Skip to main content

Family Intervention Effects on Co-occurring Early Childhood Behavioral and Emotional Problems: A Latent Transition Analysis Approach

Abstract

This study used latent transition analysis (LTA) to examine changes in early emotional and behavioral problems in children age 2 to 4 years resulting from participation in a family-centered intervention. A sample of 731 economically disadvantaged families was recruited from among participants in a national food supplement and nutrition program. Families with toddlers between age 2 and 3 were randomized either to the Family Check-Up (FCU) or to a nonintervention control group. The FCU’s linked interventions were tailored to each family’s needs. Assessments occurred at age 2, 3, and 4. The FCU followed age 2 and age 3 assessments. Latent class analyses were conducted on mother reports of behavior and emotional problems from age 2 to 4 to study transitions among the following four groups: (a) externalizing only, (b) internalizing only, (c) comorbid internalizing and externalizing, and (d) normative. LTA results revealed that participation in the FCU increased the likelihood of transitioning from either the comorbid or the internalizing class into the normative class by age 4. These results suggest family interventions in early childhood can potentially disrupt the early emergence of both emotional and behavioral problems.

This is a preview of subscription content, access via your institution.

Fig. 1
Fig. 2
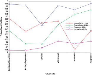
Fig. 3
Fig. 4

References

  • Achenbach, T. M., & Rescorla, L. A. (2000). Manual for the ASEBA preschool forms & profiles. Burlington VT: University of Vermont Department of Psychiatry.

    Google Scholar 

  • Angold, A., Costello, E. J., & Erkanli, A. (1999). Comorbidity. Journal of Child Psychology and Psychiatry, 40(1), 57–87.

    PubMed  Article  Google Scholar 

  • Asarnow, J. R., & Carlson, G. (1988). Suicide attempts in preadolescent child psychiatry inpatients. Suicide and Life-Threatening Behavior, 18(2), 129–136.

    PubMed  Google Scholar 

  • Asarnow, J., Scott, C., & Mintz, J. (2002). A combined cognitive–behavioral family education intervention for depression in children: A treatment development study. Cognitive Therapy and Research, 26, 221–229.

    Article  Google Scholar 

  • Beauchaine, T. P., Gartner, J., & Hagen, B. (2000). Comorbid depression and heart rate variability as predictors of aggressive and hyperactive symptom responsiveness during inpatient treatment of conduct-disordered ADHD boys. Aggressive Behavior, 26, 425–441.

    Article  Google Scholar 

  • Beauchaine, T. P., Webster-Stratton, C., & Reid, M. J. (2005). Mediators, moderators, and predictors of 1-year outcomes among children treated for early-onset conduct problems: A latent growth curve analysis. Journal of Consulting and Clinical Psychology, 73, 371–388.

    PubMed  Article  Google Scholar 

  • Brent, D., Holder, D., Kolko, D., Birmaher, B., Baugher, M., Roth, C., et al. (1997). A clinical psychotherapy trial for adolescent depression comparing cognitive, family, and supportive therapy. Archives of General Psychiatry, 54, 877–885.

    PubMed  Google Scholar 

  • Briggs-Gowan, M., Carter, A., Bosson-Heenan, J., Guyer, A., & Horwitz, S. (2006). Are infant–toddler social–emotional and behavioral problems transient? Journal of the American Academy of Child & Adolescent Psychiatry, 45, 849–858.

    Article  Google Scholar 

  • Briggs-Gowan, M., Carter, A., Irwin, J., Wachtel, K., & Cicchetti, D. (2004). The Brief Infant–Toddler Social and Emotional Assessment: Screening for social–emotional problems and delays in competence. Journal of Pediatric Psychology, 29, 143–155.

    PubMed  Article  Google Scholar 

  • Brinkmeyer, M. Y., & Eyberg, S. M. (2003). Parent–child interaction therapy for oppositional children. In A. E. Kazdin, & J. R. Weisz (Eds.), Evidence-based psychotherapies for children and adolescents (pp. 204–223). New York: Guilford.

    Google Scholar 

  • Brook, J. S., Whiteman, M., & Finch, S. (1992). Childhood aggression, adolescent delinquency, and drug use: A longitudinal study. Journal of Genetic Psychology, 153, 369–383.

