehensive Treatment Models in Autism. J Autism Dev Disord 40, 74–88 (2010). https://doi.org/10.1007/s10803-009-0834-0

Download citation

  • Received:

  • Accepted:

  • Published:

  • Issue Date:

  • DOI: https://doi.org/10.1007/s10803-009-0834-0

Keywords

  • Social validation
  • Expert validation
  • ABA vs. TEACCH
  • Autism treatment model