Skip to main content

The Separation of ADHD Inattention and Hyperactivity-Impulsivity Symptoms: Pathways from Genetic Effects to Cognitive Impairments and Symptoms

Abstract

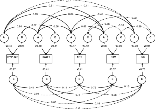
Both shared and unique genetic risk factors underlie the two symptom domains of attention deficit hyperactivity disorder (ADHD): inattention and hyperactivity-impulsivity. The developmental course and relationship to co-occurring disorders differs across the two symptom domains, highlighting the importance of their partially distinct etiologies. Familial cognitive impairment factors have been identified in ADHD, but whether they show specificity in relation to the two ADHD symptom domains remains poorly understood. We aimed to investigate whether different cognitive impairments are genetically linked to the ADHD symptom domains of inattention versus hyperactivity-impulsivity. We conducted multivariate genetic model fitting analyses on ADHD symptom scores and cognitive data, from go/no-go and fast tasks, collected on a population twin sample of 1,312 children aged 7–10. Reaction time variability (RTV) showed substantial genetic overlap with inattention, as observed in an additive genetic correlation of 0.64, compared to an additive genetic correlation of 0.31 with hyperactivity-impulsivity. Commission errors (CE) showed low additive genetic correlations with both hyperactivity-impulsivity and inattention (genetic correlations of 0.17 and 0.11, respectively). The additive genetic correlation between RTV and CE was also low and non-significant at −0.10, consistent with the etiological separation between the two indices of cognitive impairments. Overall, two key cognitive impairments phenotypically associated with ADHD symptoms, captured by RTV and CE, showed different genetic relationships to the two ADHD symptom domains. The findings extend a previous model of two familial cognitive impairment factors in combined subtype ADHD by separating pathways underlying inattention and hyperactivity-impulsivity symptoms.

This is a preview of subscription content, access via your institution.

Fig. 1
Fig. 2

References

  • Adams, Z. W., Derefinko, K. J., Milich, R., & Fillmore, M. T. (2008). Inhibitory functioning across ADHD subtypes: recent findings, clinical implications, and future directions. Developmental Disabilities Research Review, 14(4), 268–275.

    Article  Google Scholar 

  • American Psychiatric Association (APA). (2000). Diagnostic and statistical manual of mental disorders, 4 edition, text revision (4th ed.). Washington: APA.

    Book  Google Scholar 

  • Andreou, P., Neale, B. M., Chen, W., Christiansen, H., Gabriels, I., Heise, A., et al. (2007). Reaction time performance in ADHD: improvement under fast-incentive condition and familial effects. Psychological Medicine, 37(12), 1703–1715.

    PubMed Central  PubMed  Article  Google Scholar 

  • Biederman, J., Mick, E., & Faraone, S. V. (2000). Age-dependent decline of symptoms of attention deficit hyperactivity disorder: impact of remission definition and symptom type. The American Journal of Psychiatry, 157(5), 816–818.

    PubMed  Article  Google Scholar 

  • Borger, N., & van der Meere, J. J. (2000). Visual behaviour of ADHD children during an attention test: an almost forgotten variable. Journal of Child Psychology and Psychiatry, 41(4), 525–532.

    PubMed  Article  Google Scholar 

  • Carr, L., Henderson, J., & Nigg, J. T. (2010). Cognitive control and attentional selection in adolescents with ADHD versus ADD. Journal of Child Psychology and Psychiatry, 39(6), 726–740.

    Google Scholar 

  • Chen, W., Zhou, K., Sham, P., Franke, B., Kuntsi, J., Campbell, D., et al. (2008). DSM-IV combined type ADHD shows familial association with sibling trait scores: a sampling strategy for QTL linkage. American Journal of Medical Genetics. Part B, Neuropsychiatric Genetics, 147B(8), 1450–1460.

    Article  Google Scholar 

  • Conners, C. K., Sitarenios, G., Parker, J. D., & Epstein, J. N. (1998a). The revised Conners’ Parent Rating Scale (CPRS-R): factor structure, reliability, and criterion validity. Journal of Abnormal Child Psychology, 26(4), 257–268.

