Skip to main content

Correction of pseudophakic presbyopia using Lasik with aspheric ablation profiles and a micro-monovision protocol

Abstract

Purpose

To evaluate the outcomes of Lasik with aspheric ablation profiles and a micro-monovision protocol for correction of presbyopia in pseudophakic patients.

Patients and methods

This study included 50 pseudophakic eyes of 25 patients. Full ophthalmic examination, dominant eye tests and tests for tolerance of anisometropia (1 or 2 diopters) were done preoperatively. All cases were treated by Lasik with laser-blended vision technique. The dominant eye corrected to plano, and the nondominant eye corrected with near add in the range from 1.50 to 2.00 diopters. Excimer laser ablation was done using the MEL90 with a 250-Hz pulse rate (Carl Zeiss Meditec, Jena, Germany, Triple-A profile, Lasik mode). The follow-up period was 6 months with visits at 1, 3 and 6 months postoperatively.

Results

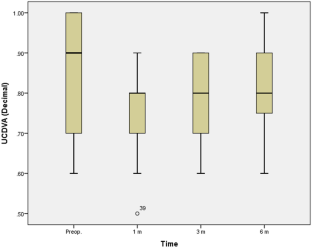
The mean postoperative uncorrected distant visual acuity at 1 month (0.74 ± 0.11) was significantly lower than the preoperative level (0.84 ± 0.14) (p < 0.001). But it improved at the 3rd (0.80 ± 0.09) and 6th months (0.82 ± 0.10) with no significant difference with the preoperative level (p = 0.344). The mean uncorrected near visual acuity was significantly higher at the 1st (2.94 ± 1.63 J), 3rd (2.95 ± 1.82 J) and 6th (2.92 ± 1.83 J) postoperative months than the preoperative level (2.26 ± 1.48 J) (p < 0.001). Insignificant change in stereopsis was found after surgery (p = 0.849). The micro-monovision was well tolerated (95.8%).

Conclusion

Lasik with aspheric ablation profiles and a micro-monovision protocol is an effective option for presbyopia correction in pseudophakic patients.

This is a preview of subscription content, access via your institution.

Fig. 1
Fig. 2

References

  1. Frick KD, Joy SM, Wilson DA (2015) The global burden of potential productivity loss from uncorrected presbyopia. Ophthalmology 122(8):1706–1710

    Article  Google Scholar 

  2. Heys KR, Cram SL, Truscott RJ (2004) Massive increase in the stiffness of the human lens nucleus with age: the basis for presbyopia? Mol Vis 10:956–963

    PubMed  Google Scholar 

  3. Stevens MA, Bergmanson JP (1989) Does sunlight cause premature aging of the crystalline lens? J Am Optom Assoc 60:660–663

    CAS  PubMed  Google Scholar 

  4. McGinty SJ, Truscott RJ (2006) Presbyopia: the first stage of nuclear cataract? Ophthalmic Res 38:137–148

    CAS  Article  Google Scholar 

  5. Holden BA, Fricke TR, Ho SM (2008) Global vision impairment due to uncorrected presbyopia. Arch Ophthalmol 126(12):1731–1739

    Article  Google Scholar 

  6. Sheedy JE, Hardy RF (2005) The optics of occupational progressive lenses. Optometry 76:432–441

    Article  Google Scholar 

  7. Charman WN (2014) Developments in the correction of presbyopia II: surgical approaches. Ophthalmic Physiol Opt 34(4):397–426

    Article  Google Scholar 

  8. Veronica V, Jorge L (2017) Corneal compensation of presbyopia: PresbyLASIK: an updated review. Eye Vis 4:11. https://doi.org/10.1186/s40662-017-0075-

    Article  Google Scholar 

  9. Levinger E, Trivizki O, Pokroy R, Levartovsky S, Sholohov G, Levinger S (2013) Monovision surgery in myopic presbyopes: visual function and satisfaction. Optom Vis Sci 90(10):1092–1097

