Abstract
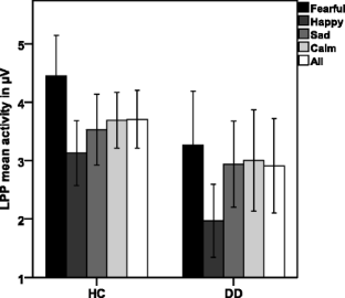
Individuals diagnosed with a depressive disorder have been found to show reduced reactions to emotional information consistent with the hypothesis of an emotional context insensitivity. However, there are contradictory findings of enhanced reactivity and mood-congruent processing. Electroencephalography (EEG) recordings of the late positive potential (LPP) can display such blunted or enhanced activity. Due to these contradictory findings, there is a need to clarify the role of the LPP in the emergence and presence of depressive disorders especially in children. We used an emotional Go/NoGo task to investigate modulations of the LPP to emotional (fearful, happy, sad) and calm faces in a sample of children and adolescents (age 11;00–14;11) diagnosed with a depressive disorder according to diagnostic parent interviews (K-SADS-PL) (n = 26) compared to a group of age-matched healthy controls (n = 26). LPP positivity was attenuated in children and adolescents with a depressive disorder as well as with higher self-reported depressive symptoms, suggesting reduced reactivity to emotional and calm faces. This is the first study to find generally blunted LPP responses in a clinical sample of depressed youth across reporters. Such dysfunctional modulation of neural activity may represent a potential biomarker for depressive disorders. The results call for further prospective studies investigating the course of the LPP before and after the onset of a depressive disorder in youth.




References
Auerbach, R. P., Stanton, C. H., Proudfit, G. H., & Pizzagalli, D. A. (2015). Self-referential processing in depressed adolescents: A high-density ERP study. Journal of Abnormal Psychology, 124(2), 233–245. https://doi.org/10.1037/abn0000023.
Axelson, D., Birmaher, B., Zelazny, J., Kaufman, J., Gill, M. K., & Brent, D. (2009). K-SADS-PL 2009 working draft. Pittsburgh: Advanced Center for Intervention and Services Research (ACISR) for Early Onset Mood and Anxiety Disorders, Western Psychiatric Institute and Clinic.
Batty, M., & Taylor, M. J. (2003). Early processing of the six basic facial emotional expressions. Cognitive Brain Research, 17(3), 613–620.
Beck, A. T., Rush, A. J., Shaw, B. F., & Emery, G. (1979) Cognitive Therapy of Depression.
Birmaher, B., Ryan, N. D., Williamson, D. E., Brent, D. A., Kaufman, J., Dahl, R. E., et al. (1996). Childhood and adolescent depression: A review of the past 10 years. Part I. Journal of the American Academy of Child and Adolescent Psychiatry, 35(11), 1427–1439. https://doi.org/10.1097/00004583-199611000-00011.
Burkhouse, K. L., Owens, M., Feurer, C., Sosoo, E., Kudinova, A., & Gibb, B. E. (2017). Increased neural and pupillary reactivity to emotional faces in adolescents with current and remitted major depressive disorder. Social Cognitive and Affective Neuroscience, 12(5), 783–792.
Bylsma, L. M., Morris, B. H., & Rottenberg, J. (2008). A meta-analysis of emotional reactivity in major depressive disorder. Clinical Psychology Review, 28(4), 676–691.
Casey, R. J. (1996). Emotional competence in children with externalizing and internalizing disorders. Emotional Development in Atypical Children, 161–183.
Cuthbert, B. N., Schupp, H. T., Bradley, M. M., Birbaumer, N., & Lang, P. J. (2000). Brain potentials in affective picture processing: Covariation with autonomic arousal and affective report. Biological Psychology, 52(2), 95–111.
Delmo, C., Weiffenbach, O., Gabriel, M., Stadler, C., & Poustka, F. (2001). Diagnostisches Interview-Kiddie-Sads-Present and Lifetime Version (K-SADS-PL). 5. Frankfurt/Main: Klinik für Psychiatrie und Psychotherapie des Kindes- und Jugendalters, pp. 1–241.
Eimer, M., Holmes, A., & McGlone, F. P. (2003). The role of spatial attention in the processing of facial expression: An ERP study of rapid brain responses to six basic emotions. Cognitive, Affective, & Behavioral Neuroscience, 3(2), 97–110.
