Abstract
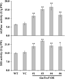
The plastidic thioredoxin F-type (TrxF) protein plays an important role in plant carbohydrate metabolism biosynthesis. In this study, a gene encoding the TrxF protein, named GmTrxF, was isolated from soybean. The open reading frame (ORF) contained 540 nucleotides encoding 179 amino acids. The coding region of GmTrxF was cloned into a binary vector under the control of 35S promoter and then transformed into Arabidopsis. The starch content in GmTrxF expressing plants was increased by 57–109% compared to that in wild-type (WT). Real-time quantitative PCR (qRT-PCR) analysis showed that constitutive expression of GmTrxF up-regulated the expression of phosphoglucomutase (AtPGM), ADP-glucose pyrophosphorylase (AGPase) small subunit (AtAGPase-S1 and AtAGPase-S2), AGPase large subunit (AtAGPase-L1 and AtAGPase-L2) and soluble starch synthases (AtSSS I, AtSSS II, AtSSS III and AtSSS IV) genes involved in starch biosynthesis in the transgenic Arabidopsis plants. Meanwhile, enzymatic analyses showed that the major enzymes (AGPase and SSS) involved in the starch biosynthesis exhibited higher activities in the transgenic plants compared to WT. These results suggest that GmTrxF may improve starch content of Arabidopsis by up-regulating the expression of the related genes and increasing the activities of the major enzymes invovled in starch biosynthesis. The manipulation of GmTrxF expression might be used for increasing starch accumulation of plants in the future.







Similar content being viewed by others
References
Ballicora MA, Frueauf JB, Fu Y, Schürmann P, Preiss J (2000) Activation of the potato tuber ADP-glucose pyrophosphorylase by thioredoxin. J Biol Chem 275:1315–1320
Blennow A, Jensen SL, Shaik SS, Skryhan K, Carciofi M, Holm PB, Hebelstrup KH, Tanackovic V (2013) Future cereal starch bioengineering cereal ancestors encounter gene technology and designer enzymes. Cereal Chem 90:274–287
Burton RA, Jenner H, Carrangis L, Fahy B, Fincher GB, Hylton C, Laurie DA, Parker M, Waite D, Wegen SV, Verhoeven T, Denyer K (2002) Starch granule initiation and growth are altered in barley mutants that lack isoamylase activity. Plant J 31:97–112
Bustos R, Fahy B, Hylton CM, Seale R, Nebane NM, Edwards A, Martin C, Smith AM (2004) Starch granule initiation is controlled by a heteromultimeric isoamylase in potato tubers. PNAS 101:2215–2220
Delvallé D, Dumez S, Wattebled F, Roldán I, Planchot V, Berbezy P, Colonna P, Vyas D, Chatterjee M, Ball S, Mérida A, D’Hulst C (2005) Soluble starch synthase I: a major determinant for the synthesis of amylopectin in Arabidopsis thaliana leaves. Plant J 43:398–412
Fujita N, Yoshida M, Asakura N, Ohdan T, Miyao A, Hirochika H, Nakamura Y (2006) Function and characterization of starch synthase I using mutants in rice. Plant Physiol 140:1070–1084
Geigenberger P (2011) Regulation of starch biosynthesis in response to a fluctuating environment. Plant Physiol 155:1566–1577
Geigenberger P, Kolbe A, Tiessen A (2005) Redox regulation of carbon storage and partitioning in response to light and sugars. J Exp Bot 56:1469–1479
Gelhaye E, Rouhier N, Navrot N, Jacquot JP (2005) The plant thioredoxin system. Cell Mol Life Sci 62:24–35
Guan HY, Dong YB, Liu CX, He CM, Liu CX, Liu Q, Dong R, Li YL, Liu TS, Wang LM (2017) A splice site mutation in shrunken1-m. causes the shrunken 1 mutant phenotype in maize. Plant Growth Regul 83:429–439
Harrison CJ, Mould RM, Leech MJ, Johnson SA, Turner L, Schreck SL, Baird KM, Jack PL, Rawsthorne S, Hedley CL, Wang TL (2000) The rug3 locus of pea encodes plastidial phosphoglucomutase. Plant Physiol 122:1187–1192
Jiang T, Zhai H, Wang FB, Yang NK, Wang B, He SZ, Liu QC (2013) Cloning and characterization of a carbohydrate metabolism-associated gene IbSnRK1 from sweetpotato. Sci Hortic 158:22–32
Kötting O, Kossmann J, Zeeman SC, Lloyd JR (2010) Regulation of starch metabolism: the age of enlightenment? Curr Opin Plant Biol 13:321–329
Li X, Ma H, Huang H, Li D, Yao S (2013) Natural anthocyanins from phytoresources and their chemical researches. Nat Prod Res 27:456–469
Lou XM, Yao QH, Zhang Z, Peng RH, Xiong AS, Wang KK (2007) Expression of human hepatitis B virus large surface antigen gene in transgenic tomato. Clin Vaccine Immunol 14:464–469
Meyer Y, Reichheld JP, Vignols F (2005) Thioredoxins in Arabidopsis and other plants. Photosynth Res 86:419–433
Murashige T, Skoog F (1962) A revised medium for rapid growth and bioassays with tobacco tissue cultures. Physiol Plant 15:473–497
Nakamura Y, Yuki K, Park SY, Ohya T (1989) Carbohydrate metabolism in the developing endosperm of rice grains. Plant Cell Physiol 30:833–839
Rogers SO, Bendich AJ (1985) Extraction of DNA from milligram amounts of fresh, herbarium and mummified plant tissues. Plant Mol Biol 5:69–76