    PubMed  Google Scholar 

  • Campbell, S. B., Pierce, E. W., Moore, G., Marakovitz, S., & Newby, K. (1996). Boys’ externalizing problems at elementary school age: Pathways from early behavior problems, maternal control, and family stress. Development and Psychopathology, 8, 701–719.

    Google Scholar 

  • Campbell, S. B., Shaw, D. S., & Gilliom, M. (2000). Early externalizing behavior problems: Toddlers and preschoolers at risk for later maladjustment. Development and Psychopathology, 12, 467–488.

    PubMed  Article  Google Scholar 

  • Capaldi, D. (1992). Co-occurrence of conduct problems and depressive symptoms in early adolescent boys II: A two-year follow-up at grade eight. Development and Psychopathology, 4, 125–144.

    Google Scholar 

  • Caspi, A., Moffitt, T. E., Newman, D. L., & Silva, P. A. (1998). Behavioral observations at age 3 years predict adult psychiatric disorders: Longitudinal evidence from a birth cohort. In M. E. Hertzig, & E. A. Ellen (Eds.), Annual progress in child psychiatry and child development (pp. 319–331). Philadelphia, PA: Brunner/Mazel.

    Google Scholar 

  • Collins, L., Hyatt, S., & Graham, J. (2000). Latent transition analysis as a way of testing models of stage-sequential change in longitudinal data. In T. Little, K. Schnabel, & J. Baumert (Eds.), Modeling longitudinal and multilevel data: Practical issues, applied approaches, and specific examples (pp. 147–161). Mahway, NJ: Lawrence Erlbaum.

    Google Scholar 

  • Collins, L., Murphy, S., & Bierman, K. (2004). A conceptual framework for adaptive preventive interventions. Prevention Science, 5, 185–196.

    PubMed  Article  Google Scholar 

  • Connell, A., & Dishion, T. (2008). Reducing depression among at-risk early adolescents: Three-year effects of a family-centered intervention embedded within schools. Journal of Family Psychology (in press).

  • Connell, A., Dishion, T., & Deater-Deckard, K. (2006). Variable- and person-centered approaches to the analysis of early adolescent substance use: Linking peer, family, and intervention effects with developmental trajectories. Merrill-Palmer Quarterly, 52, 421–448.

    Article  Google Scholar 

  • Connell, A., Dishion, T., Yasui, M., & Kavanagh, K. (2007). An adaptive approach to family intervention: Linking engagement in family-centered intervention to reductions in adolescent problem behavior. Journal of Consulting and Clinical Psychology, 75, 568–579.

    PubMed  Article  Google Scholar 

  • Costin, J., & Chambers, S. (2007). Parent Management Training as a treatment for children with Oppositional Defiant Disorder referred to a mental health clinic. Clinical Child Psychology and Psychiatry, 12, 511–524.

    PubMed  Article  Google Scholar 

  • Cote, S., Vaillancourt, T., Leblanc, J., Nagin, D., & Tremblay, R. (2006). The development of physical aggression from toddlerhood to pre-adolescence: A nationwide longitudinal study. Journal of Abnormal Child Psychology, 34, 71–85.

    PubMed  Article  Google Scholar 

  • Diamond, G., Reis, B., Diamond, G., Siqueland, L., & Isaacs, L. (2002). Attachment-based family therapy for depressed adolescents: A treatment development study. Journal of the American Academy of Child and Adolescent Psychiatry, 41, 1190–1196.

    PubMed  Article  Google Scholar 

  • Dishion, T. J. (2000). Cross-setting consistency in early adolescent psychopathology: Deviant friendships and problem behavior sequelae. Journal of Personality, 68, 1109–1126.

    PubMed  Article  Google Scholar 

  • Dishion, T. J., & Kavanagh, K. (2003). Intervening in adolescent problem behavior: A family-centered approach. New York: Guilford.

    Google Scholar 

  • Dishion, T. J., Kavanagh, K., Schneiger, A., Nelson, S. E., & Kaufman, N. (2002). Preventing early adolescent substance use: A family-centered strategy for the public middle-school ecology. In R. L. Spoth, K. Kavanagh, & T. J. Dishion (Eds.), Universal family-centered prevention strategies: Current findings and critical issues for public health impact. Prevention Science, 3, 191–201.

