Abstract
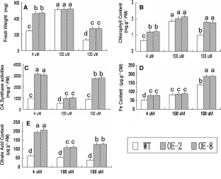
Iron (Fe) is one of the essential micronutrients required by all plants. Citric acid (CA) is considered as the chelate substance in the long distance transport of Fe. In the present study, a gene encoding putative citrate synthase (CS) was isolated from Malus domestica (L.) Borkh and designated as MdCS1. The MdCS1 gene encodes a protein of 473 amino acid residues with a theoretical isoelectric point of 7.72 and a predicted molecular mass of 52.7 kDa. Subcellular localization has revealed that MdCS1 is preferentially localized in cytoplasmic membrane. The expression of MdCS1 was enriched in leaf, root, and phloem, which was highly affected by Fe stress and indoleacetic acid treatment, while weakly by abscisic acid treatment in M. domestica seedlings. When MdCS1 was introduced into Arabidopsis, it promoted the synthesis of CS and increased CA content. Overexpression of MdCS1 improved the tolerance to Fe stress in transgenic Arabidopsis, but also led to increased fresh weight, CS activity, and contents of chlorophyll, CA and Fe, especially when dealt with Fe stress.






Similar content being viewed by others
References
Abadía J, López-Millán AF, Rombolà A, Abadía A (2002) Organic acids and Fe deficiency: a review. Plant Soil 241:75
An G, Watson BD, Chang CC (1988) Transformation of tobacco, tomato, potato, and Arabidopsis thaliana using a binary Ti vector system. Plant Physiol 81:301–305
Aono M, Kubo A, Saji H, Tanaka K, Kondo N (1993) Enhanced tolerance to photo-oxidative stress of transgenic Nicotiana tabacum with high chloroplastic glutathione reductase activity. Plant Cell Physiol 34:129–136
Cataldo DA, McFadden KM, Garland TR, Wildung RE (1988) Organic constituents and complexation of nickel(II), iron(III), cadmium(II) and plutonium(IV) in soybean xylem exudates. Plant Physiol 86:34–39
Durrett TP, Gassmann W, Rogers EE (2007) The FRD3-mediared efflux of citrate into the root vasculature is necessary for efficient iron translocation. Plant Physiol 144:197–205
Eckardt NA (2005) Peroxisomal citrate synthase provides exit route from fatty acid metabolism in oilseeds. Plant Cell 17:1863–1865
Etienne C, Moing A, Dirlewanger E, Raymond P, Monet R, Rothan C (2002) Isolation and characterization of six peach cDNAs encoding key proteins in organic acid metabolism and solute accumulation: involvement in regulating peach fruit acidity. Plant Physiol 114:259–270
Gao C, Wang Y, Xiao DS, Qiu CP, Han DG, Zhang XZ, Wu T, Han ZH (2011) Comparison of cadmium-induced iron-deficiency responses and genuine iron-deficiency responses in Malus xiaojinensis. Plant Sci 181:269–274
Gray NK, Pantopoulos K, Danderkar T, Ackrell BA, Hentze MW (1996) Translational regulation of mammalian and drosophila citric acid cycle enzymes via iron-responsive elements. Proc Natl Acad Sci USA 93:4925–4930
Guerinot ML, Yi Y (1994) Iron: nutritious, noxious and not readily available. Plant Physiol 104:815–820
Han ZH, Shen T, Korcak RF, Baligar VC (1994) Screening for iron-efficient species in genus Malus. J Plant Nutr 17:579–592
Han ZH, Shen T, Korcak RF, Baligar VC (1998) Iron absorption by iron-efficient and inefficient species of apples. J Plant Nutr 2:181–190
Han DG, Wang Y, Zhang L, Ma L, Zhang XZ, Xu XF, Han ZH (2012) Isolation and functional characterization of MxCS1: a gene encoding a citrate synthase in Malus xiaojinensis. Biol Plant 56:50–56