    PubMed  Article  Google Scholar 

  • Conners, C. K., Sitarenios, G., Parker, J. D., & Epstein, J. N. (1998b). Revision and restandardization of the Conners Teacher Rating Scale (CTRS-R): factor structure, reliability, and criterion validity. Journal of Abnormal Child Psychology, 26(4), 279–291.

    PubMed  Article  Google Scholar 

  • Greven, C. U., Rijsdijk, F. V., & Plomin, R. (2011). A twin study of ADHD symptoms in early adolescence: hyperactivity-impulsivity and inattentiveness show substantial genetic overlap but also genetic specificity. Journal of Abnormal Child Psychology, 39(2), 265–275.

    PubMed  Article  Google Scholar 

  • Halperin, J. M., & Schulz, K. P. (2006). Revisiting the role of the prefrontal cortex in the pathophysiology of attention-deficit/hyperactivity disorder. Psychological Bulletin, 132(4), 560–581.

    PubMed  Article  Google Scholar 

  • Halperin, J. M., Trampush, J. W., Miller, C. J., Marks, D. J., & Newcorn, J. H. (2008). Neuropsychological outcome in adolescents/young adults with childhood ADHD: profiles of persisters, remitters and controls. Journal of Child Psychology and Psychiatry, 49(9), 958–966.

    PubMed Central  PubMed  Article  Google Scholar 

  • Johnson, K. A., Kelly, S. P., Bellgrove, M. A., Barry, E., Cox, M., Gill, M., et al. (2007). Response variability in attention deficit hyperactivity disorder: evidence for neuropsychological heterogeneity. Neuropsychologia, 45(4), 630–638.

    PubMed  Article  Google Scholar 

  • Kuntsi, J., Andreou, P., Ma, J., Borger, N. A., & van der Meere, J. J. (2005). Testing assumptions for endophenotype studies in ADHD: reliability and validity of tasks in a general population sample. BMC Psychiatry, 5, 40.

    PubMed Central  PubMed  Article  Google Scholar 

  • Kuntsi, J., Rogers, H., Swinard, G., Borger, N., van der Meere, J. J., Rijsdijk, F., et al. (2006). Reaction time, inhibition, working memory and ‘delay aversion’ performance: genetic influences and their interpretation. Psychological Medicine, 36(11), 1613–1624.

    PubMed Central  PubMed  Article  Google Scholar 

  • Kuntsi, J., Wood, A. C., van der Meere, J. J., & Asherson, P. (2009). Why cognitive performance in ADHD may not reveal true potential: findings from a large population-based sample. Journal of the International Neuropsychological Society, 15(4), 570–579.

    PubMed Central  PubMed  Article  Google Scholar 

  • Kuntsi, J., Wood, A. C., Rijsdijk, F., Johnson, K. A., Andreou, P., Albrecht, B., et al. (2010). Separation of cognitive impairments in attention-deficit/hyperactivity disorder into 2 familial factors. Archives of General Psychiatry, 67(11), 1159–1167.

    PubMed Central  PubMed  Article  Google Scholar 

  • Kuntsi, J., Frazier-Wood, A. C., Banaschewski, T., Gill, M., Miranda, A., Oades, R. D., et al. (2013). Genetic analysis of reaction time variability: room for improvement? Psychological Medicine [Epub ahead of print. PMID: 22975296].

  • Larsson, H., Lichtenstein, P., & Larsson, J. O. (2006). Genetic contributions to the development of ADHD subtypes from childhood to adolescence. Journal of the American Academy of Child and Adolescent Psychiatry, 45(8), 973–981.

    PubMed  Article  Google Scholar 

  • Leth-Steensen, C., Elbaz, Z. K., & Douglas, V. I. (2000). Mean response times, variability, and skew in the responding of ADHD children: a response time distributional approach. Acta Psychologica, 104(2), 167–190.

    PubMed  Article  Google Scholar 

  • Loehlin, J. C. (1996). The Cholesky Approach: a cautionary note. Behavior Genetics, 26(1), 65–69.

    Article  Google Scholar 

  • McLoughlin, G., Ronald, A., Kuntsi, J., Asherson, P., & Plomin, R. (2007). Genetic support for the dual nature of attention deficit hyperactivity disorder: substantial genetic overlap between the inattentive and hyperactive-impulsive components. Journal of Abnormal Child Psychology, 35(6), 999–1008.

