Skip to main content

Optimization of cell-based assays to quantify the anti-inflammatory/allergic potential of test substances in 96-well format

Abstract

Objective

There is an insistent need for robust, reliable, and optimized assays for screening novel drugs targeting the inflammatory/allergic markers. The present study describes about the optimization of eight cell-based assays utilizing mammalian cell lines in 96-well format for quantifying anti-inflammatory/allergic drug candidates.

Materials and methods

We estimated the inhibitory response of reference compounds: 1400W dihydrochloride on LPS-induced NO release, celecoxib on LPS-induced PGE2 production and dexamethasone on LPS-induced pro-inflammatory cytokines IL-1 beta, IL-6, and TNF-alpha production by J774A.1 murine macrophages. Response of acetylsalicylic acid and celecoxib was studied on A23187-induced TXB2 production; captopril on A23187-stimulated LTB4 production by HL-60 cells. Effect of ketotifen fumarate was evaluated on A23187-elicited histamine release by RBL-2H3 cells. Each experiment was repeated twice to assess the reproducibility and suitability of the assays by determining appropriate statistical tools viz. %CV, S/B and Z′ factor.

Results

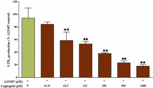
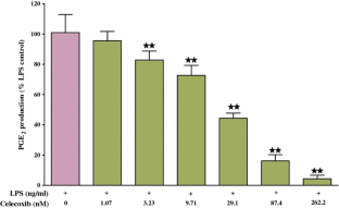
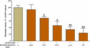
1400W dihydrochloride was capable of inhibiting LPS-induced NO levels (IC50 = 10.7 μM). Dexamethasone attenuated LPS-induced IL-1 beta (IC50 = 70 nM), IL-6 (IC50 = 58 nM) and TNF-alpha (IC50 = 44 nM) release, whereas celecoxib, a specific COX-2 inhibitor showed marked reduction in LPS-induced PGE2 (IC50 = 23 nM) production. Captopril (IC50 = 48 μM) and ketotifen fumarate (IC50 = 36.4 μM) demonstrated potent inhibitory effect against A23187-stimulated LTB4 and histamine levels, respectively. Both acetylsalicylic acid (IC50 = 5.5 μM) and celecoxib (IC50 = 7.9 nM) exhibited concentration-dependent decrease in TXB2 production. Results for all the cell assays from two experiments showed a Z′ factor varying from 0.30 to 0.99; the S/B ratio ranged from 2.39 to 24.92; %CV ranged between 1.52 and 20.14.

Conclusion

The results proclaim that these cell-based assays can act as ideal tools for screening new anti-inflammatory/anti-allergic compounds.

This is a preview of subscription content, access via your institution.

Fig. 1
Fig. 2
Fig. 3
Fig. 4
Fig. 5
Fig. 6

Abbreviations

NO:

Nitric oxide

PGE2 :

Prostaglandin E2

IL-1 beta:

Interleukin-1 beta

IL-6:

Interleukin-6

TNF-alpha:

Tumor necrosis factor-alpha

LTB4 :

Leukotriene B4

TXB2 :

Thromboxane B2

LPS:

Lipopolysaccharide

A23187:

Calcimycin

%CV:

Coefficient of variation

S/B :

Signal to background ratio

SD:

Standard deviation

IC50 :

Half maximal inhibitory concentration

ATCC:

American type culture collection

References

  • Alderton WK, Cooper CE, Knowles RG (2001) Nitric oxide synthases: structure, function and inhibition. Biochem J 357:593–615

    PubMed  Article  CAS  Google Scholar 

  • Bharathi DV, Naidu A, Jagadeesh B, Laxmi KN, Laxmi PR, Reddy PR, Mullangi R (2008) Development and validation of a sensitive LC-MS/MS method with electrospray ionization for quantization of zafirlukast, a selective leukotriene antagonist in human plasma: application to a clinical pharmacokinetic study. Biomed Chromatogr 22:645–653

    PubMed  Article  CAS  Google Scholar 

  • Borish L (2003) Allergic rhinitis: systemic inflammation and implications for management. J Allergy Clin Immunol 112:1021–1031

    PubMed  Article  CAS  Google Scholar 

  • Chang SW, Fedderson CO, Henson PM (1987) Platelet-activating factor mediates hemodynamic changes and lung injury in endotoxin-treated rats. J Clin Invest 79:1498–1509