Han DG, Wang L, Wang Y, Yang GH, Gao C, Yu ZY, Li TY, Zhang XZ, Ma L, Xu XF, Han ZH (2013a) Overexpression of Malus xiaojinensis CS1 gene in tobacco affects plant development and increases iron stress tolerance. Sci Hortic 150:65–72
Han DG, Yang GH, Xu KD, Shao Q, Yu ZY, Wang B, Ge QL, Yu Y (2013b) Overexpression of a Malus xiaojinensis Nas1 gene influences flower development and tolerance to iron stress in transgenic tobacco. Plant Mol Biol Rep 31:802–809
Han DG, Shi Y, Wang B, Liu W, Yu ZY, Lv BY, Yang GH (2014) Isolation and preliminary functional analysis of MxCS2: a gene encoding a citrate synthase in Malus xiaojinensis. Plant Mol Biol Rep. doi:10.1007/s11105-014-0735-z
Hell R, Stephan UW (2003) Iron uptake, trafficking and homeoststasis in plants. Planta 216:541–551
Jelali N, Dell’orto M, Abdelly C, Gharsalli M, Zocchi G (2010) Changes of metabolic responses to direct and induced Fe deficiency of two Pisum sativum cultivars. Environ Exp Bot 68:238–246
Jia CH, Jin ZQ, Liu JH, Zhang JB, Wang JS, Xu BY (2012) Isolation, characterization, and expression analysis of the MuBTB gene in banana. Plant Mol Biol Rep 5:1131–1137
Jin CW, He XY, Wu P, Zheng SJ (2006) Mechanisms of microbially enhanced Fe acquisition in red clover (Trifolium pratense L.). Plant Cell Environ 29:888–897
Leek BT, Mudaliar SR, Henry R, Mathieu-Costello O, Richardson RS (2001) Effect of acute exercise on citrate synthase activity in untrained and trained human skeletal muscle. Am J Physiol Regul Integr Comp Physiol 280:441–447
Li P, Qi JL, Wang L, Huang QN, Han ZH, Yin LP (2006) Functional expression of MxIRT1, from Malus xiaojinensis complements an iron uptake-deficient yeast mutant for plasma membrane targeting via a membrane vesicles trafficking process. Plant Sci 171:52–59
López-Millán AF, Morales F, Andaluz S, Gogorcena Y, Abadía A, De Las Rivas J, Abadía J (2000) Responses of sugar beet roots to iron deficiency. Changes in carbon assimilation and oxygen use. Plant Physiol 124:885–898
López-Millán AF, Morales F, Abadía A, Abadía J (2001) Iron deficiency-associated changes in the composition of the leaf apoplastic fluid from field-grown pear (Pyrus communis L.) trees. J Exp Bot 52:1489–1498
López-Millán AF, Morales F, Gogorcena Y, Abadía A, Abadía J (2009) Metabolic responses in iron deficient tomato plants. J Plant Physiol 166:375–384
Marschner H (2012) Marschner’s mineral nutrition of higher plants. Academic Press, London, p 89
Marschner H, Romheld V (1994) Strategies of plants for acquisition of iron. Plant Soil 165:261–274
Martínez-Cuenca MR, Iglesias DJ, Talón M, Abadía J, López-Millán AF, Primo-Millo E, Legaz F (2013) Metabolic responses to iron deficiency in roots of Carrizo citrange [Citrus sinensis (L.) Osbeck. × Poncirus trifoliata (L.) Raf.]. Tree Physiol 33:320–329
Roberts LA, Pierson AJ, Panaviene Z, Walker EL (2004) Yellow stripe1 expanded roles for the maize iron-phytosiderophore transporter. Plant Physiol 135:112–120
Robinson NJ, Procter CM, Connolly EL, Guerinot ML (1999) A ferricchelate reductase for iron uptake from soils. Nature 397:694–697
Rombolà AD, Brüggemann W, López-Millán AF, Tagliavini M, Abadía J, Marangoni B, Moog PR (2002) Biochemical responses to iron deficiency in kiwifruit (Actinidia deliciosa). Tree Physiol 22:869–875
Romheld V, Marschner H (1986) Evidence for a specific system for iron phytosiderophores in roots of grasses. Plant Physiol 80:175–180
