Abstract
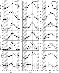
In order to quantify and characterize the variance in desert riparian forest tree sap flow, we measured the sap flow from Populus euphratica and compared the daytime and nighttime patterns and responses to environmental variables. Results showed that daytime sap flow velocity was significantly higher (P < 0.05). Daytime and nighttime mean sap flow velocities were 7.65 and 4.01 cm h−1 in spring, 21.38 and 9.60 cm h−1 in summer, and 11.04 and 5.21 cm h−1 in autumn, respectively. Moreover, results indicated that the stoma remained partially open (15% minimum) throughout the night, providing sufficient evidence for the existance of nighttime transpiration. The vapor pressure deficit (VPD), stomatal conductance (Cs), photosynthetically active radiation (PAR), air temperature (Ta), wind speed (WS), and soil moisture (θ) all had significant positive effects on P. euphratica sap flow velocity (P < 0.05). Furthermore, the relationship between daytime sap flow velocity and VPD showed clockwise hysteresis, while the relationship between nighttime sap flow velocity and VPD showed counter-clockwise hysteresis. It was evident that PAR and VPD were the key factors impacting daytime sap flow velocity, while Cs and θ were the key factors impacting nighttime sap flow velocity. Furthermore, linear regression results showed that daytime sap flow had a significant positive effect on nighttime sap flow throughout the growing season (P < 0.05).





References
Bucci SJ, Scholz FG, Goldstein G et al (2004) Processes preventing nocturnal equilibration between leaf and soil water potential in tropical savanna woody species. Tree Physiol 24:1119–1127
Burgess SSO, Adams MA, Turner NC et al (1998) The redistribution of soil water by tree root systems. Oecologia 115:306–311
Burgess SSO, Adams MA, Turner NC et al (2001) An improved heat pulse method to measure low and reverse rates of sap flow in woody plants. Tree Physiol 21:589–598
Campbell GS, Norman JM (1998) An introduction to environment biophysics. Springer, New York, 25, pp 37–75
Cavender-Bares J, Bazzaz FA (2000) Changes in drought response strategies with ontogeny in Quercus rubra: implications for scaling from seedlings to mature trees. Oecologia 124:8–18
Cavender-Bares J, Sack L, Savage J (2007) Atmospheric and soil drought reduce nocturnal conductance in live oaks. Tree Physiol 27:611–620
Chen S, Lin G, Huang J et al (2009) Dependence of carbon sequestration on the differential responses of ecosystem photosynthesis and respiration to rain pulses in a semiarid steppe. Global Change Biol 15(10):2450–2461
Daley MJ, Phillips NG (2006) Interspecific variation in nighttime transpiration and stomatal conductance in a mixed New England deciduous forest. Tree Physiol 26:411–419
Dawson TE, Burgess SSO, Tu KP et al (2007) Nighttime transpiration in woody plants from contrasting ecosystems. Tree Physiol 27:561–575
Fisher JB, Baldocchi DD, Misson L et al (2007) What the towers don’t see at night: nocturnal sap flow in trees and shrubs at two AmeriFlux sites in California. Tree Physiol 27:597–610
Grulke NE, Alonso R, Nguyen T et al (2004) Stomata open at night in pole-sized and mature ponderosa pine: implications for O3 exposure metrics. Tree Physiol 24:1001–1010
Howard AR, Van Iersel MW, Richards JH et al (2009) Night-time transpiration can decrease hydraulic redistribution. Plant Cell Environ 32:1060–1070
Hubbart JA, Kavanagh KL, Pangle R et al (2007) Cold air drainage and modeled nocturnal leaf water potential in complex forested terrain. Tree Physiol 27:631–639
Kavanagh KL, Pangle R, Schotzko AD (2007) Nocturnal transpiration causing disequilibrium between soil and stem predawn water potential in mixed conifer forests of Idaho. Tree Physiol 27:621–629
Kohler M, Schwendenmann L, Hoscher D (2010) Throughfall reduction in a cacao agroforest: tree water use and soil water budgeting. Agric For Meteorol 150:1079–1089
Lapitan RL (1996) Seasonal variabilities in the distribution of the microcli-matic factors and evapotranspiration in a short grass steppe. Agric For Meteorol 79:113–130
Loustau D, Berbigier P, Roumagnae P et al (1996) Transpiration of a 64-year-old maritime pine stand in Portugal. 1. Seasonal course of water flux through maritime pine. Oecologia 107:33–42
Ma F, Kang S, Li F et al (2007) Effect of water deficit in different growth stages on stem sap flux of greenhouse grown pear-jujube tree. Agric Water Manage 90:190–196
Makiko T, Tomo’omi K, Yasuhiro U et al (2008) Spatial variation s in xylem sap flux density in evergreen oak trees with radial-porous wood: comparisons with anatomical observations. Trees 22:23–30
Marshall DC (1958) Measurement of sap flow in conifers by heat transport. Tree Physiol 33:385–396
O’brien JJ, Oberbauer SF, Clark DB (2004) Whole tree xylem sap flow responses to multiple environmental variables in a wet tropical forest. Plant Cell Environ 27:551–567
Oberbauer SF, Strain BR, Riechers GH (1987) Field water relations of a wet-tropical forest tree species, Pentaclethra macroloba (Mimosaceae). Oecologia 71:369–374
Scholz FG, Bucci SJ, Goldstein G et al (2007) Removal of nutrient limitations by long-term fertilization decreases nocturnal water loss in savanna trees. Tree Physiol 27:551–559
Si JH, Feng Q, Zhang XY et al (2007) Sap flow of Populus euphratica in a desert riparian forest in an extreme arid region during the growing season. J Integr Plant Biol 49(4):425–436
Si JH, Chang ZQ, Su YH et al (2008) Stomatal conductance characteristics of Populus euphratica leaves and response to environmental factors in the extreme arid region. Acta Bot Boreal Occidenalia Sin 28(1):125–130
Staudt K, Serafimovich A, Siebicke L et al (2011) Vertical structure of evapotranpiration at a forest site (a case study). Agric For Meteorol 151:709–729
Whitehead D (1998) Regulation of stomatal conductance and transpiration in forest canopies. Tree Physiol 18:633–644
Yu TF, Feng Q, Si JH et al (2013) Patterns, magnitude, and controlling factors of hydraulic redistribution of soil water by Tamarix ramosissima roots. J Arid Land 5(3):396–407
Zeppel M, Tissue D, Taylor D et al (2010) Rates of nocturnal transpiration in two evergreen temperate woodland species with differing water-use strategies. Tree Physiol 30:988–1000
Zhang XY, Gong JD, Zhou MX et al (2004) Spatial and temporal characteristics of stem sap flow of Populus euphratica. J Desert Res 24(4):489–492
Acknowledgements
Funding for this study was provided by the Key Research Program of Frontier Sciences, CAS(QYZDJ-SSW-DQC031). The authors would also like to thank two anonymous reviewers for their constructive and valuable reviews and comments, which helped to improve this article.
Author information
Authors and Affiliations
Corresponding author
Rights and permissions
About this article
Cite this article
Zhao, C.Y., Si, J.H., Feng, Q. et al. Comparative study of daytime and nighttime sap flow of Populus euphratica . Plant Growth Regul 82, 353–362 (2017). https://doi.org/10.1007/s10725-017-0263-6
Received:
Accepted:
Published:
Issue Date:
DOI: https://doi.org/10.1007/s10725-017-0263-6