Abstract
Background
Hydroxychloroquine (HCQ) is a widely prescribed medication to patients with systemic lupus erythematosus (SLE), with potential anti-inflammatory effects. This study was performed to investigate the efficacy of HCQ therapy by serial assessment of disease activity and serum levels of proinflammatory cytokines in SLE patients.
Methods
In this prospective cohort study, 41 newly diagnosed SLE patients receiving 400Â mg HCQ per day were included. Patients requiring statins and immunosuppressive drugs except prednisolone at doses lower than 10Â mg/day were excluded. Outcome measures were assessed before commencement of HCQ therapy (baseline visit) as well as in two follow-up visits (1 and 2Â months after beginning the HCQ therapy). Serum samples of 41 age-matched healthy donors were used as controls.
Results
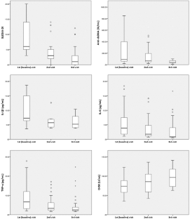
Median levels of IL-1β (p < 0.001), IL-6 (p = 0.001), and TNF-α (p < 0.001) were significantly higher, whereas, median CH50 level was significantly lower (p < 0.001) in SLE patients compared with controls. Two-month treatment with HCQ resulted in significant decrease in SLEDAI-2K (p < 0.001), anti-dsDNA (p < 0.001), IL-1β (p = 0.003), IL-6 (p < 0.001) and TNF-α (p < 0.001) and a significant increase in CH50 levels (p = 0.012). The reductions in SLEDAI-2K and serum levels of IL-1β and TNF-α were significantly greater in the first month compared with the reductions in the second month.
Conclusion
HCQ therapy is effective on clinical improvement of SLE patients through interfering with inflammatory signaling pathways, reducing anti-DNA autoantibodies and normalizing the complement activity.
This is a preview of subscription content, access via your institution.

References
Akhavan PS, Su J, Lou W, Gladman DD, Urowitz MB, Fortin PR (2013) The early protective effect of hydroxychloroquine on the risk of cumulative damage in patients with systemic lupus erythematosus. J Rheumatol 40:831–841
Aringer M, Smolen J (2008) The role of tumor necrosis factor-alpha in systemic lupus erythematosus. Arthritis Res Ther 10:202
Arora V, Verma J, Marwah V, Kumar A, Anand D, Das N (2012) Cytokine imbalance in systemic lupus erythematosus: a study on northern Indian subjects. Lupus 21:596–603
Aviña-Zubieta JA, Esdaile JM (2012) Antimalarial Medications. In: Wallace DJ, Hahn BH (eds) Dubois’ lupus erythematosus and related syndromes, 8th edn. Saunders, Elsevier, Philadelphia, pp 601–608
Cairoli E, Rebella M, Danese N, Garra V, Borba EF (2012) Hydroxychloroquine reduces low-density lipoprotein cholesterol levels in systemic lupus erythematosus: a longitudinal evaluation of the lipid-lowering effect. Lupus 21:1178–1182
Cheng Q, Mumtaz IM, Khodadadi L, Radbruch A, Hoyer BF, Hiepe F (2013) Autoantibodies from long-lived ‘memory’ plasma cells of NZB/W mice drive immune complex nephritis. Ann Rheum Dis 72:2011–2017
Costabile M (2010) Measuring the 50% haemolytic complement (CH50) activity of serum. J Vis Exp. https://doi.org/10.3791/1923
Danis VA, Rathjen DA, Brooks PM (1992) The effect of slow acting antirheumatic drugs on the production of cytokines by human monocytes. Inflammopharmacology 1:315–327
Dörner T, Giesecke C, Lipsky PE (2011) Mechanisms of B cell autoimmunity in SLE. Arthritis Res Ther 13:243
Durcan L, Petri M (2016) Immunomodulators in SLE: clinical evidence and immunologic actions. J Autoimmun 74:73–84