    PubMed Central  PubMed  Article  Google Scholar 

  • McLoughlin, G., Rijsdijk, F., Asherson, P., & Kuntsi, J. (2011). Parents and teachers make different contributions to a shared perspective on hyperactive-impulsive and inattentive symptoms: a multivariate analysis of parent and teacher ratings on the symptom domains of ADHD. Behavior Genetics, 41(5), 668–679.

    PubMed Central  PubMed  Article  Google Scholar 

  • Neale, M. C., & Cardon, L. (1992). Methodology for genetic studies of twins and families. Dordrecht: Kluwer.

    Book  Google Scholar 

  • Neale, M. C., Boker, S. M., Xie, G., & Maes, H. (2006a). Mx: statistical modeling (7th ed.). Richmond, VA: Department of Psychiatry.

    Google Scholar 

  • Neale, M. C., Roysamb, E., & Jacobsom, K. (2006b). Multivariate genetic analysis of sex limitation and GxE interactions. Twin Research and Human Genetics, 9(4), 481–489.

    PubMed  Google Scholar 

  • Newcorn, J. H., Halperin, J. M., Jensen, P. S., Abikoff, H. B., Arnold, L. E., Cantwell, D. P., et al. (2001). Symptom profiles in children with ADHD: effects of comorbidity and gender. Journal of the American Academy of Child and Adolescent Psychiatry, 40(2), 137–146.

    PubMed  Article  Google Scholar 

  • NICE. (2008). Attention deficit hyperactivity disorder: the NICE guideline on diagnosis and managment of ADHD in children, young people and adults. London: The British Psychological Society and The Royal College of Psychiatrists.

    Google Scholar 

  • O’Connell, R. G., Bellgrove, M. A., Dockree, P. M., Lau, A., Fitzgerald, M., & Robertson, I. H. (2008). Self-Alert Training: volitional modulation of autonomic arousal improves sustained attention. Neuropsychologia, 46(5), 1379–1390.

    PubMed  Article  Google Scholar 

  • Oliver, B. R., & Plomin, R. (2007). Twins’ Early Development Study (TEDS): a multivariate, longitudinal genetic investigation of language, cognition and behavior problems from childhood through adolescence. Twin Research and Human Genetics, 10(1), 96–105.

    PubMed  Article  Google Scholar 

  • Paloyelis, Y., Rijsdijk, F., Wood, A. C., Asherson, P., & Kuntsi, J. (2010). The genetic association between ADHD symptoms and reading difficulties: the role of inattentiveness and IQ. Journal of Abnormal Child Psychology, 38(8), 1083–1095.

    PubMed Central  PubMed  Article  Google Scholar 

  • Plomin, R., DeFries, J. C., McClearn, G. E., & McGuffin, P. (2001). Behavioral genetics (4th ed.). New York: Worth.

    Google Scholar 

  • Rijsdijk, F. V., & Sham, P. C. (2002). Analytic approaches to twin data using structural equation models. Briefings in Bioinformatics, 3(2), 119–133.

    PubMed  Article  Google Scholar 

  • Sattler, J. M. (1992). Assessment of children: WAIC-III and WPPSI-R Supplement. San Diego: Jerome M Sattler.

    Google Scholar 

  • Schmitz, S., Cherny, S. S., & Fulker, D. W. (1998). Increase in power through multivariate analyses. Behavior Genetics, 28(5), 357–363.

    PubMed  Article  Google Scholar 

  • Stata. (2007). Stata Statistical Software Release 9.0: Survey Data Manual. College Station, TX: Stata Corporation.

    Google Scholar 

  • Todd, R. D., Rasmussen, E. R., Neuman, R. J., Reich, W., Hudziak, J. J., Bucholz, K. K., et al. (2001). Familiality and heritability of subtypes of attention deficit hyperactivity disorder in a population sample of adolescent female twins. The American Journal of Psychiatry, 158(11), 1891–1898.

    PubMed  Article  Google Scholar 

  • Todd, R. D., Huang, H., Todorov, A. A., Neuman, R. J., Reiersen, A. M., Henderson, C. A., et al. (2008). Predictors of stability of attention-deficit/hyperactivity disorder subtypes from childhood to young adulthood. Journal of the American Academy of Child and Adolescent Psychiatry, 47(1), 76–85.

