Abstract
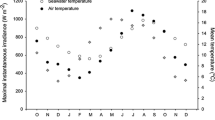
Gross primary production (GPP) and respiration (R) in an intertidal Zostera noltii (Hornemann, 1832) community were estimated each month from in situ CO2 flux measurements during the emersion period in the Bay of Morlaix (France). Simultaneously, the Chlorophyll a biomass of Z. noltii leaves, associated epiphytes and sediment within the benthic chambers were also monitored. The significant positive exponential relationship established between R and the maximum daily temperature emphasized that temperature was a good predictor of seasonal variation in the community R in Z. noltii bed. In contrast, the amplitude of the fitted curve on GPP was low and represented <25% of the annual mean value (90.9 ± 15.2 mgC m−2 h−1). The Chlorophyll a biomass of sediment was high (133.70 ± 22.96 mg m−2) but it was likely constituted by detritus which did not contribute much to the community GPP. The Chlorophyll a biomass of associated epiphytes was higher in winter and varied over the year inversely with Z. noltii. Therefore, the asynchronous dynamic of primary producers could support a constant rate of production at community scale over the year.





Similar content being viewed by others
References
Asmus, H. & R. Asmus, 1985. The importance of grazing food chain for energy flow and production in three intertidal sand bottom communities of the northern Wadden Sea. Helgoländer Meeresuntersuchungen 39: 273–301.
Asmus, H. & R. Asmus, 2000. Material exchange and food web of seagrass beds in the Sylt-Rømø Bight: how significant are community changes at the ecosystem level? Helgoland Marine Research 54: 137–150.
Auby, I., 1991. Contribution à l’étude des herbiers de Zostera noltii dans le bassin d’Arcachon : dynamique, production et dégradation, macrofaune associée. Thèse de doctorat, Université de Bordeaux1, 162 pp.
Auby, I. & P.-J. Labourg, 1996. Seasonal dynamics of Zostera noltii Hornem. in the bay of Arcachon (France). Journal of Sea Research 35: 269–277.
Baird, D., H. Asmus & R. Asmus, 2007. Trophic dynamics of eight intertidal communities of the Sylt-Romo Bight ecosystem, northern Wadden Sea. Marine Ecology Progress Series 351: 25–41.
Blanchard, G. F., J.-M. Guarini, P. Richard, P. Gros & F. Mornet, 1996. Quantifying the short-term temperature effect on light saturated photosynthesis of intertidal microphytobenthos. Marine Ecology Progress Series 134: 309–313.
Borowitzka, M. A., P. S. Lavery & M. van Keulen, 2006. Epiphytes of seagrasses. In Larkum, A. W. D., R. J. Orth & C. M. Duarte (eds), Seagrasses: Biology, Ecology and Conservation. Springer, Dordrecht: 441–461.
Borum, J., 1987. Dynamics of epiphyton on eelgrass (Zostera maina L.) leaves: relative roles of algal growth, herbivory, and substratum turnover. Limnology and Oceanography 32: 986–992.
Charpy-Roubaud, C. & A. Sournia, 1990. The comparative estimation of phytoplanktonic, microphytobenthic and macrophytobenthic primary production in the oceans. Marine Microbial Food Webs 4: 31–57.
del Giorgio, P. A. & P. J. Williams, 2005. Respiration in Aquatic Ecosystems. Oxford University Press, Oxford.
Duarte, C. M., 1989. Temporal biomass variability and production/biomass relationships of seagrass communities. Marine Ecology Progress Series 51: 269–276.
Duarte, C. M. & J. Cebrian, 1996. The fate of marine autotrophic production. Limnology and Oceanography 41: 1758–1766.
Golléty, C., A. Migné & D. Davoult, 2008. Benthic metabolism on a sheltered rocky shore: role of the canopy in the carbon budget. Journal of Phycology 44: 1146–1153.
Hasegawa, N., M. Hori & H. Mukai, 2007. Seasonal shifts in seagrass bed primary producers in a cold-temperate estuary: dynamics of eelgrass Zostera marina and associated epiphytic algae. Aquatic Botany 86: 337–345.
Holme, N. A. & A. D. McIntyre, 1984. Methods for the Study of Marine Benthos. Blackwell Scientific Publication, London.
Holmer, M. & S. L. Nielsen, 1997. Sediment sulfur dynamics related to biomass- density patterns in Zostera marina (eelgrass) beds. Marine Ecology Progress Series 146: 163–171.
Hubas, C., D. Davoult, T. Cariou & L. P. Artigas, 2006. Factors controlling benthic metabolism during low tide along a granulometric gradient in an intertidal bay (Roscoff Aber Bay, France). Marine Ecology Progress Series 316: 53–68.
Isaksen, M. F. & K. Finster, 1996. Sulphate reduction in the root zone of the seagrass Zostera noltii on the intertidal flats of a coastal lagoon (Arcachon, France). Marine Ecology Progress Series 137: 187–194.
Jacobs, R. P. W. M., 1979. Distribution and aspects of the production and biomass of eelgrass, Zostera marina L., at Roscoff, France. Aquatic Botany 7: 151–172.
Jeffrey, S. W. & G. F. Humphrey, 1975. New spectrophotometric equations for determining chlorophylls a, b, c1 and c2 in higher plants, algae and natural phytoplankton. Biochemical Physiological Pflanzen 167: 191–194.
Kirchman, D. L., L. Mazzella, R. S. Alberte & R. Mitchell, 1984. Epiphytic bacterial production on Zostera marina. Marine Ecology Progress Series 15: 117–123.
Lebreton, B., P. Richard, G. Radenac, M. Bordes, M. Bréret, C. Arnaud, F. Mornet & G. F. Blanchard, 2009. Are epiphytes a significant component of intertidal Zostera noltii beds? Aquatic Botany 91: 82–90.