    Google Scholar 

  • Dishion, T. J., & Patterson, G. R. (2006). The development and ecology of antisocial behavior in children and adolescents. In D. Cicchetti, & D. J. Cohen (Eds.), Developmental psychopathology: Risk adaptation and disorder (vol. 3, pp. 503–541, 2nd ed.). Hoboken, NJ: Wiley.

    Google Scholar 

  • Dishion, T. J., Shaw, D. S., Connell, A., Gardner, F., Weaver, C., & Wilson, M. (2008). The family check-up with high-risk indigent families: Outcomes of positive parenting and problem behavior from ages 2 through 4. Child Development (in press).

  • Dishion, T. J., & Stormshak, E. (2007). Intervening in children’s lives: An ecological, family-centered approach to mental health care. Washington, DC: APA.

    Google Scholar 

  • Fagot, B., & Kavanaugh, K. (1993). Parenting during the second year: Effects of children’s age, sex, and attachment classification. Child Development, 64, 258–271.

    PubMed  Article  Google Scholar 

  • Fergusson, D. M., Lynskey, M. T., & Horwood, L. J. (1993). The effect of maternal depression on maternal ratings of child behavior. Journal of Abnormal Child Psychology, 21, 245–269.

    PubMed  Article  Google Scholar 

  • Fombonne, E., Wostear, G., Cooper, V., Harrington, R., & Rutter, M. (2001). The Maudsley long-term follow-up of child and adolescent depression: I. Psychiatric outcomes in adulthood. British Journal of Psychiatry, 179, 210–217.

    PubMed  Article  Google Scholar 

  • Forgatch, M. S., Patterson, G. R., & DeGarmo, D. S. (2005). Evaluating fidelity: Predictive validity for a measure of competent adherence to the Oregon Model of Parent Management Training. Behavior Therapy, 36, 3–13.

    PubMed  Article  Google Scholar 

  • Gardner, F. (1987). Positive interaction between mothers and conduct-problem children: Is there training for harmony as well as fighting? Journal of Abnormal Child Psychology, 15, 283–293.

    PubMed  Article  Google Scholar 

  • Gardner, F. (1994). The quality of joint activity between mothers and their children with behaviour problems. Journal of Child Psychology and Psychiatry, 35, 935–948.

    PubMed  Article  Google Scholar 

  • Gardner, F., Shaw, D. S., Dishion, T. J., Supplee, L. A., & Burton, J. (2007). Family-centered approach to prevention of early conduct problems: Positive parenting as a contributor to change in toddler problem behavior. Journal of Family Psychology, 21, 398–406.

    PubMed  Article  Google Scholar 

  • Gardner, F., Sonuga-Barke, E., & Sayal, K. (1999). Parents anticipating misbehaviour: An observational study of strategies parents use to prevent conflict with behaviour problem children. Journal of Child Psychology and Psychiatry, 40, 1185–1196.

    PubMed  Article  Google Scholar 

  • Graham, J., Collins, L., Wugalter, S., Chung, N., & Hansen, W. (1991). Modeling transitions in latent stage-sequential processes: A substance use prevention example. Journal of Consulting and Clinical Psychology, 59, 48–57.

    PubMed  Article  Google Scholar 

  • Gregory, A., Eley, T., & Plomin, R. (2004). Exploring the association between anxiety and conduct problems in a large sample of twins aged 2–4. Journal of Abnormal Child Psychology, 32, 111–122.

    PubMed  Article  Google Scholar 

  • Haines, M. M., McMunn, A., Nazroo, J. Y., & Kelly, Y. J. (2002). Social and demographic predictors of parental consultation for child psychological difficulties. Journal of Public Health Medicine, 24, 276–284.

    PubMed  Article  Google Scholar 

  • Hawes, D., & Dadds, M. (2005). The treatment of conduct problems in children with callous-unemotional traits. Journal of Consulting and Clinical Psychology, 73, 737–741.

    PubMed  Article  Google Scholar 

  • Hawkins, J. D., Lishner, D. M., Catalano, R. F., & Howard, M. O. (1986). Childhood predictors of adolescent substance abuse: Toward an empirically grounded theory. Journal of Children in Contemporary Society, 18, 11–47.