    PubMed  Article  CAS  Google Scholar 

  • Chin J, Kostura MJ (1993) Dissociation of IL-1 beta synthesis and secretion in human blood monocytes stimulated with bacterial cell wall products. J Immunol 151:5574–5585

    PubMed  CAS  Google Scholar 

  • Collins SJ (1987) HL-60 promyelocytic leukemia cell line: proliferation, differentiation, and cellular oncogene expression. Blood 70:1233–1244

    PubMed  CAS  Google Scholar 

  • Dinarello CA (1988) Biology of interleukin-1. FASEB J 2:108–115

    PubMed  CAS  Google Scholar 

  • Gierse JK, Koboldt C, Walker MC, Seibert K, Isakson PC (1999) Kinetic basis for selective inhibition of cyclooxygenases. Biochem J 339:607–614

    PubMed  Article  CAS  Google Scholar 

  • Grant SM, Goa KL, Fitton A, Sorkin EM (1990) Ketotifen: a review of its pharmacodynamic and pharmacokinetic properties, and therapeutic use in asthma and allergic disorders. Drugs 40:412–448

    PubMed  Article  CAS  Google Scholar 

  • Hamberg M, Svensson J, Samuelsson B (1975) Thromboxanes: a new group of biologically active compounds derived from prostaglandin endoperoxides. Proc Natl Acad Sci USA 72:2994–2998

    PubMed  Article  CAS  Google Scholar 

  • Hawinger J (2001) Innate immunity and inflammation: a transcriptional paradigm. Immunol Res 23:99–109

    Article  Google Scholar 

  • Hawkey CJ (1999) COX-2 inhibitors. Lancet 353:307–314

    PubMed  Article  CAS  Google Scholar 

  • Homaidan FR, Chakroun I, Abi Haide H, El-Sabban ME (2002) Protein regulators of eicosanoid synthesis: role in inflammation. Curr Protein Peptide Sci 3:467–484

    Article  CAS  Google Scholar 

  • Hsu MF, Lu MC, Tsao LT, Kuan YH, Chen CC, Wang JP (2004) Mechanisms of the influence of magnolol on eicosanoid metabolism in neutrophils. Biochem Pharmacol 67:831–840

    PubMed  Article  CAS  Google Scholar 

  • Huang M, Sharma S, Mao JT, Dubinett SM (1996) Non-small cell lung cancer derived soluble mediators and prostaglandin E2 enhance peripheral blood lymphocyte IL-10 transcription and protein production. J Immunol 157:5512–5520

    PubMed  CAS  Google Scholar 

  • Jovanovic DV, Fermandes JC, Martell-Pelletier J, Joliecoeur FC, Reboul P, Laufer S, Tries S, Pelletier JP (2001) In vivo dual inhibition of cyclooxygenase an lipoxygenase by ML-3000 reduces the progression of experimental osteoarthritis: suppression of collagenase-I and interleukin-1 beta synthesis. Arthritis Rheum 44:2320–2330

    PubMed  Article  CAS  Google Scholar 

  • Kankuri E, Vaali K, Knowles R, Lahde M, Korpela R, Vapaatalo H, Moilanen E (2001) Suppression of acute experimental colitis by an iNOS-selective inhibitor [N-3-(aminomethyl) benzyl] acetamidine (1400W). J Pharmacol Exp Ther 298:1128–1132

    PubMed  CAS  Google Scholar 

  • Kim EY, Moudgil KD (2008) Regulation of autoimmune inflammation by pro-inflammatory cytokines. Immunol Lett 120:1–5

    PubMed  Article  CAS  Google Scholar 

  • Klenke FM, Gebhard MM, Ewerbeck V, Abdollahi A, Huber PE, Sckell A (2006) The selective COX-2 inhibitor, Celecoxib suppresses angiogenesis and growth of secondary bone tumors: an intravital microscopy study in mice. BioMed Central Cancer 6:9

    PubMed  Google Scholar 

  • Kobayashi M, Matsushita H, Yoshida K, Tsukiyama RI, Sugimura T, Yamamoto K (2004) In vitro and in vivo anti-allergic activity of soy sauce. Int J Mol Med 14:879–884