Leuschner, C., S. Landwehr & U. Mehlig, 1998. Limitation of carbon assimilation of intertidal Zostera noltii et Z. marina by desiccation at low tide. Aquatic Botany 62: 171–176.
Marba, N., J. Cebrian, S. Enriquez & C. M. Duarte, 1996. Growth patterns of Western Mediterranean seagrasses: species-specific responses to seasonal forcing. Marine Ecology Progress Series 133: 203–215.
Martin, S., J. Clavier, J.-M. Guarini, L. Chauvaud, C. Hily, J. Grall, G. Thouzeau, F. Jean & J. Richard, 2005. Comparison of Zostera marina and maerl community metabolism. Aquatic Botany 83: 161–174.
Mazzella, L. & R. S. Alberte, 1986. Light adaptation and the role of autotrophic epiphytes in primary production of the temperate seagrass, Zostera marina L. Journal of Experimental Marine Biology and Ecology 100: 165–180.
McRoy, C. P. & C. McMillan, 1977. Production ecology and physiology of seagrasses. In McRoy, C. P. & C. Helfferich (eds), Seagrass Ecosystems: A Scientific Perspective. Dekker, New York: 53–81.
Migné, A., D. Davoult, N. Spilmont, D. Menu, G. Boucher, J.-P. Gattuso & H. Rybarczyk, 2002. A closed-chamber CO2-flux method for estimating intertidal primary production and respiration under emersed conditions. Marine Biology 140: 865–869.
Pérez-Lloréns, J. L. & F. X. Niell, 1993. Seasonal dynamics of biomass and nutrient content in the intertidal seagrass Zostera noltii Hornem. from Palmones River estuary, Spain. Aquatic Botany 46: 49–66.
Pergent-Martini, C., V. Pasqualini, L. Ferrat, G. Pergent & C. Fernandez, 2005. Seasonal dynamics of Zostera noltii Hornem. in two Mediterranean lagoons. Hydrobiologia 543: 233–243.
Philippart, C. J. M., 1995. Seasonal variation in growth and biomass of an intertidal Zostera noltii stand in the Dutch Wadden Sea. Netherland Journal of Sea Research 33: 205–218.
Plus, M., J.-M. Deslous-Paoli, I. Auby & F. Dagault, 2001. Factors influencing primary production of seagrass beds (Zostera noltii Hornem.) in the Thau lagoon (French Mediterranean coast). Journal of Experimental Marine Biology and Ecology 259: 63–84.
Plus, M., A. Chapelle, A. Ménesguen, J.-M. Deslous-Paoli & I. Auby, 2003. Modelling seasonal dynamics of biomasses and nitrogen contents in a seagrass meadow (Zostera noltii Hornem.): application to the Thau lagoon (French Mediterranean coast). Ecological Modelling 161: 211–236.
Schaal, G., P. Riera & C. Leroux, 2008. Trophic coupling between two adjacent benthic food webs within a man-made intertidal area: a stable isotopes evidence. Estuarine, Coastal and Shelf Science 77: 523–534.
Sfriso, A. & P. F. Ghetti, 1998. Seasonal variation in biomass, morphometric parameters and production of seagrasses in the lagoon of Venice. Aquatic Botany 61: 207–223.
Silva, J., R. Santos, M. L. Calleja & C. M. Duarte, 2005. Submerged versus air-exposed intertidal macrophyte productivity: from physiological to community-level assessments. Journal of Experimental Marine Biology and Ecology 317: 87–95.
van Es, F. B., 1982. Community metabolism of intertidal flats in the Ems-Dollard estuary. Marine Biology 66: 95–108.
van Lent, F., P. H. Nienhuis & J. M. Verschuure, 1991. Production and biomass of the seagrasses Zostera noltii Hornem. and Cymodecea nodosa (Ucria) Aschers. at the Banc d’Arguin (Mauritania, NW Africa): a preliminary approach. Aquatic Botany 41: 353–367.
Vermaat, J. E. & F. C. A. Verhagen, 1996. Seasonal variation in the intertidal seagrass Zostera noltii Hornem.: coupling demographic and physiological patterns. Aquatic Botany 52: 259–281.
Vermaat, J. E., M. J. M. Hootsmans & P. H. Nienhuis, 1987. Seasonal dynamics and leaf growth of Zostera noltii hornem., a perennial intertidal seagrass. Aquatic Botany 28: 287–299.
Wittmann, K. L., L. Mazzella & E. Fresi, 1981. Age specific patterns of leaf growth: their determination and importance for epiphytic colonization in Posidonia oceanica (L.) Delile. Rapport Commission Internationale Mer Mediterranée 27: 187–191.
Acknowledgements
This study forms part of the PhD thesis of V. Ouisse and was financially supported by the ‘Ministère de l’Enseignement Supérieur et de la Recherche’. The authors would like to thank all of the Benthic Ecology Team, especially R. Michel for his participation in field samplings, C. Six for epiphyte determination and L. Noël and A. Cahill for help with English translation.
Author information
Authors and Affiliations
Corresponding author
Additional information
Guest editors: M. Holmer & N. Marbà / Dynamics and functions of seagrass ecosystems
Rights and permissions
About this article
Cite this article
Ouisse, V., Migné, A. & Davoult, D. Seasonal variations of community production, respiration and biomass of different primary producers in an intertidal Zostera noltii bed (Western English Channel, France). Hydrobiologia 649, 3–11 (2010). https://doi.org/10.1007/s10750-010-0254-3
Published:
Issue Date:
DOI: https://doi.org/10.1007/s10750-010-0254-3