    Google Scholar 

  • Humphreys, K., & Janson, H. (2000). Latent transition analysis with covariates, nonresponse, summary statistics, and diagnostics. Multivariate Behavioral Research, 35, 89–118.

    Article  Google Scholar 

  • Kazdin, A., & Whitley, M. (2006). Comorbidity, case complexity, and effects of evidence-based treatment for children referred for disruptive behavior. Journal of Consulting and Clinical Psychology, 74, 455–467.

    PubMed  Article  Google Scholar 

  • Lanza, S., Lemmon, D., Schafer, J., & Collins, L. (2007). Proc LCA & Proc LTA user’s guide. University Park, PA.

  • Lewinsohn, P. M., Rohde, P., & Seeley, J. R. (1995). Adolescent psychopathology: III. The clinical consequences of comorbidity. Journal of the American Academy of Child & Adolescent Psychiatry, 34(4), 510–519.

    Article  Google Scholar 

  • Lewinsohn, P., Rohde, P., Seeley, J., Klein, D., & Gotlib, I. (2003). Psychosocial functioning of young adults who have experienced and recovered from major depressive disorder during adolescence. Journal of Abnormal Psychology, 112, 353–363.

    PubMed  Article  Google Scholar 

  • Mercer, S., DeVinney, B., Fine, L., Green, L., & Dogherty, D. (2007). Study designs for effectiveness and translation research: Identifying trade-offs. American Journal of Preventive Medicine, 33, 139–154.

    PubMed  Article  Google Scholar 

  • Miller, T. R. (2004). The social costs of adolescent problem behavior. In A. Biglan, P. A. Brennan, S. L. Foster, & H. D. Holder (Eds.), Helping adolescents at risk: Prevention of multiple problem behaviors. New York: Guilford.

    Google Scholar 

  • Miller, W. R., & Rollnick, S. (2002). Motivational interviewing: Preparing people for change (2nd ed.). New York: Guilford.

    Google Scholar 

  • Muthén, B., & Muthén, L. (2000). Integrating person-centered and variable-centered analysis: Growth mixture modeling with latent trajectory classes. Alcoholism: Clinical and Experimental Research, 24, 882–891.

    Article  Google Scholar 

  • Muthén, B., & Muthén, L. (2007). Mplus user’s guide (4th ed.). Los Angeles, CA: Muthen & Muthen.

    Google Scholar 

  • NICHD Early Childcare Research Network, (2004). Trajectories of physical aggression from toddlerhood to middle childhood. In Monographs of the Society for Research in Child Development, vol. 69. Boston, MA: Blackwell.

  • Nottelmann, E. D., & Jensen, P. S. (1999). Comorbidity of depressive disorders: Rates, temporal sequencing, course, and outcome. In C. A. Essau, & F. Petermann (Eds.), Depressive disorders in children and adolescents: Epidemiology, risk factors, and treatment (pp. 137–191). Lanham, MD: Jason Aronson.

    Google Scholar 

  • Nylund, K., Asparouhov, T., & Muthén, B. (2007). Deciding on the number of classes in latent class analysis and growth mixture modeling: A Monte Carlo simulation study. Structural Equation Modeling: An Interdisciplinary Journal, 14, 535–569.

    Google Scholar 

  • Olds, D. L., Eckenrode, J., Henderson Jr., C. R., Kitzman, H., Powers, J., Cole, R., et al. (1997). Long-term effects of home visitation on maternal life course and child abuse and neglect. Fifteen-year follow-up of a randomized trial. Journal of the American Medical Association, 278(8), 637–643.

    PubMed  Article  Google Scholar 

  • Patterson, G. R., & Stoolmiller, M. (1991). Replications of a dual failure model for boys’ depressed mood. Journal of Consulting and Clinical Psychology, 59(4), 491–498.

    PubMed  Article  Google Scholar 

  • Radloff, L. S. (1977). The CES-D scale: A self-report depression scale for research in the general population. Applied Psychological Measurement, 1, 385–401.

    Article  Google Scholar 

  • Reboussin, B., Reboussin, D., Liang, K., & Anthony, J. (1998). Latent transition modeling of progression of health-risk behavior. Multivariate Behavioral Research, 33, 457–478.