Schikora A, Schmidt W (2001) Acclimative changes in root epidermal cell fate in response to Fe and P deficiency: a specific role for auxin? Protoplasma 218:67–75
Schmidt W, Tittel J, Schikora A (2000) Role of hormones in the induction of Fe deficiency responses in Arabidopsis roots. Plant Physiol 122:1109–1118
Slabas AR, Ndimba B, Simon WJ, Chivasa S (2004) Proteomic analysis of the Arabidopsis cell wall reveals unexpected proteins with new cellular locations. Biochem Soc Trans 32:524–528
Takahashi M, Terada Y, Nakai I, Nakanishi H, Yoshimura E, Mori S, Nishizawa NK (2003) Role of nicotianamine in the intracellular delivery of metals and plant reproductive development. Plant Cell 15:1263–1280
Takita E, Koyama H, Shirano Y, Shibata D, Hara T (1999) Structure and expression of the mitochondrial citrate synthase gene in carrot cells utilizing Al-phosphate. Soil Sci Plant Nutr 45:197–205
Thimm O, Essigmann B, Kloska S, Altmann T, Buckhout TJ (2001) Response of Arabidopsis to iron deficiency stress as revealed by microarray analysis. Plant Physiol 127:1030–1043
Tiffin LO (1970) Translocation of iron citrate and phosphorus in xylem exudate of soybean. Plant Physiol 45:280–283
Todorovsky DS, Dumanova DG, Todorovsa RV, Getsova MM (2002) Preparation and characterization of yttrium–iron citric acid complexes. Croat Chem Acta 75:155–164
Wu T, Zhang HT, Wang Y, Jia WS, Xu XF, Zhang XZ, Han ZH (2012) Induction of root Fe(III) reductase activity and proton extrusion by iron deficiency is mediated by auxin-based systemic signalling in Malus xiaojinensis. J Exp Bot 63:859–870
Xiao HH, Yin LP, Xu XF, Li TZ, Han ZH (2008) The iron-regulated transporter, MbNRAMP1, isolated from Malus baccata is involved in Fe, Mn and Cd trafficking. Ann Bot 102:881–889
Xu HM, Wang Y, Chen F, Zhang XZ, Han ZH (2011) Isolation and characterization of the iron-regulated MxbHLH01 gene in Malus xiaojinensis. Plant Mol Biol Rep 4:936–942
Zhang YG, Cheng JH, Han ZH, Xu XF, Li TZ (2005) Comparison of methods for total RNA isolation from Malus xiaojinensis and cDNA amplified using LD-PCR. Chin Biotechnol Bull 4:50–53
Zhang YG, Kong J, Wang Y, Xu XF, Liu LL, Li TZ, Han ZH, Zhu YJ (2009) Isolation and characterisation of a nicotianamine synthase gene MxNas1 in Malus xiaojinensis. J Hortic Sci Biotechnol 84:47–52
Zhang LX, Wang Y, Zhu B, Wang SJ, Zhang XZ, Xu XF, Han ZH (2012) Cloning and expression analysis of citrate synthase gene (MbCS1) in apple (Malus baccata Borkh). J Agric Biotechnol 20:1028–1034
Acknowledgments
This work was supported by National Natural Science Foundation of China (31301757), China Postdoctoral Science Foundation (2013M530144), Heilongjiang Postdoctoral Science Foundation (LBH-Z13033), the Doctoral Fund of Northeast Agricultural University (2012RCB09), Scientific Research Fund of Heilongjiang Provincial Education Department (12541004) and Special Research of Public Sector on Agriculture (201103037).
Author information
Authors and Affiliations
Corresponding authors
Rights and permissions
About this article
Cite this article
Han, D., Shi, Y., Yu, Z. et al. Isolation and functional analysis of MdCS1: a gene encoding a citrate synthase in Malus domestica (L.) Borkh. Plant Growth Regul 75, 209–218 (2015). https://doi.org/10.1007/s10725-014-9945-5
Received:
Accepted:
Published:
Issue Date:
DOI: https://doi.org/10.1007/s10725-014-9945-5


