Abstract
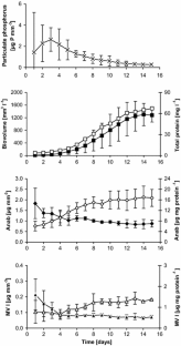
Cyanobacteria produce a large number of bioactive oligopeptides with yet unknown functions. Here the effect of environmental factors on the production of two anabaenopeptins and a microviridin by Planktothrix agardhii was investigated. The results were compared with previous findings on the production of a third family of oligopeptides, the highly toxic microcystins, to test the hypothesis that environmental factors affect the production of different types of cyanobacterial bioactive oligopeptides in a similar manner. Despite marked changes in culture conditions, variations in the amount of cell-bound anabaenopeptins and microviridin I per biomass unit did not exceed a factor of 5. High amounts of cell-bound anabaenopeptins and microviridin I per Planktothrix biovolume were associated with a high availability of nitrogen and phosphorus. The production of anabaenopeptins and microviridin continued as long as the Planktothrix cultures grew. In all cases the oligopeptide net production rate was linearly correlated to the growth rate of Planktothrix, identifying the growth activity as a major regulator of anabaenopeptin and microviridin production. The concentration of anabaenopeptins and microviridins in nature may therefore be estimated from the biomass concentration of their producers. These findings are similar to those previously reported for microcystins and thus support the idea that different types of bioactive cyanobacterial oligopeptides may share common regulation patterns. This may be seen as a hint to a mutual function of cyanobacterial oligopeptides, although further studies are needed to draw final conclusions on this issue.






References
Blom, J. F., B. Bister, D. Bischoff, G. Nicholson, G. Jung, R. D. Süssmuth & F. Jüttner, 2003. Oscillapeptin J, a new grazer toxin of the freshwater cyanobacterium Planktothrix rubescens. Journal of Natural Products 66: 431–434.
Briand, J. F., S. Jacquet, C. Flinois, C. Avois-Jacquet, C. Maisonnette, B. Leberre & J. F. Humbert, 2005. Variations in the microcystin production of Planktothrix rubescens (cyanobacteria) assessed from a four-year survey of Lac du Bourget (France) and from laboratory experiments. Microbial Ecology 50: 418–428.
Carmichael, W. W., 1992. Cyanobacteria secondary metabolites—the cyanotoxins. Journal of Applied Bacteriology 72: 445–459.
Chorus, I. & J. Bartram, 1999. Toxic Cyanobacteria in Water: A Guide to their Public Health Consequences, Monitoring and Management. Spon Press, New York.
Christiansen, G., J. Fastner, M. Erhard, T. Börner & E. Dittmann, 2003. Microcystin biosynthesis in Planktothrix: genes, evolution and manipulation. Journal of Bacteriology 185: 564–572.
Codd, G. A., 1995. Cyanobacterial toxins: occurrence, properties and biological significance. Water Science and Technology 32: 149–156.
Fujii, K., K. Sivonen, E. Naganawa & K.-I. Harada, 2000. Non-toxic peptides from toxic cyanobacteria. Tetrahedron 56: 725–733.
Herbert, D., P. J. Phipps & R. E. Strange, 1971. Chemical analysis of microbial cells. Methods in Microbiology 5B: 209–374.
Hesse, K., E. Dittmann & T. Börner, 2001. Consequences of impaired microcystin production for light-dependent growth and pigmentation of Microcystis aeruginosa PCC 7806. FEMS Microbiological Ecology 37: 39–43.
Jungmann, D. & J. Benndorf, 1994. Toxicity to Daphnia of a compound extracted from laboratory and natural Microcystis spp., and the role of microcystins. Freshwater Biology 32: 13–20.
Kaebernick, M. & B. A. Neilan, 2001. Ecological and molecular investigations of cyanotoxin production. FEMS Microbiological Ecology 35: 1–9.
Murakami, M., H. J. Shin, H. Matsuda, K. Ishida & K Yamaguchi, 1997. A cyclic peptide, anabaenopeptin B, from the cyanobacterium Oscillatoria agardhii. Phytochemistry 44: 449–452.
Murakami, M., S. Suzuki, Y. Itou, S. Kodani & K. Ishida, 2000. New anabaenopeptins, potent carboxypeptidase-A inhibitors from the cyanobacterium Aphanizomenon flos-aquae. Journal of Natural Products 63: 1280–1282.
Namikoshi, M. & K. L. Rinehart, 1996. Bioactive compounds produced by cyanobacteria. Journal of Industrial Microbiological Biotechnology 17: 373–384.
Orr, P. T. & G. J. Jones, 1998. Relationship between microcystin production and cell division rates in nitrogen-limited Microcystis aeruginosa cultures. Limnology and Oceanography 43: 1604–1614.
