Abstract
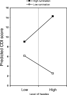
The current study tested the stress-reactivity extension of response styles theory of depression (Nolen-Hoeksema Journal of Abnormal Psychology 100:569–582, 1991) in a sample of high-risk children and early adolescents from a vulnerability-stress perspective using a multi-wave longitudinal design. In addition, we examined whether obtained results varied as a function of either age or sex. During an initial assessment, 56 high-risk children (offspring of depressed parents; ages 7–14) completed measures assessing rumination and depressive symptoms. Children were subsequently given a handheld personal computer which signalled them to complete measures assessing depressive symptoms and negative events at six randomly selected times over an 8-week follow-up interval. In line with hypotheses, higher levels of rumination were associated with prospective elevations in depressive symptoms following the occurrence of negative events. Sex, but not age, moderated this association. Rumination was more strongly associated with elevations in depressive symptoms following the occurrence of negative events in girls than in boys.


Similar content being viewed by others
References
Abela, J. R. Z., & Hankin, B. L. (2008). Cognitive vulnerability to depression in children and adolescents: A developmental psychopathology approach. In J. R. Z. Abela & B. L. Hankin (Eds.), Handbook of child and adolescent depression (pp. 35–78). NY: Guilford.
Abela, J. R. Z., & Hankin, B. L. (2011). Rumination as a vulnerability factor to depression during the transition from early to middle adolescence: a multi-wave longitudinal study. Journal of Abnormal Psychology, 120, 259–271.
Abela, J. R. Z., Brozina, K., & Haigh, E. P. (2002). An examination of the response styles theory of depression in third and seventh grade children: a short-term longitudinal study. Journal of Abnormal Child Psychology, 30, 513–525.
Abela, J. R. Z., Vanderbilt, E., & Rochon, A. (2004). A test of the integration of the response styles and social support theories of depression in third and seventh grade children. Journal of Social and Clinical Psychology, 23, 653–674.
Abela, J. R. Z., Skitch, S. A., Auerbach, R. P., & Adams, P. (2005). The impact of parental borderline personality on vulnerability to depression in children of affectively-ill parents. Journal of Personality Disorders, 19, 68–83.
Abela, J. R. Z., Skitch, S. A., Adams, P., & Hankin, B. L. (2006). The timing of parent and child depression: a hopelessness theory perspective. Journal of Clinical Child and Adolescent Psychology, 35, 253–263.
Abela, J. R. Z., Aydin, C., & Auerbach, R. P. (2007). Responses to depression in children: reconceptualizing the relation among response styles. Journal of Abnormal Child Psychology, 35, 913–927.
Abela, J. R. Z., Parkinson, C., Stolow, D., & Starrs, C. (2009). A test of the integration of the hopelessness and response style theories of depression in middle adolescence. Journal of Clinical and Adolescent Psychology, 38, 354–364.
Avenevoli, S., Knight, E., Kessler, R. C., & Merikangas, K. R. (2008). Epidemiology of depression in children and adolescents. In J. R. Z. Abela & B. L. Hankin (Eds.), Handbook of depression in children and adolescent. NY: Guilford.
Baron, R. M., & Kenny, D. A. (1986). The moderator-mediator variable distinction in social psychological research: Conceptual, strategic, and statistical considerations. Journal of Personality and Social Psychology, 51, 1173–1182.
Broderick, P. C., & Korteland, C. (2004). A prospective study of rumination and depression in early adolescence. Clinical Child Psychology and Psychiatry, 9, 383–394.
Brown, G. W., & Harris, T. (1978). Social origins of depression. London: Tavistock.
First, M. B., Gibbon, M., Spitzer, R. L., & Williams, J. B. W. (2001). Structured clinical interview for DSM-IV-TR Axis I disorders: Research version. New York: Biometrics Research, New York State Psychiatric Institute.
Ge, X., Lorenz, F. O., Conger, R. D., Elder, G. H., & Simons, R. L. (1994). Trajectories of stressful life events and depressive symptoms during adolescence. Developmental Psychology, 30, 467–483.
Goodman, C., & Gotlib, I. H. (2002). Children of depressed parents: Mechanisms of risk and implications for treatment. Washington DC: APA.
Hankin, B. L. (2008a). Response styles theory and symptom specificity in adolescents: a multi-wave prospective study. Journal of Clinical Child and Adolescent Psychology, 37, 701–713.
Hankin, B. L. (2008b). Stability of cognitive vulnerabilities to depression: a short-term prospective multi-wave study. Journal of Abnormal Psychology, 117, 324–333.
Hankin, B. L. (2009). Development of sex differences in depressive and co-occurring anxious symptoms during adolescence: descriptive trajectories and potential explanations in a multi-wave prospective study. Journal of Clinical Child and Adolescent Psychology, 38, 460–472.
Hankin, B. L., & Abramson, L. Y. (1999). Development of gender differences in depression: description and possible explanations. Annals of Medicine, 31, 372–379.
Hankin, B. L., & Abramson, L. Y. (2001). Development of gender differences in depression: an elaborated cognitive vulnerability-transactional stress theory. Psychological Bulletin, 127, 773–796.
Hankin, B. L., Mermelstein, R., & Roesch, L. (2007). Sex differences in adolescent depression: stress exposure and reactivity. Child Development, 78, 279–295.
Hankin, B. L., Stone, L. B., & Wright, P. A. (2010). Co-rumination, interpersonal stress generation, and internalizing symptoms: sex differences and transactional influences in a multi-wave study of adolescents. Development and Psychopathology, 22, 217–235.
Harrington, R. C. (1996). Adult outcomes of childhood and adolescent depression: influences on the risk for adult depression. Psychiatric Annals, 26, 320–325.