    PubMed  Article  Google Scholar 

  • Toplak, M. E., Pitch, A., Flora, D. B., Iwenofu, L., Ghelani, K., Jain, U., et al. (2009). The unity and diversity of inattention and hyperactivity/impulsivity in ADHD: evidence for a general factor with separable dimensions. Journal of Abnormal Child Psychology, 37(8), 1137–1150.

    PubMed  Article  Google Scholar 

  • Trouton, A., Spinath, F. M., & Plomin, R. (2002). Twins early development study (TEDS): a multivariate, longitudinal genetic investigation of language, cognition and behavior problems in childhood. Twin Research and Human Genetics, 5(5), 444–448.

    Google Scholar 

  • Uebel, H., Albrecht, B., Asherson, P., Borger, N. A., Butler, L., Chen, W., et al. (2010). Performance variability, impulsivity errors and the impact of incentives as gender-independent endophenotypes for ADHD. Journal of Child Psychology and Psychiatry, 51(2), 210–218.

    PubMed Central  PubMed  Article  Google Scholar 

  • van der Meere, J. J., Stemerdink, N., & Gunning, B. (1995). Effects of presentation rate of stimuli on response inhibition in ADHD children with and without tics. Perceptual and Motor Skills, 81(1), 259–262.

    PubMed  Article  Google Scholar 

  • Weschler, D. (1991). Wechsler intelligence scale for children (3rd ed.). London: Psychological Corporation.

    Google Scholar 

  • Willcutt, E., Pennington, B., Olson, R. K., & DeFries, J. C. (2007). Understanding comorbidity: a twin study of reading disability and attention-deficit/hyperactivity disorder. American Journal of Medical Genetics. Part B, Neuropsychiatric Genetics, 144B(6), 709–714.

    Article  Google Scholar 

  • Wood, A. C., Rijsdijk, F., Asherson, P., & Kuntsi, J. (2009). Hyperactive-impulsive symptom scores and oppositional behaviours reflect alternate manifestations of a single liability. Behavior Genetics, 39(5), 447–460.

    PubMed Central  PubMed  Article  Google Scholar 

  • Wood, A. C., Asherson, P., van der Meere, J. J., & Kuntsi, J. (2010a). Separation of genetic influences on attention deficit hyperactivity disorder symptoms and reaction time performance from those on IQ. Psychological Medicine, 40(6), 1027–1037.

    PubMed Central  PubMed  Article  Google Scholar 

  • Wood, A. C., Rijsdijk, F., Johnson, K. A., Andreou, P., Albrecht, B., Arias-Vasquez, A., et al. (2010b). The relationship between ADHD and key cognitive phenotypes is not mediated by shared familial effects with IQ. Psychological Medicine, 41(4), 861–871.

    PubMed Central  PubMed  Article  Google Scholar 

Download references

Acknowledgments

We thank the TEDS-SAIL families, who give their time and support so unstintingly. We also thank research team members Keeley Brookes, Rebecca Gibbs, Hannah Rogers, Eda Salih, Greer Swinard, Kate Lievesley, Kayley O’Flynn, Suzi Marquis, Rebecca Whittemore, Xiaohui Xu, and everyone on the TEDS team.

Funding

The Study of Activity and Impulsivity Levels in children (SAIL) was funded by a Wellcome Trust grant GR070345MF.

Author information

Affiliations

Authors

Corresponding author

Correspondence to Jonna Kuntsi.

Additional information

Jonna Kuntsi and Rebecca Pinto are joint 1st authors.

Rights and permissions

Reprints and Permissions

About this article

Cite this article

Kuntsi, J., Pinto, R., Price, T.S. et al. The Separation of ADHD Inattention and Hyperactivity-Impulsivity Symptoms: Pathways from Genetic Effects to Cognitive Impairments and Symptoms. J Abnorm Child Psychol 42, 127–136 (2014). https://doi.org/10.1007/s10802-013-9771-7

Download citation

  • Published:

  • Issue Date:

  • DOI: https://doi.org/10.1007/s10802-013-9771-7

Keywords

  • ADHD
  • Genetics
  • Reaction time variability
  • Commission errors
  • Inattention
  • Hyperactivity/impulsivity