Padisák, J., 2003. Phytoplankton. In O’Sullivan, P. E. & C. S. Reynolds (eds), The Lakes Handbook 1. Limnology and Limnetic Ecology. Blackwell Science Ltd, Oxford, 251–308.
Rantala, A., D. P. Fewer, M. Hisbergues, L. Rouhiainen, J. Vaitomaa, T. Börner & K. Sivonen, 2004. Phylogenetic evidence for the early evolution of microcystin synthesis. Proceedings of the National Academy of Science USA 13: 568–573.
Repka, S., M. Koivula, V. Harjunpa, L. Rouhiainen & K. Sivonen, 2004. Effects of phosphate and light on growth of and bioactive peptide production by the cyanobacterium Anabaena strain 90 and its anabaenopeptilide mutant. Applied and Environmental Microbiology 70: 4551–4560.
Rohrlack, T., K. Christoffersen, P. E. Hansen, W. Zhang, O. Czarnecki, M. Henning, J. Fastner, M. Erhard, B. A. Neilan & M. Kaebernick, 2003. Isolation, characterization, and quantitative analysis of microviridin J, a new Microcystis metabolite toxic to Daphnia. Journal of Chemical Ecology 29: 1757–1770.
Rohrlack, T., K. Christoffersen & U. Friberg-Jensen, 2005. Frequency of inhibitors of daphnid trypsin in the widely distributed cyanobacterial genus Planktothrix. Environmental Microbiology 7: 1667–1669.
Rouhiainen, L., L. Paulin, S. Suomalainen, H. Hyytiainen, W. Buikema, R. Haselkorn & K. Sivonen, 2000. Genes encoding synthetases of cyclic depsipeptides, anabaenopeptilides, in Anabaena strain 90. Molecular Microbiology 37: 156–167.
Sano, T. & K. Kaya, 1995. Oscillamide Y, a chymotrypsin inhibitor from toxic Oscillatoria agardhii. Tetrahedron Letters 36: 5933–5936.
Sivonen, K, 1990. Effects of temperature, nitrate, orthophosphate, and bacteria on growth of and hepatotoxin production by Oscillatoria agardhii strains. Applied and Environmental Microbiology 56: 2658–2666.
Shin, H. J., M. Murakami, H. Matsuda & K. Yamaguchi, 1996. Microviridins D-F, serine protease inhibitors from the cyanobacterium Oscillatoria agardhii. Tetrahedron 52: 8159–8168.
Shin, H. J., H. Matsuda, M. Murakami & K. Yamaguchi, 1998. Anabaenopeptins E and F, two new cyclic peptides from the cyanobacterium Oscillatoria agadhii (NIES-204). Journal of Natural Products 60: 139–141.
Tillett, D., E. Dittmann, M. Erhard, H. von Döhren, T. Börner & B. A. Neilan, 2000. Structural organization of microcystin biosynthesis in Microcystis aeruginosa PCC7806: an integrated peptide-polyketide synthetase system. Chemical Biology 7: 753–764.
Tonk, L., P. M. Visser, E. Dittmann, E. O. Snelder, C. Wiedner, L. R. Mur & J. Huisman, 2005. The microcystin composition of the cyanobacterium Planktothrix agardhii changes toward a more toxic variant with increasing light intensity. Applied and Environmental Microbiology 71: 5177–81.
Wiedner, C., P. M. Visser, J. Fastner, J. S. Metcalf, G. A. Codd & L. R. Mur, 2003. Effects of light on the microcystin content of Microcystis strain PCC 7806. Applied and Environmental Microbiology 69: 1475–1481.
Zevenboom, W., 1980. Growth and nutrient uptake kinetics of Oscillatoria agardhii. Ph. D. thesis, Univ. Amsterdam.
Acknowledgements
The authors express their gratitude to Nina Gjølme and Gunvor Åkesson (Norwegian Institute for Public Health) for their laboratory assistance and Prof. K. Sivonen (University of Helsinki, Finland) for providing the Planktothrix strain PT2. The work was supported by EU Grant QLK4-CT-2002-02634 and by the Norwegian Institute for Water Research.
Author information
Authors and Affiliations
Corresponding author
Additional information
Handling editor: J. Padisak
Rights and permissions
About this article
Cite this article
Rohrlack, T., Utkilen, H. Effects of nutrient and light availability on production of bioactive anabaenopeptins and microviridin by the cyanobacterium Planktothrix agardhii . Hydrobiologia 583, 231–240 (2007). https://doi.org/10.1007/s10750-006-0536-y
Received:
Revised:
Accepted:
Published:
Issue Date:
DOI: https://doi.org/10.1007/s10750-006-0536-y