Eilertsen GØ, Nikolaisen C, Becker-Merok A, Nossent JC (2011) Interleukin-6 promotes arthritis and joint deformation in patients with systemic lupus erythematosus. Lupus 20:607–613
Ferraccioli G, Houssiau FA (2013) Which B-cell subset should we target in lupus? Ann Rheum Dis 72:1891–1892
Fox RI, Kang HI (1993) Mechanism of action of antimalarial drugs: inhibition of antigen processing and presentation. Lupus 2(Suppl 1):S9–S12
Gabay C, Cakir N, Moral F, Roux-Lombard P, Meyer O, Dayer JM, Vischer T, Yazici H, Guerne PA (1997) Circulating levels of tumor necrosis factor soluble receptors in systemic lupus erythematosus are significantly higher than in other rheumatic diseases and correlate with disease activity. J Rheumatol 24:303–308
Gladman DD, Ibañez D, Urowitz MB (2002) Systemic lupus erythematosus disease activity index 2000. J Rheumatol 29:288–291
Hsieh SC, Sun KH, Tsai CY, Tsai YY, Tsai ST, Huang DF, Han SH, Yu HS, Yu CL (2001) Monoclonal anti-double stranded DNA antibody is a leucocyte-binding protein to up-regulate interleukin-8 gene expression and elicit apoptosis of normal human polymorphonuclear neutrophils. Rheumatology (Oxford) 40:851–858
Illei GG, Tackey E, Lapteva L, Lipsky PE (2004) Biomarkers in systemic lupus erythematosus: II. Markers of disease activity. Arthritis Rheum 50:2048–2065
Jung H, Bobba R, Su J, Shariati-Sarabi Z, Gladman DD, Urowitz M, Lou W, Fortin PR (2010) The protective effect of antimalarial drugs on thrombovascular events in systemic lupus erythematosus. Arthritis Rheum 62:863–868
Koenig KF, Groeschl I, Pesickova SS, Tesar V, Eisenberger U, Trendelenburg M (2012) Serum cytokine profile in patients with active lupus nephritis. Cytokine 60:410–416
Leffler J, Bengtsson AA, Blom AM (2014) The complement system in systemic lupus erythematosus: an update. Ann Rheum Dis 73:1601–1606
Lenert PS (2006) Targeting Toll-like receptor signaling in plasmacytoid dendritic cells and autoreactive B cells as a therapy for lupus. Arthritis Res Ther 8:203
Manukyan G, Ghazaryan K, Ktsoyan Z, Khachatryan Z, Kelly D, Tatyan M, Agababova M, Aminov R (2010) Comparative analysis of cytokine profiles in autoinflammatory and autoimmune conditions. Cytokine 50:146–151
Monteith AJ, Kang S, Scott E, Hillman K, Rajfur Z, Jacobson K, Costello MJ, Vilen BJ (2016) Defects in lysosomal maturation facilitate the activation of innate sensors in systemic lupus erythematosus. Proc Natl Acad Sci USA 113:E2142–E2151
Müller-Calleja N, Manukyan D, Canisius A, Strand D, Lackner KJ (2017) Hydroxychloroquine inhibits proinflammatory signalling pathways by targeting endosomal NADPH oxidase. Ann Rheum Dis 76:891–897
Pacheco Y, Barahona-Correa J, Monsalve DM, Acosta-Ampudia Y, Rojas M, RodrÃguez Y, Saavedra J, RodrÃguez-Jiménez M, Mantilla RD, RamÃrez-Santana C, Molano-González N, Anaya JM (2017) Cytokine and autoantibody clusters interaction in systemic lupus erythematosus. J Transl Med 15:239
Petri M, Orbai AM, Alarcón GS, Gordon C, Merrill JT, Fortin PR, Bruce IN, Isenberg D, Wallace DJ, Nived O, Sturfelt G, Ramsey-Goldman R, Bae SC, Hanly JG, Sánchez-Guerrero J, Clarke A, Aranow C, Manzi S, Urowitz M, Gladman D, Kalunian K, Costner M, Werth VP, Zoma A, Bernatsky S, Ruiz-Irastorza G, Khamashta MA, Jacobsen S, Buyon JP, Maddison P, Dooley MA, van Vollenhoven RF, Ginzler E, Stoll T, Peschken C, Jorizzo JL, Callen JP, Lim SS, Fessler BJ, Inanc M, Kamen DL, Rahman A, Steinsson K, Franks AG Jr, Sigler L, Hameed S, Fang H, Pham N, Brey R, Weisman MH, McGwin G Jr, Magder LS (2012) Derivation and validation of the Systemic Lupus International Collaborating Clinics classification criteria for systemic lupus erythematosus. Arthritis Rheum 64:2677–2686
