Abstract
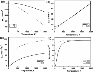
With a motivation to understand the effect of pressure on the thermophysical properties of a transition metal carbide, zirconium carbide (ZrC) in rock salt (RS) and CsCl phases, a systematic study of the thermodynamic functions with pressure for ZrC in both phases is performed. First-principles theoretical calculations are used, based on density functional perturbation theory within the generalized gradient approximation and with a quasi-harmonic approximation. The results demonstrate that the free and internal energies are greater while the specific heat at constant volume and entropy is smaller for the RS phase of ZrC than for the CsCl phase. The pressure significantly affects the thermodynamic functions. The results also demonstrate that the effect of increasing pressure on ZrC is the same as that of decreasing temperature. The k-point convergence of the phonon spectrum at zero pressure is also analyzed, which may be useful for investigating the pressure-induced dynamic instabilities in the transition metal carbide, ZrC.
This is a preview of subscription content, access via your institution.



References
V.A. Gubanov, A.L. Ianovsky, V.P. Zhukov, Electronic Structure of Refractory Carbides and Nitrides (Cambridge University Press, Cambridge, 1994)
E.K. Storms, The Refractory Carbides (Academic Press, New York, 1967)
L.E. Toth, Transition Metal Carbides and Nitrides (Academic Press, New York, 1971)
E. Rudy, Compendium of Phase Diagram Data (Metals and Ceramics Division, Air Force Materials Laboratory, Wright-Patterson AFB, 1969), p. 162
D.L. Price, B.R. Cooper, J.M. Wills, Phys. Rev. B 46, 11368 (1992)
X.M. He, L. Shu, H.B. Li, J. Mater. Res. 14, 615 (1999)
S. Mecabih, N. Amrane, Z. Nabi, B. Abbar, H. Aourag, Phys. A 285, 392 (2000)
J.F. Alward, C.Y. Fong, M. El-Batnouny, F. Wooten, Phys. Rev. B 12, 1105 (1975)
H. Wipf, M.V. Klein, W.S. Williams, Phys. Status Solidi B 108, 489 (1981)
F.A. Modine, W. Haywood, C.Y. Allison, Phys. Rev. B 32, 7743 (1985)
L.N. Grossman, J. Am. Ceram. Soc. 48, 236 (1995)
H. Fu, W. Peng, T. Gao, Mater. Chem. Phys. 115, 2 (2009)
J. Kim, Sh Kang, J. Alloys Compd. 574, 99 (2012)
A. Abdollahi, Phys. B Condens. Matter 410, 57 (2013)
N. Rathod, S.K. Gupta, P.K. Jha, Phase Transitions 85, 1060 (2012)
Z. Lv, H. Hu, C. Wu, S. Cui, G. Zhang, W. Feng, Phys. B 406, 2750 (2011)
A. Hao, T. Zhou, Y. Zhu, X. Zhang, R. Liu, Mater. Chem. Phys. 129, 99 (2011)
P. de Giannozzi, S. Gironcoli, P. Pavone, S. Baroni, Phys. Rev. B 43, 7231 (1991)
X. Gonze, B. Amadon, P.-M. Anglade, J.-M. Beuken, F. Bottin, P. Boulanger, F. Bruneval, D. Caliste, R. Caracas, M. Cote, T. Deutsch, L. Genovese, Ph. Ghosez, M. Giantomassi, S. Goedecker, D.R. Hamann, P. Hermet, F. Jollet, G. Jomard, S. Leroux, M. Mancini, S. Mazevet, M.J.T. Oliveira, G. Onida, Y. Pouillon, T. Rangel, G.-M. Rignanese, D. Sangalli, R. Shaltaf, M. Torrent, M.J. Verstraete, G. Zerah, J.W. Zwanziger, Comput. Phys. Commun. 180, 2582 (2009)
X. Gonze, G.-M. Rignanese, M. Verstraete, J.-M. Beuken, Y. Pouillon, R. Caracas, F. Jollet, M. Torrent, G. Zerah, M. Mikami, Ph. Ghosez, M. Veithen, J.-Y. Raty, V. Olevano, F. Bruneval, L. Reining, R. Godby, G. Onida, D.R. Hamann, D.C. Allan, Z. Kristallogr. 220, 558 (2005)
J.P. Perdew, K. Burke, M. Ernzerhof, Phys. Rev. Lett. 77, 3865 (1996)
H.J. Monhorst, J.D. Pack, Phys. Rev. B 13, 5188 (1976)
V. Mankad, N. Rathod, S.D. Gupta, S.K. Gupta, P.K. Jha, Mater. Chem. Phys. 129, 816 (2011)
C. Lee, X. Gonze, Phys. Rev. B 51, 8610 (1995)
P.K. Jha, S.P. Sanyal, Phys. C 271, 6 (1996)
W. Nernst, A.F. Lindemann, Z. Elektrochem. Angew. Phys. Chem. 17, 817 (1911)
A.T. Petit, P.L. Dulong, Ann. Chim. Phys. 10, 395 (1819)
Acknowledgments
Financial assistance from Department of Science and Technology, New Delhi and Department of Atomic Energy, Mumbai, Govt. of India is highly acknowledged.
Author information
Authors and Affiliations
Corresponding author
Rights and permissions
About this article
Cite this article
Rathod, N., Gupta, S.K., Shinde, S. et al. First-Principles Investigation of Thermophysical Properties of Cubic ZrC Under High Pressure. Int J Thermophys 34, 2019–2026 (2013). https://doi.org/10.1007/s10765-013-1498-8
Received:
Accepted:
Published:
Issue Date:
DOI: https://doi.org/10.1007/s10765-013-1498-8
Keywords
- First-principles
- Phonons
- Thermodynamic functions
- ZrC