Abstract
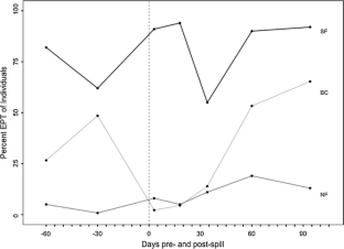
Benthic macroinvertebrates show seasonal fluctuations with variability in hydrologic conditions. Coastal northern California (USA) is located in a Mediterranean-climate area, which is characterized by predictable wet and dry seasons, and consequently stream flows. Monthly sampling over multiple years (2004–2005, 2010–2013) was used to examine seasonal variability in taxonomic composition and abundances of benthic macroinvertebrates at three sites in Strawberry Creek, an urban stream on the University of California, Berkeley campus. Although wet and dry seasons at all sites had similar taxa occurrences, seasonal variation in taxa abundances was evident at two sites. The effects of an accidental oil spill in winter 2011 were examined using a Before–After design. Three days post-spill, macroinvertebrate richness and abundances at the impacted site decreased dramatically compared with pre-spill levels; taxonomic composition recovered one year later. Resilience was likely from drift via an unaffected stream fork and the flushing effects of winter stream flows. The combination of monthly sampling over multiple years and the opportunistic evaluation of responses to an acute disturbance enabled us to identify five taxa that are common, abundant, and easily identified, which can be used as a framework for enhancing future volunteer-based biomonitoring research projects.





Similar content being viewed by others
References
Anderson, N. H. & J. R. Bourne, 1974. Bionomics of three species of glossosomatid caddis flies (Trichoptera: Glossosomatidae) in Oregon. Canadian Journal of Zoology 52: 405–411.
Ball, J. E., L. A. Bêche, P. K. Mendez & V. H. Resh, 2013. Biodiversity in Mediterranean-climate streams of California. Hydrobiologia 719: 187–213.
Barbour, M. T., J. Gerritsen, B. D. Snyder & J. B. Stribling, 1999. Rapid bioassessment protocols for use in streams and wadeable rivers: periphyton, benthic macroinvertebrates and fish, 2nd ed. Environmental Protection Agency, Office of Water, Washington.
Bêche, L. A. & V. H. Resh, 2005. Preliminary studies on the life history of a wood-boring caddisfly, Heteroplectron californicum (Trichoptera: Calamoceratidae) in a coastal California stream. Proceedings of the 11th International Symposium on Trichoptera (2003, Osaka): 39–43.
Bêche, L. A., E. P. McElravy & V. H. Resh, 2006. Long-term seasonal variation in the biological traits of benthic-macroinvertebrates in two Mediterranean-climate streams in California, USA. Freshwater Biology 51: 56–75.
Bêche, L. A., P. G. Connors, V. H. Resh & A. M. Merenlender, 2009. Resilience of fishes and invertebrates to prolonged drought in two California streams. Ecography 32: 778–788.
Benke, A. C., A. D. Huryn, L. A. Smock & J. B. Wallace, 1999. Length-mass relationships for freshwater macroinvertebrates in North America with particular reference to the southeastern United States. Journal of the North American Benthological Society 18: 308–343.
Bogan, M. T. & D. A. Lytle, 2007. Seasonal flow variation allows “time-sharing” by disparate aquatic insect communities in montane desert streams. Freshwater Biology 52: 290–304.
Bonada, N. & V. H. Resh, 2013. Mediterranean-climate streams and rivers: geographically separated but ecologically comparable freshwater systems. Hydrobiologia 719: 1–29.
Burgherr, P., J. Ward & C. Robinson, 2002. Seasonal variation in zoobenthos across habitat gradients in an alpine glacial floodplain (Val Roseg, Swiss Alps). Journal of the North American Benthological Society 21: 561–575.
Chang, F.-H., E. C. Marquis, C. W. Chang, G. C. Gong & C. H. Hsieh, 2013. Scaling of growth rate and mortality with size and its consequence on size spectra of natural microphytoplankton assemblages in the East China Sea. Biogeosciences 10: 5267–5280.
Chang, F.-H., J. E. Lawrence, B. Rios-Touma & V. H. Resh, 2014. Tolerance values of benthic macroinvertebrates for stream biomonitoring: assessment of assumptions underlying scoring systems worldwide. Environmental Monitoring and Assessment 186: 2135–2149.
Charbonneau, R. & V. H. Resh, 1992. Strawberry Creek on the University of California, Berkeley Campus: a case history of urban stream restoration. Aquatic Conservation 2: 293–307.