Foti, D., Hajcak, G., & Dien, J. (2009). Differentiating neural responses to emotional pictures: Evidence from temporal-spatial PCA. Psychophysiology, 46(3), 521–530.
Foti, D., Olvet, D. M., Klein, D. N., & Hajcak, G. (2010). Reduced electrocortical response to threatening faces in major depressive disorder. Depression and Anxiety, 27(9), 813–820.
Grunewald, M., Stadelmann, S., Brandeis, D., Jaeger, S., Matuschek, T., Weis, S., et al. (2015). Early processing of emotional faces in a go/NoGo task: Lack of N170 right-hemispheric specialisation in children with major depression. Journal of Neural Transmission (Vienna: 1996), 122(9), 1339–1352. https://doi.org/10.1007/s00702-015-1411-7.
Hajcak, G., & Dennis, T. A. (2009). Brain potentials during affective picture processing in children. Biological Psychology, 80(3), 333–338.
Hajcak, G., MacNamara, A., & Olvet, D. M. (2010). Event-related potentials, emotion, and emotion regulation: An integrative review. Developmental Neuropsychology, 35(2), 129–155.
Hajcak, G., & Olvet, D. M. (2008). The persistence of attention to emotion: brain potentials during and after picture presentation. Emotion (Washington, D.C.), 8(2), 250–255. https://doi.org/10.1037/1528-3542.8.2.250.
Hare, T. A., Tottenham, N., Davidson, M. C., Glover, G. H., & Casey, B. J. (2005). Contributions of amygdala and striatal activity in emotion regulation. Biological Psychiatry, 57(6), 624–632.
Herba, C., & Phillips, M. (2004). Annotation: Development of facial expression recognition from childhood to adolescence: Behavioural and neurological perspectives. Journal of Child Psychology and Psychiatry, 45(7), 1185–1198. https://doi.org/10.1111/j.1469-7610.2004.00316.x.
Jaworska, N., Blier, P., Fusee, W., & Knott, V. (2012a). The temporal electrocortical profile of emotive facial processing in depressed males and females and healthy controls. Journal of Affective Disorders, 136(3), 1072–1081.
Jaworska, N., Thompson, A., Shah, D., Fisher, D., Ilivitsky, V., & Knott, V. (2012b). Acute tryptophan depletion effects on the vertex and late positive potentials to emotional faces in individuals with a family history of depression. Neuropsychobiology, 65(1), 28–40. https://doi.org/10.1159/000328992.
Kaufman, J., Birmaher, B., Brent, B., Rao, U., & Ryan, N. D. (1996). Kiddie Schedule for Affective Disorders and Schizophrenia for School Aged Children – Present and Lifetime Version (K-SADSPL), Version 1.0 of October 1996. The Department of Psychiatry, University of Pittsburgh School of Medicine.
Kayser, J., Bruder, G. E., Tenke, C. E., Stewart, J. E., & Quitkin, F. M. (2000). Event-related potentials (ERPs) to hemifield presentations of emotional stimuli: Differences between depressed patients and healthy adults in P3 amplitude and asymmetry. International Journal of Psychophysiology, 36(3), 211–236.
Kerestes, R., Labuschagne, I., Croft, R. J., O’Neill, B. V., Bhagwagar, Z., Phan, K. L., & Nathan, P. J. (2009). Evidence for modulation of facial emotional processing bias during emotional expression decoding by serotonergic and noradrenergic antidepressants: An event-related potential (ERP) study. Psychopharmacology, 202(4), 621–634. https://doi.org/10.1007/s00213-008-1340-3.
Krolak-Salmon, P., Fischer, C., Vighetto, A., & Mauguiere, F. (2001). Processing of facial emotional expression: Spatio-temporal data as assessed by scalp event-related potentials. European Journal of Neuroscience, 13(5), 987–994.
Kujawa, A., Hajcak, G., Torpey, D., Kim, J., & Klein, D. N. (2012a). Electrocortical reactivity to emotional faces in young children and associations with maternal and paternal depression. Journal of Child Psychology and Psychiatry, 53(2), 207–215.
Kujawa, A., Klein, D. N., & Hajcak, G. (2012b). Electrocortical reactivity to emotional images and faces in middle childhood to early adolescence. Developmental Cognitive Neuroscience, 2(4), 458–467.