Ponticelli C, Moroni G (2017) Hydroxychloroquine in systemic lupus erythematosus (SLE). Expert Opin Drug Saf 16:411–419
Rainsford KD, Parke AL, Clifford-Rashotte M, Kean WF (2015) Therapy and pharmacological properties of hydroxychloroquine and chloroquine in treatment of systemic lupus erythematosus, rheumatoid arthritis and related diseases. Inflammopharmacology 23:231–269
Raley MJ, Schwacha MG, Loegering DJ (1997) Lysosomotropic agents ameliorate macrophage dysfunction following the phagocytosis of IgG-coated erythrocytes: a role for lipid peroxidation. Inflammation 21:619–628
Ripley BJ, Goncalves B, Isenberg DA, Latchman DS, Rahman A (2005) Raised levels of interleukin 6 in systemic lupus erythematosus correlate with anaemia. Ann Rheum Dis 64:849–853
Ruiz-Irastorza G, Ramos-Casals M, Brito-Zeron P, Khamashta MA (2010) Clinical efficacy and side effects of antimalarials in systemic lupus erythematosus: a systematic review. Ann Rheum Dis 69:20–28
Sabry A, Sheashaa H, El-Husseini A, Mahmoud K, Eldahshan KF, George SK, Abdel-Khalek E, El-Shafey EM, Abo-Zenah H (2006) Proinflammatory cytokines (TNF-alpha and IL-6) in Egyptian patients with SLE: its correlation with disease activity. Cytokine 35:148–153
Segal R, Dayan M, Zinger H, Mozes E (2001) Suppression of experimental systemic lupus erythematosus (SLE) in mice via TNF inhibition by an anti-TNFalpha monoclonal antibody and by pentoxiphylline. Lupus 10:23–31
Shariati-Sarabi Z, Monzavi SM, Ranjbar A, Esmaily H, Etemadrezaie H (2013a) High disease activity is associated with high disease damage in an Iranian inception cohort of patients with lupus nephritis. Clin Exp Rheumatol 31:69–75
Shariati-Sarabi Z, Ranjbar A, Monzavi SM, Esmaily H, Farzadnia M, Zeraati AA (2013b) Analysis of clinicopathologic correlations in Iranian patients with lupus nephritis. Int J Rheum Dis 16:731–738
Silva JC, Mariz HA, Rocha LF Jr, Oliveira PS, Dantas AT, Duarte AL, Pitta Ida R, Galdino SL, Pitta MG (2013) Hydroxychloroquine decreases Th17-related cytokines in systemic lupus erythematosus and rheumatoid arthritis patients. Clinics (Sao Paulo) 68:766–771
Spronk PE, Limburg PC, Kallenberg CG (1995) Serological markers of disease activity in systemic lupus erythematosus. Lupus 4:86–94
Studnicka-Benke A, Steiner G, Petera P, Smolen J (1996) Tumour necrosis factor alpha and its soluble receptors parallel clinical disease and autoimmune activity in systemic lupus erythematosus. Br J Rheumatol 35:1067–1074
Su X, Zhou T, Yang P, Edwards CK, Mountz JD (1998) Reduction of arthritis and pneumonitis in motheaten mice by soluble tumor necrosis factor receptor. Arthritis Rheum 41:139–149
Sun KH, Yu CL, Tang SJ, Sun GH (2000) Monoclonal anti-double-stranded DNA autoantibody stimulates the expression and release of IL-1beta, IL-6, IL-8, IL-10 and TNF-alpha from normal human mononuclear cells involving in the lupus pathogenesis. Immunology 99:352–360
Tackey E, Lipsky PE, Illei GG (2004) Rationale for interleukin-6 blockade in systemic lupus erythematosus. Lupus 13:339–343