Holm-Denoma, J. M., & Hankin, B. L. (2010). Physical Appearance Competence as a Mediator of the Rumination and Bulimic Symptom Link in Female Adolescents. Journal of Child and Adolescent Clinical Psychology, 39, 537–544.
Kanner, A. D., Feldman, S. S., Weinberger, D. A., & Ford, M. E. (1987). Uplifts, hassles, and adaptational outcomes in early adolescents. Journal of Early Adolescence, 7, 371–394.
Klein, D. N., Dougherty, L. R., & Olino, T. M. (2005). Toward guidelines for evidence-based assessment of depression in children and adolescents. Journal of Clinical Child and Adolescent Psychology, 34, 412–432.
Kovacs, M. (1981). Rating scales to assess depression in school children. Acta Paedopsychiatrica, 46, 305–315.
Lyubomirsky, S., & Tkach, C. (2003). The consequences of dysphoric rumination. In C. Papageorgiou & A. Wells (Eds.), Rumination: Nature, theory, and treatment of negative thinking in depression (pp. 21–41). Chichester: Wiley.
Nolen-Hoeksema, S., & Hilt, L. (2009). Gender differences in depression. In I.H. Gotlib & C.L. Hammen (Eds.), Handbook of Depression, 2nd ed. New York: Guilford.
Noelen-Hoeksema, S., & Morrow, J. (1991). A prospective study of the depression and posttraumatic stress symptoms after a natural disaster: the 1989 Loma Prieta earthquake. Journal of Personality and Social Psychology, 61, 115–121.
Nolen-Hoeksema, S. (1990). Sex differences in depression. Stanford: Stanford Press.
Nolen-Hoeksema, S. (1991). Responses to depression and their effects on the duration of depressive episodes. Journal of Abnormal Psychology, 100, 569–582.
Nolen-Hoeksema, S., & Girgus, J. S. (1994). The emergence in gender differences in depression during adolescence. Psychological Bulletin, 115, 424–443.
Nolen-Hoeksema, S., Girgus, J. S., & Seligman, M. E. P. (1992). Predictors and consequences of childhood depressive symptoms: a five-year longitudinal study. Journal of Abnormal Psychology, 101, 405–422.
Nolen-Hoeksema, S., Larson, J., & Grayson, C. (1999). Explaining the gender difference in depressive symptoms. Journal of Personality and Social Psychology, 5, 1061–1072.
Nolen-Hoeksema, S., Stice, E., Wade, E., & Bohon, C. (2007). Reciprocal relations between rumination and bulimic, substance abuse, and depressive symptoms in female adolescents. Journal of Abnormal Psychology, 116, 198–207. doi:10.137/0021-843X.116.1.198.
Nolen-Hoeksema, S., Wisco, B., & Lyubomirsky, S. (2008). Rethinking rumination. Perspectives on Psychological Science, 3, 400–424.
Robinson, M. S., & Alloy, L. B. (2003). Negative cognitive styles and stress-reactive rumination interact to predict depression: a prospective study. Cognitive Therapy and Research, 27, 275–292.
Rose, A. (2002). Co-rumination in the friendships of girls and boys. Child Development, 73, 1830–1843.
Rutter, M., Kim-Cohen, J., & Maughan, B. (2006). Continuities and discontinuities in psychopathology between childhood and adult life. Journal of Child Psychology and Psychiatry, 47, 276–95.
Schafer, J. L., & Graham, J. W. (2002). Missing data: our view of the state of the art. Psychological Methods, 7, 147–177.
Shwartz, J. A. J., & Koenig, L. J. (1996). Response styles and negative affect among adolescents. Cognitive Therapy and Research, 20, 13–36.
Stone, L. B., Hankin, B. L., Gibb, B. E., & Abela, J. R. Z. (2011). Co-rumination predicts the onset of depressive disorders during adolescence. Journal of Abnormal Psychology, 120, 752–757.
Turner, J. E., & Cole, D. A. (1994). Developmental differences in cognitive diatheses in child depression. Journal of Abnormal Psychology, 103, 15–32.
Watkins, E. R. (2008). Constructive and unconstructive repetitive thought. Psychological Bulletin, 134, 163–206.
Watkins, E. R., Mullan, E., Wingrove, J., Rimes, K., Steiner, H., Bathurst, N., Eastman, R., & Scott, J. (2011). Rumination-focused cognitive behavioural therapy for residual depression: Phase II randomized control trial. British Journal of Psychiatry, on-line published July 21.
Ziegert, D. I., & Kistner, J. A. (2002). Response styles theory: downward extension to children. Journal of Clinical Child and Adolescent Psychology, 31, 325–334.
Acknowledgements
This work was supported by NIMH grant 5R01 MH077195 (Hankin and Abela). The content is solely the responsibility of the authors and does not necessarily represent the official views of the National Institute of Mental Health or National Institutes of Health. The research reported in this article was supported, in part, by a Young Investigator Award from the National Alliance for Research on Schizophrenia and Depression (NARSAD) awarded to John R. Z. Abela.
Author information
Authors and Affiliations
Corresponding author
Rights and permissions
About this article
Cite this article
Abela, J.R.Z., Hankin, B.L., Sheshko, D.M. et al. Multi-wave Prospective Examination of the Stress-Reactivity Extension of Response Styles Theory of Depression in High-Risk Children and Early Adolescents. J Abnorm Child Psychol 40, 277–287 (2012). https://doi.org/10.1007/s10802-011-9563-x
Published:
Issue Date:
DOI: https://doi.org/10.1007/s10802-011-9563-x