Crunkilton, R. L. & R. M. Duchrow, 1990. Impact of a massive crude oil spill on the invertebrate fauna of a Missouri Ozark stream. Environmental Pollution 63: 13–31.
Doledéc, S., 1989. Seasonal dynamics of benthic macroinvertebrate communities in the Lower Ardkhe River (France). Hydrobiologa 182: 73–89.
Etkin, D. S., 2001. Analysis of oil spill trends in the United States and worldwide. International Oil Spill Conference: 1297–1299.
Gasith, A. & V. H. Resh, 1999. Streams in Mediterranean climate regions: abiotic influences and biotic responses to predictable seasonal events. Annual Review of Ecology and Systematics 30: 51–81.
Hachmöller, B., R. A. Matthews & D. F. Brakke, 1991. Effects of riparian community structure, sediment size, and water quality on the macroinvertebrate communities in a small, suburban stream. Northwest Science 65: 125–132.
Hemphill, N. & S. D. Cooper, 1983. The effect of physical disturbance on the relative abundances of two filter-feeding insects in a small stream. Oecologia 58: 378–382.
Hilty, J. & A. Merenlender, 2000. Faunal indicator taxa selection for monitoring ecosystem health. Biological Conservation 92: 185–197.
Kruskal, W. H. & W. A. Wallis, 1952. Use of ranks in one-criterion variance analysis. Journal of the American Statistical Association 47: 583–621.
Kruskal, J. B., 1964. Nonmetric multidimensional scaling: a numerical method. Psychometrika 29: 115–129.
Luthy, R. G., D. L. Sedlak, M. H. Plumlee, D. Austin & V. H. Resh, 2015. Wastewater-effluent-dominated streams as ecosystem-management tools in a drier climate. Frontiers in Ecology and the Environment 13: 477–485.
Lytle, D. A. & B. L. Peckarsky, 2001. Spatial and temporal impacts of a diesel fuel spill on stream invertebrates. Freshwater Biology 46: 693–704.
Matthews, G. B., R. A. Matthews & B. Hachmöller, 1991. Mathematical analysis of temporal and spatial trends in the benthic macroinvertebrate communities of a small stream. Canadian Journal of Fisheries and Aquatic Sciences 48: 2184–2190.
Matthews, R. A., W. G. Landis & G. B. Matthews, 1996. The community conditioning hypothesis and its applications to environmental toxicology. Environmental Toxicology and Chemistry 15: 597–603.
McElravy, E. P., G. A. Lamberti & V. H. Resh, 1989. Stream year-to-year variation in the aquatic macroinvertebrate fauna of a northern California stream. North American Benthological Society 8: 51–63.
Méthot, G., C. Hudon, P. Gagnon, B. Pinel-Alloul, A. Armellin & A.-M. Tourville Poirier, 2012. Macroinvertebrate size–mass relationships: how specific should they be? Freshwater Science 31: 750–764.
Noss, R. F., 1990. Indicators for monitoring approach biodiversity: a hierarchical approach. Conservation Biology 4: 355–364.
Ode, P., 2003. List of California macroinvertebrate taxa and standard taxonomic effort. California Department of Fish & Game, Aquatic Bioassessment Laboratory. www.safit.org.
Paul, M. J. & J. L. Meyer, 2001. Streams in the urban landscape. Annual Review of Ecology and Systematics 32: 333–365.
Poff, N. L. & R. A. Matthews, 1985. The replacement of Stenonema spp. by Caenis diminuta Walker as the numerical dominant in the mayfly assemblage of a thermally-stressed stream. Journal of Freshwater Ecology 3: 19–26.
Poff, N. L., M. A. Palmer, P. L. Angermeier, R. L. Vadas, C. C. Hakenkamp, A. Bely, P. Arensburger & A. P. Martin, 1993. Size structure of the metazoan community in a Piedmont stream. Oecologia 95: 202–209.
Power, M. E., M. S. Parker & W. E. Dietrich, 2008. Seasonal reassembly of a river food web: floods, droughts, and impacts of fish. Ecological Monographs 78: 263–282.
Reece, P. F., T. B. Reynoldson, J. S. Richardson & D. M. Rosenberg, 2001. Implications of seasonal variation for biomonitoring with predictive models in the Fraser River catchment, British Columbia. Canadian Journal of Fisheries and Aquatic Sciences 58: 1411–1417.