    Article  Google Scholar 

  • Robinson, E., Eyberg, S., & Ross, A. (1980). The standardization of an inventory of child conduct problem behaviors. Journal of Clinical Child Psychology, 9, 22–29.

    Article  Google Scholar 

  • Rohde, P., Lewinsohn, P. M., & Seeley, J. R. (1995). Psychiatric co-morbidity with problematic alcohol use in high school students. Journal of American Academy of Child and Adolescent Psychiatry, 35, 101–109.

    Article  Google Scholar 

  • Shaw, D. S., Bell, R. Q., & Gilliom, M. (2000). A truly early starter model of antisocial behavior revisited. Clinical Child and Family Psychology Review, 3, 155–172.

    PubMed  Article  Google Scholar 

  • Shaw, D., Dishion, T., Connell, A., Wilson, M., & Gardner, F. (2008). Maternal depression as a mediator of intervention in reducing early child problem behaviour. Development and Psychopathology (in press).

  • Shaw, D. S., Dishion, T. J., Supplee, L., Gardner, F., & Arnds, K. (2006). A family-centered approach to the prevention of early-onset antisocial behavior: Two-year effects of the Family Check-Up in early childhood. Journal of Consulting and Clinical Psychology, 74, 1–9.

    PubMed  Article  Google Scholar 

  • Shaw, D. S., Gilliom, M., Ingoldsby, E. M., & Nagin, D. (2003). Trajectories leading to school-age conduct problems. Developmental Psychology, 39, 189–200.

    PubMed  Article  Google Scholar 

  • Shaw, D. S., & Gross, H. (2008). Early childhood and the development of delinquency: What we have learned from recent longitudinal research. In A. Lieberman (Ed.), The long view of crime: A synthesis of longitudinal research (pp. 79–127). New York: Springer.

    Chapter  Google Scholar 

  • Shaw, D. S., Owens, E. B., Vondra, J. I., Keenan, K., & Winslow, E. B. (1996). Early risk factors and pathways in the development of early disruptive behavior problems. Development and Psychopathology, 8, 679–699.

    Article  Google Scholar 

  • Shaw, D. S., Winslow, E. B., Owens, E. B., & Hood, N. (1998). Young children’s adjustment to chronic family adversity: A longitudinal study of low-income families. Journal of the American Academy of Child and Adolescent Psychiatry, 37, 545–553.

    PubMed  Article  Google Scholar 

  • Supplee, L., Unikel, E., & Shaw, D. (2007). Physical environmental adversity and the protective role of maternal monitoring in relation to early child conduct problems. Journal of Applied Developmental Psychology, 28, 166–183.

    PubMed  Article  Google Scholar 

  • Thomas, J., & Guskin, K. (2001). Disruptive behavior in young children: What does it mean? Journal of the American Academy of Child & Adolescent Psychiatry, 40, 44–51.

    Article  Google Scholar 

  • Vicary, J. R., & Lerner, J. V. (1983). Longitudinal predictors of drug use: Analyses from the New York Longitudinal Study. Journal of Drug Education, 13, 275–285.

    Google Scholar 

  • Warren, S., Huston, L., Egeland, B., & Sroufe, A. (1997). Child and adolescent anxiety disorders and early attachment. Journal of the American Academy of Child & Adolescent Psychiatry, 36, 637–644.

    Article  Google Scholar 

  • Webster-Stratton, C. (1990). Long-term follow-up of families with young conduct problem children: From preschool to grade school. Journal of Clinical Child Psychology, 19, 144–149.

    Article  Google Scholar 

Download references

Author information

Affiliations

Authors

Corresponding author

Correspondence to Arin Connell.

Rights and permissions

Reprints and Permissions

About this article

Cite this article

Connell, A., Bullock, B.M., Dishion, T.J. et al. Family Intervention Effects on Co-occurring Early Childhood Behavioral and Emotional Problems: A Latent Transition Analysis Approach. J Abnorm Child Psychol 36, 1211–1225 (2008). https://doi.org/10.1007/s10802-008-9244-6

Download citation

  • Published:

  • Issue Date:

  • DOI: https://doi.org/10.1007/s10802-008-9244-6

Keywords

  • Prevention
  • Early childhood
  • Externalizing
  • Internalizing
  • Comorbid
  • Latent transition analysis