Talaat RM, Mohamed SF, Bassyouni IH, Raouf AA (2015) Th1/Th2/Th17/Treg cytokine imbalance in systemic lupus erythematosus (SLE) patients: correlation with disease activity. Cytokine 72:146–153
Tunnicliffe DJ, Singh-Grewal D, Kim S, Craig JC, Tong A (2015) Diagnosis, monitoring, and treatment of systemic lupus erythematosus: a systematic review of clinical practice guidelines. Arthritis Care Res (Hoboken) 67:1440–1452
Umare V, Pradhan V, Nadkar M, Rajadhyaksha A, Patwardhan M, Ghosh KK, Nadkarni AH (2014) Effect of proinflammatory cytokines (IL-6, TNF-α, and IL-1β) on clinical manifestations in Indian SLE patients. Mediators Inflamm 2014:385297
van den Borne BE, Dijkmans BA, de Rooij HH, le Cessie S, Verweij CL (1997) Chloroquine and hydroxychloroquine equally affect tumor necrosis factor-alpha, interleukin 6, and interferon-gamma production by peripheral blood mononuclear cells. J Rheumatol 24:55–60
van Loosdregt J, Spreafico R, Rossetti M, Prakken BJ, Lotz M, Albani S (2013) Hydroxychloroquine preferentially induces apoptosis of CD45RO + effector T cells by inhibiting autophagy: a possible mechanism for therapeutic modulation of T cells. J Allergy Clin Immunol 131:1443–1446
Willis R, Seif AM, McGwin G Jr, Martinez-Martinez LA, González EB, Dang N, Papalardo E, Liu J, Vilá LM, Reveille JD, Alarcón GS, Pierangeli SS (2012) Effect of hydroxychloroquine treatment on pro-inflammatory cytokines and disease activity in SLE patients: data from LUMINA (LXXV), a multiethnic US cohort. Lupus 21:830–835
Willis R, Smikle M, DeCeulaer K, Romay-Penabad Z, Papalardo E, Jajoria P, Harper B, Murthy V, Petri M, Gonzalez EB (2017) Clinical associations of proinflammatory cytokines, oxidative biomarkers and vitamin D levels in systemic lupus erythematosus. Lupus 26:1517–1527
Wozniacka A, Carter A, McCauliffe DP (2002) Antimalarials in cutaneous lupus erythematosus: mechanisms of therapeutic benefit. Lupus 11:71–81
Wozniacka A, Lesiak A, Narbutt J, McCauliffe DP, Sysa-Jedrzejowska A (2006) Chloroquine treatment influences proinflammatory cytokine levels in systemic lupus erythematosus patients. Lupus 15:268–275
Zharkova O, Celhar T, Cravens PD, Satterthwaite AB, Fairhurst AM, Davis LS (2017) Pathways leading to an immunological disease: systemic lupus erythematosus. Rheumatology (Oxford) 56(suppl_1):i55–i66
Acknowledgements
The authors would like to thank vice chancellor for research of Mashhad University of Medical Sciences who kindly supported this study. The authors would also like to acknowledge Dr. K. Hashemzadeh and the staff of the department of internal medicine, Imam Reza Hospital, for their kind assistance during this study.
Author information
Authors and Affiliations
Corresponding authors
Ethics declarations
Conflict of interest
All authors declared that they have no conflict of interest.
Rights and permissions
About this article
Cite this article
Monzavi, S.M., Alirezaei, A., Shariati-Sarabi, Z. et al. Efficacy analysis of hydroxychloroquine therapy in systemic lupus erythematosus: a study on disease activity and immunological biomarkers. Inflammopharmacol 26, 1175–1182 (2018). https://doi.org/10.1007/s10787-018-0512-y
Received:
Accepted:
Published:
Issue Date:
DOI: https://doi.org/10.1007/s10787-018-0512-y
Keywords
- Complement system proteins
- Cytokines
- Hydroxychloroquine
- Systemic lupus erythematosus
- Treatment outcome