Kujawa, A., Klein, D. N., & Proudfit, G. H. (2013a). Two-year stability of the late positive potential across middle childhood and adolescence. Biological Psychology, 94(2), 290–296.
Kujawa, A., Weinberg, A., Hajcak, G., & Klein, D. N. (2013b). Differentiating event-related potential components sensitive to emotion in middle childhood: Evidence from temporal–spatial PCA. Developmental Psychobiology, 55(5), 539–550.
Kujawa, A., MacNamara, A., Fitzgerald, K. D., Monk, C. S., & Phan, K. L. (2015). Enhanced neural reactivity to threatening faces in anxious youth: Evidence from event-related potentials. Journal of Abnormal Child Psychology, 43(8), 1493–1501.
Labuschagne, I., Croft, R. J., Phan, K. L., & Nathan, P. J. (2010). Augmenting serotonin neurotransmission with citalopram modulates emotional expression decoding but not structural encoding of moderate intensity sad facial emotional stimuli: An event-related potential (ERP) investigation. Journal of Psychopharmacology, 24(8), 1153–1164.
Lobaugh, N. J., Gibson, E., & Taylor, M. J. (2006). Children recruit distinct neural systems for implicit emotional face processing. Neuroreport, 17(2), 215–219.
Luo, W., Feng, W., He, W., Wang, N.-Y., & Luo, Y.-J. (2010). Three stages of facial expression processing: ERP study with rapid serial visual presentation. NeuroImage, 49(2), 1857–1867.
MacNamara, A., Kotov, R., & Hajcak, G. (2016a). Diagnostic and symptom-based predictors of emotional processing in generalized anxiety disorder and major depressive disorder: An event-related potential study. Cognitive Therapy and Research, 40(3), 275–289. https://doi.org/10.1007/s10608-015-9717-1.
MacNamara, A., Vergés, A., Kujawa, A., Fitzgerald, K. D., Monk, C. S., & Phan, K. L. (2016b). Age-related changes in emotional face processing across childhood and into young adulthood: Evidence from event-related potentials. Developmental Psychobiology, 58(1), 27–38.
Matuschek, T., Jaeger, S., Stadelmann, S., Dölling, K., Weis, S., von Klitzing, K., et al. (2015). The acceptance of the K-SADS-PL–potential predictors for the overall satisfaction of parents and interviewers. International Journal of Methods in Psychiatric Research, 24(3), 226–234.
Morel, S., Ponz, A., Mercier, M., Vuilleumier, P., & George, N. (2009). EEG-MEG evidence for early differential repetition effects for fearful, happy and neutral faces. Brain Research, 1254, 84–98. https://doi.org/10.1016/j.brainres.2008.11.079.
Muhlberger, A., Wieser, M. J., Herrmann, M. J., Weyers, P., Troger, C., & Pauli, P. (2009). Early cortical processing of natural and artificial emotional faces differs between lower and higher socially anxious persons. Journal of Neural Transmission (Vienna: 1996), 116(6), 735–746. https://doi.org/10.1007/s00702-008-0108-6.
Nelson, B. D., Perlman, G., Hajcak, G., Klein, D. N., & Kotov, R. (2015). Familial risk for distress and fear disorders and emotional reactivity in adolescence: An event-related potential investigation. Psychological Medicine, 45(12), 2545–2556.
Proudfit, G. H., Bress, J. N., Foti, D., Kujawa, A., & Klein, D. N. (2015). Depression and event-related potentials: Emotional disengagement and reward insensitivity. Current Opinion in Psychology, 4, 110–113.
Quante, M., Hesse, M., Döhnert, M., Fuchs, M., Hirsch, C., Sergeyev, E., et al. (2012). The LIFE child study: A life course approach to disease and health. BMC Public Health, 12(1), 1021.
Rosvold, H. E., Mirsky, A. F., Sarason, I., Bransome Jr, E. D., & Beck, L. H. (1956). A continuous performance test of brain Damage1'5.
Rottenberg, J., Gross, J. J., & Gotlib, I. H. (2005). Emotion context insensitivity in major depressive disorder. Journal of Abnormal Psychology, 114(4), 627–639. https://doi.org/10.1037/0021-843X.114.4.627.