Roldan I, Wattebled F, Lucas MM, Delvalle D, Planchot V, Jimenez S, Perez R, Ball S, D’Hulst C, Merida A (2007) The phenotype of soluble starch synthase IV defective mutants of Arabidopsis thaliana suggests a novel function of elongation enzymes in the control of starch granule formation. Plant J 49:492–504
Sanz-Barrio R, Corral-Martinez P, Ancin M, Segui-Simarro JM, Farran I (2013) Overexpression of plastidial thioredoxin f leads to enhanced starch accumulation in tobacco leaves. Plant Biotechnol J 11:618–627
Schmittgen TD, Livak KJ (2008) Analyzing real-time PCR data by the comparative CT method. Nat Protoc 3:1101–1108
Schürmann P, Buchanan BB (2008) The ferredoxin/thioredoxin system of oxygenic photosynthesis. Antioxid Redox Signal 10:1235–1274
Skryhan K, Cuesta-Seijo JA, Nielsen MM, Marri L, Mellor SB, Glaring MA, Jensen PE, Palcic MM, Blennow A (2015) The role of cysteine residues in redox regulation and protein stability of Arabidopsis thaliana starch synthase 1. PLoS ONE 10:e0136997
Smith AM, Zeeman SC (2006) Quantification of starch in plant tissues. Nat Protoc 1:1342–1345
Sparla F, Costa A, Lo Schiavo F, Pupillo P, Trost P (2006) Redox regulation of a novel plastid-targeted beta-amylase of Arabidopsis. Plant Physiol 141:840–850
Szydlowski N, Ragel P, Raynaud S, Lucas MM, Roldan I, Montero M, Munoz FJ, Ovecka M, Bahaji A, Planchot V, Pozueta-Romero J, D’Hulst C, Merida A (2009) Starch granule initiation in Arabidopsis requires the presence of either class IV or class III starch synthase. Plant Cell 21:2443–2457
Thormählen I, Ruber J, von Roepenack-Lahaye E, Ehrlich SM, Massot V, Hummer C, Tezycka J, Issakidis-Bourguet E, Geigenberger P (2013) Inactivation of thioredoxin f1 leads to decreased light activation of ADP-glucose pyrophosphorylase and altered diurnal starch turnover in leaves of Arabidopsis plants. Plant Cell Environ 36:16–29
Valerio C, Costa A, Marri L, Issakidis-Bourguet E, Pupillo P, Trost P, Sparla F (2010) Thioredoxin-regulated beta-amylase (BAM1) triggers diurnal starch degradation in guard cells, and in mesophyll cells under osmotic stress. J Exp Bot 62:545–555
Valipour M (2012) Critical areas of Iran for agriculture water management according to the annual rainfall. Eur J Sci Res 84:600–608
Valipour M (2014) Use of average data of 181 synoptic stations for estimation of reference crop evapotranspiration by temperature-based methods. Water Resour Manag 28:4237–4255
Valipour M, Eslamian S (2014) Analysis of potential evapotranspiration using 11 modified temperature-based models. Int J Hydrol Sci Technol 4:192
Valipour M, Banihabib ME, Behbahani SMR (2013) Comparison of the ARMA, ARIMA, and the autoregressive artificial neural network models in forecasting the monthly inflow of Dez dam reservoir. J Hydrol 476:433–441
Wang FB, Guo XT, Qiao XQ, Zhang J, Yu CY, Sheng YT, Zhu LY, Cheng JS, Liang MX, Su HY, Cheng XH, Zhang HX (2016) The maize plastidic thioredoxin F-type gene ZmTrxF increases starch accumulation in transgenic Arabidopsis. Sci Hortic 210:205–212
Wang FB, Kong WL, Fu YR, Sun XC, Chen XH, Zhou Q (2017a) Constitutive expression of SlTrxF increases starch content in transgenic Arabidopsis. Biol Plantarum 61(3):494–500
Wang FB, Kong WL, Niu Y, Ye YX, Fan S, Wang YJ, Chen XH, Zhou Q (2017b) StTrxF, a potato plastidic thioredoxin F-type protein gene, is involved in starch accumulation in transgenic Arabidopsis thaliana. Biotechnol Biotechnol Equip 31(3):486–492
Zhang X, Henriques R, Lin SS (2006) Agrobacterium-mediated transformation of Arabidopsis thaliana using the floral dip method. Nat Protoc 1:641–646
Zhao C, Hua LN, Liu XF, Li ZY, Shen YY, Guo JX (2017) Sucrose synthase FaSS1 plays an important role in the regulation of strawberry fruit ripening. Plant Growth Regul 81:175–181
Acknowledgements
This work was supported by the Natural Science Research Project in Colleges of Jiangsu Province of China (17KJB210001), the Natural Science Foundation of Jiangsu Province of China (BK2013256), the Support Project of Jiangsu Provincial Department of Agriculture (BE2012445), the College Student Practice Innovation Program of Jiangsu Province of China (201711049009H and 201716021YJ) and the Talent Introduction Research Project of Huaiyin Institute of Technology (Z301B16534).
Author information
Authors and Affiliations
Corresponding author
Electronic supplementary material
Below is the link to the electronic supplementary material.
Rights and permissions
About this article
Cite this article
Wang, F., Chen, X., Ye, Y. et al. Enhancement of starch content by constitutive expression of GmTrxF in transgenic Arabidopsis . Plant Growth Regul 84, 351–358 (2018). https://doi.org/10.1007/s10725-017-0346-4
Received:
Accepted:
Published:
Issue Date:
DOI: https://doi.org/10.1007/s10725-017-0346-4