    PubMed  CAS  Google Scholar 

  • Kunihiko S, Joseph RB, Dominic AM, Timothy DB (1994) Captopril inhibits neutrophil synthesis of Leukotriene B4 in vitro and in vivo. J Immunol 153:5750–5759

    Google Scholar 

  • Lei MG, Morrison DC (1988) Specific endotoxin Lipopolysaccharide-binding proteins on murine splenocytes. I. Detection of lipopolysaccharide binding sites on splenocytes and splenocytes subpopulations. J Immunol 141:996–1005

    PubMed  CAS  Google Scholar 

  • Marks JD, Marks CB, Luce JM, Montgomery AB, Turner J, Metz CA, Murray JF (1990) Plasma tumor necrosis factor in patients with septic shock: mortality rate, incidence of adult respiratory distress syndrome, and effects of methylprednisolone administration. Am Rev Respir Dis 141:94–97

    PubMed  CAS  Google Scholar 

  • Matthy MA, Zimmerman G (2005) Acute lung injury and the acute respiratory distress syndrome: four decades of inquiry into pathogenesis and rational management. Am J Respir Cell Mol Biol 33:319–327

    Article  Google Scholar 

  • McCann DS, Tokarsky J, Sorkin RP (1981) Radioimmunoassay for plasma thromboxane B2. Clin Chem 27:1417–1420

    PubMed  CAS  Google Scholar 

  • Morrison DC, Ryan JL (1987) Endotoxins and disease mechanisms. Ann Rev Med 38:417

    PubMed  Article  CAS  Google Scholar 

  • Mosman T (1983) Rapid colorimetric assay for cellular growth and survival: application to proliferation and cytotoxicity assays. J Immunol Methods 65:55–63

    Article  Google Scholar 

  • Mukherjee D, Nissen SE, Topol EJ (2001) Risk of cardiovascular events associated with selective COX-2 inhibitors. J Am Med Assoc 286:954–959

    Article  CAS  Google Scholar 

  • Naureckiene S, Edris W, Ajit SK, Katz AH, Sreekumar K, Rogers KE, Kennedy JD, Jones PG (2007) Use of a murine cell line for identification of human nitric oxide synthase inhibitors. J Pharmacol Toxicol Meth 55:303–313

    Article  CAS  Google Scholar 

  • Orning L, Kirvi G, Bild G, Gierse J, Aykent S, Fitzpatrick FA (1991) Inhibition of Leukotriene A4 hydrolase/aminopeptidase by captopril. J Biol Chem 266:16507–16511

    PubMed  CAS  Google Scholar 

  • Passante E, Ehrhardt C, Sheridan H, Frankish N (2009) RBL-2H3 cells are an imprecise model for mast cell mediator release. Inflamm Res 58:611–618

    PubMed  Article  CAS  Google Scholar 

  • Rola-Pleszczynskic M, Stankova J (1992) Cytokine gene regulation by PGE2, LTB4 and PAF. Mediat Inflamm 1:5–8

    Article  Google Scholar 

  • Schade UF, Ernst M, Reinke M, Wolter DT (1989) Lipoxygenase inhibitors suppress formation of tumor necrosis factor in vitro and in vivo. Biochem Biophys Res Comm 159:748–754

    PubMed  Article  CAS  Google Scholar 

  • Scheinman RL, Cogswell PC, Lofquist AK, Baldwin AS (1995) Role of transcriptional activation of IKB-alpha in mediation of immunosuppression by glucocorticoids. Science 270:283–286

    PubMed  Article  CAS  Google Scholar 

  • Smits HH, Grunberg K, Derijk RH, Sterk PJ, Hiemstra PS (1998) Cytokine release and its modulation by dexamethasone in whole blood following exercise. Clin Exp Immunol 111:463–468

    PubMed  Article  CAS  Google Scholar 

  • Stolina M, Sharma S, Zhu L, Dubinett SM (2000) Lung cancer cyclooxygenase-2 dependent inhibition of dendritic cell maturation and function. Proc Am Assoc Cancer Res 41:1–619

    Google Scholar 

  • Sun X, Hsueh W (1988) Bowel necrosis induced by tumor necrosis factor in rats is mediated by platelet activating factor. J Clin Invest 81:1328–1331

    PubMed  Article  CAS  Google Scholar 

  • Ünver Y, Erden M (1994) Plasma Thromboxane B2 and Leukotriene B4 levels in patients with coronary atherosclerosis. J Islam Acad Sci 7:151–156