Schulz, K. P., Fan, J., Magidina, O., Marks, D. J., Hahn, B., & Halperin, J. M. (2007). Does the emotional go/no-go task really measure behavioral inhibition? Convergence with measures on a non-emotional analog. Archives of Clinical Neuropsychology, 22(2), 151–160.
Schupp, H. T., Öhman, A., Junghöfer, M., Weike, A. I., Stockburger, J., & Hamm, A. O. (2004). The facilitated processing of threatening faces: An ERP analysis. Emotion, 4(2), 189–200.
Smith, E., Weinberg, A., Moran, T., & Hajcak, G. (2013). Electrocortical responses to NIMSTIM facial expressions of emotion. International Journal of Psychophysiology, 88(1), 17–25.
Solomon, B., DeCicco, J. M., & Dennis, T. A. (2012). Emotional picture processing in children: An ERP study. Developmental Cognitive Neuroscience, 2(1), 110–119.
Speed, B. C., Nelson, B. D., Auerbach, R. P., Klein, D. N., & Hajcak, G. (2016). Depression risk and Electrocortical reactivity during self-referential emotional processing in 8 to 14 year-old girls. Journal of Abnormal Psychology. Advance online publication., 125, 607–619. https://doi.org/10.1037/abn0000173.
Steel, Z., Marnane, C., Iranpour, C., Chey, T., Jackson, J. W., Patel, V., & Silove, D. (2014). The global prevalence of common mental disorders: A systematic review and meta-analysis 1980–2013. International Journal of Epidemiology, 43(2), 476–493. https://doi.org/10.1093/ije/dyu038.
Thomas, K. M., Drevets, W. C., Whalen, P. J., Eccard, C. H., Dahl, R. E., Ryan, N. D., & Casey, B. J. (2001). Amygdala response to facial expressions in children and adults. Biological Psychiatry, 49(4), 309–316.
Tottenham, N., Tanaka, J. W., Leon, A. C., McCarry, T., Nurse, M., Hare, T. A., et al. (2009). The NimStim set of facial expressions: Judgments from untrained research participants. Psychiatry Research, 168(3), 242–249.
Weinberg, A., & Hajcak, G. (2011). The late positive potential predicts subsequent interference with target processing. Journal of Cognitive Neuroscience, 23(10), 2994–3007.
Weinberg, A., Perlman, G., Kotov, R., & Hajcak, G. (2016). Depression and reduced neural response to emotional images: Distinction from anxiety, and importance of symptom dimensions and age of onset. Journal of Abnormal Psychology, 125(1), 26–39. https://doi.org/10.1037/abn0000118.
Weiss, R. H., & Weiss, B. (2006). Sprachfreier Grundintelligenztest Skala 2–Revision (CFT 20-R).
Weissman, M. M., Orvaschel, H., & Padian, N. (1980). Children’s symptom and social functioning self-report scales comparison of mothers’ and children’s reports. The Journal of Nervous and Mental Disease, 168(12), 736–740.
Williams, L. M., Palmer, D., Liddell, B. J., Le, S., & Gordon, E. (2006). The ‘when’ and ‘where’ of perceiving signals of threat versus non-threat. NeuroImage, 31(1), 458–467. https://doi.org/10.1016/j.neuroimage.2005.12.009.
Acknowledgements
This study was supported by LIFE—Leipzig Research Center for Civilization Diseases, Universität Leipzig. LIFE is funded by a grant from the European Union, by the European Regional Development Fund (ERDF), and by a grant from the Free State of Saxony within the framework of the excellence initiative.
Author information
Authors and Affiliations
Corresponding authors
Ethics declarations
Conflict of Interest
The authors state that they have no conflicts of interest.
Ethical Approval
The study was approved by ethics committee of the Universität Leipzig.
Informed Consent
Informed consent was provided by parents and children prior to the assessments.
Electronic supplementary material
ESM 1
(DOCX 409 kb)
Rights and permissions
About this article
Cite this article
Grunewald, M., Döhnert, M., Brandeis, D. et al. Attenuated LPP to Emotional Face Stimuli Associated with Parent- and Self-Reported Depression in Children and Adolescents. J Abnorm Child Psychol 47, 109–118 (2019). https://doi.org/10.1007/s10802-018-0429-3
Published:
Issue Date:
DOI: https://doi.org/10.1007/s10802-018-0429-3