Resh, V. H., A. V. Brown, A. P. Covich, M. E. Gurtz, H. W. Li, G. W. Minshall, S. R. Reice, A. L. Sheldon, J. B. Wallace & C. Robert, 1988. The role of disturbance in stream ecology. Journal of the North American Benthological Society 7: 433–455.
Resh, V. H., L. A. Bêche & E. P. McElravy, 2005. How common are rare taxa in long-term benthic macroinvertebrate surveys? Journal of the North American Benthological Society 24: 976–989.
Resh, V. H., L. A. Bêche, J. E. Lawrence, R. D. Mazor, E. P. McElravy, A. P. O’Dowd, D. Rudnick & S. M. Carlson, 2013. Long-term population and community patterns of benthic macroinvertebrates and fishes in Northern California Mediterranean-climate streams. Hydrobiologia 719: 93–118.
Reynoldson, T. B., D. M. Rosenberg & V. H. Resh, 2001. Comparison of models predicting invertebrate assemblages for biomonitoring in the Fraser River catchment, British Columbia. Canadian Journal of Fisheries and Aquatic Sciences 58: 1395–1410.
Richardson, J. S., 2001. Life cycle phenology of common detritivores from a temperate rainforest stream. Hydrobiologia 455: 87–95.
Robinson, C. T., L. M. Reed & G. W. Minshall, 1992. Influence of flow regime on life history, production, and genetic structure of Baetis tricaudatus (Ephemeroptera) and Hesperoperla pacifica (Plecoptera). Journal North American Benthological Society 11: 278–289.
Robinson, C. T., U. Uehlinger & M. Hieber, 2001. Spatio-temporal variation in macroinvertebrate assemblages of glacial streams in the Swiss Alps. Freshwater Biology 46: 1663–1672.
Rosenberg, D. M. & A. P. Wiens, 1976. Community and species responses of Chironomidae (Diptera) to contamination of fresh waters by crude oil and petroleum products, with special reference to the Trail River, Northwest Territories. Journal of the Fisheries Research Board of Canada 33: 1955–1963.
Rosenberg, D. M., H. V. Danks & D. M. Lehmkuhl, 1986. Importance of insects in environmental impact assessment. Environmental Management 10: 773–783.
Solimini, A. G., V. Della Bella & M. Bazzanti, 2005. Macroinvertebrate size spectra of Mediterranean ponds with differing hydroperiod length. Aquatic Conservation 15: 601–611.
Šporka, F., H. E. Vlek, E. Bulánková & I. Krno, 2006. Influence of seasonal variation on bioassessment of streams using macroinvertebrates. Hydrobiologia 566: 543–555.
Strayer, D., 1986. The size structure of a lacustrine zoobenthic community. Oecologia 69: 513–516.
Walsh, C. J., A. H. Roy, J. W. Feminella, P. D. Cottingham, P. M. Groffman & R. P. Morgan II, 2005. The urban stream syndrome: current knowledge and the search for a cure. Journal of the North American Benthological Society 24: 706–723.
Warwick, R. M., 1984. Species size distributions in marine benthic communities. Oecologia 61: 32–41.
White, E. B., B. J. Enquist & J. L. Green, 2008. On estimating the exponent of power-law frequency distributions. Ecology 89: 905–912.
Acknowledgements
We thank T. Mendez for help with collections and information about species life histories, and F. H. Chang for assistance with size spectra comparisons. We also appreciate the assistance of K. Schwab, K. Velasco, and A. Cornejo with sample processing. In addition, we thank T. Pine and the University of California, Berkeley Department of Environmental Health and Safety (EH&S) for information regarding the accidental oil spill and hydrocarbons in soil samples. We acknowledge the Margaret C. Walker Fund for graduate research in Systematic Entomology and the Edward A. Colman Fellowship in Watershed Management from the Department of Environmental Science, Policy, and Management at the University of California, Berkeley, for support to the senior author.
Author information
Authors and Affiliations
Corresponding author
Additional information
Handling editor: Luigi Naselli-Flores
Rights and permissions
About this article
Cite this article
Peterson, M.G., Hunt, L., Donley Marineau, E.E. et al. Long-term studies of seasonal variability enable evaluation of macroinvertebrate response to an acute oil spill in an urban Mediterranean-climate stream. Hydrobiologia 797, 319–333 (2017). https://doi.org/10.1007/s10750-017-3194-3
Received:
Revised:
Accepted:
Published:
Issue Date:
DOI: https://doi.org/10.1007/s10750-017-3194-3