    Article  Google Scholar 

  10. Ayoubi M, Leccisotti A, Goodall E, Mcgilligan V, Moore T (2010) Femtosecond laser in situ keratomileusis versus conductive keratoplasty to obtain monovision in patients with emmetropic presbyopia. J Cataract Refract Surg 36(6):997–1002

    Article  Google Scholar 

  11. Mojzis P, Peña-García P, Liehneova I, Ziak P, Alió J (2014) Outcomes of a new diffractive trifocal intraocular lens. J Cataract Refract Surg 40(1):60–69

    Article  Google Scholar 

  12. Mulet ME, Alio JL, Knorz MC (2009) Hydrogel intracorneal inlays for the correction of hyperopia: outcomes and complications after 5 years of follow-up. Ophthalmology 116(8):1455–1460

    Article  Google Scholar 

  13. Agresta B, Knorz MC, Kohnen T, Donatti C, Jackson D (2012) Distance and near visual acuity improvement after implantation of multifocal intraocular lenses in cataract patients with presbyopia: a systematic review. J Refract Surg 28(6):426–435

    Article  Google Scholar 

  14. Chang JS, Ng JC, Lau SY (2012) Visual outcomes and patient satisfaction after presbyopic lens exchange with a diffractive multifocal intraocular lens. J Refract Surg 28(7):468–474

    Article  Google Scholar 

  15. Alió JL, Amparo F, Ortiz D, Moreno L (2009) Corneal multifocality with excimer laser for presbyopia correction. Curr Opin Ophthalmol 20(4):264–271

    Article  Google Scholar 

  16. Gordon M (2010) Presbyopia corrections with the WaveLight ALLEGRETTO: 3-month results. J Refract Surg 26(10):S824–S826

    Article  Google Scholar 

  17. Kanellopoulos AJ, Asimellis G (2014) Hyperopic correction, clinical validation with epithelium-on and epithelium-off protocols, using variable fluence and topographically customized collagen corneal crosslinking. Clin Ophthalmol 8:2425–2433

    Article  Google Scholar 

  18. Kanellopoulos AJ, Asimellis G (2015) Presbyopic PiXL cross-linking. Curr Ophthalmol Rep 3(1):1–8

    Article  Google Scholar 

  19. Dan Z, Glenn I, Timothy J, Marine G (2012) LASIK for presbyopia correction in emmetropic patients using aspheric ablation profiles and a micro-monovision protocol with the Carl Zeiss Meditec MEL 80 and VisuMax. J Refract Surg 28(8):531–539

    Article  Google Scholar 

  20. Reinstein DZ, Couch DG, Archer TJ (2009) LASIK for hyperopic astigmatism and presbyopia using micro-monovision with the Carl Zeiss Meditec MEL80. J Refract Surg 25(1):37–58

    Article  Google Scholar 

  21. Reinstein DZ, Archer TJ, Gobbe M (2011) LASIK for myopic astigmatism and presbyopia using non-linear aspheric micro-monovision with the Carl Zeiss Meditec MEL 80 platform. J Refract Surg 27(1):23–37

    Article  Google Scholar 

  22. Cosar CB, Sener AB (2014) Supracor hyperopia and presbyopia correction: 6-month results. Eur J Ophthalmol 24(3):325–329

    Article  Google Scholar 

  23. Ryan A, O’Keefe M (2013) Corneal approach to hyperopic presbyopia treatment: six-month outcomes of a new multifocal excimer laser in situ keratomileusis procedure. J Cataract Refract Surg 39(8):1226–1233

    Article  Google Scholar 

  24. Elmohamady MN, Abdelghaffar W, Daifalla A, Salem T (2018) Evaluation of femtosecond laser in flap and cap creation in corneal refractive surgery for myopia: a 3-year follow-up. Clin Ophthalmol 12:935–942

    Article  Google Scholar 

  25. Ishrat S, Nema N, Chandravanshi SCL (2019) Incidence and pattern of dry eye after cataract surgery. Saudi J Ophthalmol 33(1):34–40