    Google Scholar 

  • Uozumi N, Kume K, Nagase T, Nakatani N, Ishiin S, Tashiro F, Komagata Y, Maki K, Ikuta K, Ouchi Y, Miyazaki J, Shimizu T (1997) Role of cytosolic phospholipase A2 in allergic response and parturition. Nature 390:618–622

    PubMed  Article  CAS  Google Scholar 

  • Vane JR, Botting RM (1998) Mechanism of action of nonsteroidal anti-inflammatory drugs. Am J Med 104(3A):2S–8S

    Google Scholar 

  • Weissman BA, Gross SS (2001) Measurement of NO and NO synthase. Curr Protoc Neurosci 7:13

    PubMed  Google Scholar 

  • Yoon WJ, Ham YM, Kim SS, Yoo BS, Moon JY, Baik JS, Lee NH, Hyun CG (2009) Suppression of pro-inflammatory cytokines, iNOS, and COX-2 expression by brown algae Sargassum micracanthum in RAW 264.7 macrophages. EurAsia J BioSci 3:130–143

    Article  Google Scholar 

  • Zaitsu M, Hamasaki Y, Yamamoto S, Kita M, Hayasaki R, Muro E, Kobayashi I, Matsuo M, Ichimaru T, Miyazaki S (1998) Effect of dexamethasone on leukotriene synthesis in DMSO-stimulated HL-60 cells. Prostaglandins Leukot Essent Fatty Acids 59:385–393

    PubMed  Article  CAS  Google Scholar 

  • Zaitsu M, Ishii E, Hamasaki Y (2002) Induction of thromboxane A2 synthesizing enzymes in DMSO-induced granulocytic differentiation of HL-60 cells. Prostaglandins Leukot Essent Fatty Acids 67:405–410

    PubMed  Article  CAS  Google Scholar 

  • Zhang JM, An J (2007) Cytokines, inflammation and pain. Int Anesthesiol Clin 45:27–37

    PubMed  Article  CAS  Google Scholar 

  • Zhang Z, DuBois RN (2000) Par-4, a pro-apoptotic gene, is regulated by NSAIDs in human colon carcinoma cells. Gastroenterology 118:1012–1017

    PubMed  Article  CAS  Google Scholar 

  • Zhang J, Chung TDY, Oldenburg KR (1999) A simple statistical parameter for use in evaluation and validation of high throughput screening assays. J Biomol Screen 4:67–73

    PubMed  Article  Google Scholar 

  • Ziboh VA, Wong T, Wu MC, Yunis AA (1986) Lipoxygenation of arachidonic acid by differentiated and undifferentiated human promyelocytic HL-60 cells. J Lab Clin Med 108:161–166

    PubMed  CAS  Google Scholar 

  • Zimmerman BJ, Guilloy DJ, Grisham MB, Gaginella TS, Gragner DN (1990) Role of leukotriene B4 in granulocyte infiltration in to the post ischemic feline intestine. Gastroenterology 99:1358–1361

    PubMed  CAS  Google Scholar 

Download references

Acknowledgments

We thank Mr. P. Thiyagarajan and Mr. H.B. Deepak, Department of Cellular Assay, for their technical assistance. The authors are grateful to Mr. Prashanth D’Souza, R&D Centre, Natural Remedies Pvt. Ltd., Bangalore, India, for providing technical details about assay performance measures.

Author information

Affiliations

Authors

Corresponding author

Correspondence to C. V. Chandrasekaran.

Rights and permissions

Reprints and Permissions

About this article

Cite this article

Chandrasekaran, C.V., Edwin Jothie, R., Kapoor, P. et al. Optimization of cell-based assays to quantify the anti-inflammatory/allergic potential of test substances in 96-well format. Inflammopharmacol 19, 169–181 (2011). https://doi.org/10.1007/s10787-010-0065-1

Download citation

  • Received:

  • Accepted:

  • Published:

  • Issue Date:

  • DOI: https://doi.org/10.1007/s10787-010-0065-1

Keywords

  • 1400W dihydrochloride
  • Dexamethasone
  • Celecoxib
  • Captopril
  • Acetylsalicylic acid
  • Ketotifen fumarate
  • Inflammatory mediators
  • Z′ factor
  • S/B
  • %CV