    Article  Google Scholar 

  26. Ayoubi MG, Leccisotti A, Goodall EA, McGilligan VE, Moore TC (2010) Femtosecond laser in situ keratomileusis versus conductive keratoplasty to obtain monovision in patients with emmetropic presbyopia. J Cataract Refract Surg 36(6):997–1002

    Article  Google Scholar 

  27. Pinelli R, Ortiz D, Simonetto A, Bacchi C, Sala E, Alio JL (2008) Correction of presbyopia in hyperopia with a center-distance, paracentral-near technique using the Technolas 217z platform. J Refract Surg 24(5):494–500

    Article  Google Scholar 

  28. Epstein RL, Gurgos MA (2009) Presbyopia treatment by monocular peripheral presbyLASIK. J Refract Surg 25(6):516–523

    Article  Google Scholar 

  29. Jung SW, Kim MJ, Park SH, Joo CK (2008) Multifocal corneal ablation for hyperopic presbyopes. J Refract Surg 24(9):903–910

    Article  Google Scholar 

  30. El Danasoury AM, Gamaly TO, Hantera M (2009) Multizone LASIK with peripheral near zone for correction of presbyopia in myopic and hyperopic eyes: 1-year results. J Refract Surg 25(3):296–305

    Article  Google Scholar 

  31. Bouzoukis DI, Kymionis GD, Limnopoulou AN, Kounis GA, Pallikaris IG (2011) Femtosecond laser-assisted corneal pocket creation using a mask for inlay implantation. J Refract Surg 27(11):818–820

    Article  Google Scholar 

  32. Bouzoukis DI, Kymionis GD, Panagopoulou SI et al (2012) Visual outcomes and safety of a small diameter intrastromal refractive inlay for the corneal compensation of presbyopia. J Refract Surg 28(3):168–173

    Article  Google Scholar 

  33. Huseynova T, Kanamori T, Waring GO, Tomita M (2014) Outcomes of small aperture corneal inlay implantation in patients with pseudophakia. J Refract Surg 30(2):110–116

    Article  Google Scholar 

  34. Alarcon A, Anera RG, Villa C, Jimenez del Barco L, Gutierrez R (2011) Visual quality after monovision correction by laser in situ keratomileusis in presbyopic patients. J Cataract Refract Surg 37:1629–1635

    Article  Google Scholar 

  35. Garcia-Gonzalez M, Teus MA, Hernandez-Verdejo JL (2010) Visual outcomes of LASIK-induced monovision in myopic patients with presbyopia. Am J Ophthalmol 150:381–386

    Article  Google Scholar 

  36. Romero M, Castillo A, Carmona D, Palomino C (2019) Visual quality after presbyopia correction with excimer laser ablation using micromonovision and modulation of spherical aberration. J Cataract Refract Surg 45:457–464

    Article  Google Scholar 

Download references

Funding

This study was funded by the authors.

Author information

Affiliations

Authors

Corresponding author

Correspondence to Mohamed Nagy Elmohamady.

Ethics declarations

Conflict of interest

The authors declare that they have no conflict of interest.

Ethical approval

All procedures in this study were approved by the Benha University Research Ethics Committee and with the 1964 Declaration of Helsinki and its later revisions or equivalent ethical standards.

Informed consent

Informed consent was obtained from all participants included in this study.

Additional information

Publisher's Note

Springer Nature remains neutral with regard to jurisdictional claims in published maps and institutional affiliations.

Rights and permissions

Reprints and Permissions

About this article

Verify currency and authenticity via CrossMark

Cite this article

Elmohamady, M.N., Abdelghaffar, W., Bayoumy, A.S.M. et al. Correction of pseudophakic presbyopia using Lasik with aspheric ablation profiles and a micro-monovision protocol. Int Ophthalmol 41, 79–86 (2021). https://doi.org/10.1007/s10792-020-01554-7

Download citation

  • Received:

  • Accepted:

  • Published:

  • Issue Date:

  • DOI: https://doi.org/10.1007/s10792-020-01554-7