Abstract
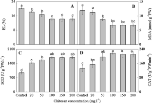
Chitosan is a cationic marine polysaccharide with unique bioactive properties that make it an effective scavenger of reactive oxygen species. Chitosan application has been suggested as an aid for reducing oxidative injury caused by drought stress in crop plants. In order to confirm the antioxidant effects of exogenous chitosan, cell membrane stability and antioxidant enzyme activities were analyzed in leaves of apple seedlings placed under a period of drought stress. Pretreatment of apple seedling leaves with chitosan solution (20, 50, 100, 150 and 200 mg l−1) prior to drought stress significantly decreased electrolyte leakage and the production of malondialdehyde in the leaves, while increasing antioxidant enzyme activities (superoxide dismutase, catalase), following imposition of drought stress conditions. An optimum response was obtained at a chitosan concentration of 100 mg l−1. When apple seedlings were pretreated with 100 mg l−1 of chitosan, cell membrane stability and antioxidant enzyme activities were enhanced for 21 days of drought treatment. Following restoration of moisture and a repeated drought stress, similar results were obtained on day 35. It is proposed that chitosan may act as an exogenous antioxidant that enhances resistance to oxidative stress during drought.




Explore related subjects
Discover the latest articles and news from researchers in related subjects, suggested using machine learning.Abbreviations
- CAT:
-
Catalase
- DS:
-
Drought stress
- EL:
-
Electrolyte leakage
- FW:
-
Fresh weight
- MDA:
-
Malonaldehyde
- ROS:
-
Reactive oxygen species
- SOD:
-
Superoxide dismutase
- WW:
-
Well watered
References
Amiji MM (1995) Permeability and blood compatibility properties of chitosan-poly (ethylene oxide) blend membranes for haemodialysis. Biomaterials 16:593–599. doi:10.1016/0142-9612(95)93856-9
Borsani O, Diaz P, Agius MF, Valpuesta V, Monza J (2001) Water stress generates an oxidative stress through the induction of a specific Cu/Zn superoxide dismutase in Lotus corniculatus leaves. Plant Sci 161:757–763. doi:10.1016/S0168-9452(01)00467-8
Chung YC, Wang HL, Chen YM, Li SL (2003) Effect of abiotic factors on the antibacterial activity of chitosan against waterborne pathogens. Bioresour Technol 88:179–184. doi:10.1016/S0960-8524(03)00002-6
Correia MJ, Osório ML, Osório J, Barrote I, Martins M, David MM (2006) Influence of transient shade periods on the effects of drought on photosynthesis, carbohydrate accumulation and lipid peroxidation in sunflower leaves. Environ Exp Bot 58:75–84. doi:10.1016/j.envexpbot.2005.06.015
Feng T, Du YM, Li J, Wei YN, Yao PJ (2007) Antioxidant activity of half N-acetylated water-soluble chitosan in vitro. Eur Food Res Technol 225:133–138. doi:10.1007/s00217-006-0391-0
Gao JG, Xiao Q, Ding LP, Chen MJ, Yin L, Li JZ, Zhou SY, He GY (2008) Differential responses of lipid peroxidation and antioxidants in Alternanthera philoxeroides and Oryza sativa subjected to drought stress. Plant Growth Regul 56:89–95. doi:10.1007/s10725-008-9291-6
Gulen H, Eris A (2004) Effect of heat stress on peroxidase activity and total protein content in strawberry plants. Plant Sci 166:739–744. doi:10.1016/j.plantsci.2003.11.014
Harish Prashanth KV, Dharmesh SM, Jagannatha Rao KS, Tharanathan RN (2007) Free radical-induced chitosan depolymerized products protect calf thymus DNA from oxidative damage. Carbohydr Res 342:190–195. doi:10.1016/j.carres.2006.11.010
Harte J, Saleska S, Shih T (2006) Shifts in plant dominance control carbon-cycle responses to experimental warming and widespread drought. Environ Res Lett 1:1–4. doi:10.1088/1748-9326/1/1/014001
Hsiao TC (1973) Plant response to water stress. Annu Rev Plant Physiol 24:519–570. doi:10.1146/annurev.pp.24.060173.002511
Ikehata K, Nicell JA (2000) Color and toxicity removal following tyrosinase catalyzed oxidation of phenols. Biotechnol Prog 16:533–540. doi:10.1021/bp0000510
Li WJ, Jiang X, Xue PH, Chen SM (2002) Inhibitory effects of chitosan on superoxide anion radicals and lipid free radicals. Chin Sci Bull 47:887–889. doi:10.1360/02tb9198
Manabe S, Wetherald RT, Milly PCD, Delworth TL, Stouffer RJ (2004) Century-scale change in water availability: CO2-quadrupling experiment. Clim Change 64:59–76. doi:10.1023/B:CLIM.0000024674.37725.ca
Meng XH, Li BQ, Liu J, Tian SP (2008) Physiological responses and quality attributes of table grape fruit to chitosan preharvest spray and postharvest coating during storage. Food Chem 106:501–508. doi:10.1016/j.foodchem.2007.06.012
Park PJ, Je JY, Kim SK (2004) Free radical scavenging activities of differently deacetylated chitosans using an ESR spectrometer. Carbohydr Polym 55:17–22. doi:10.1016/j.carbpol.2003.05.002
Pinheiro HA, Damatta FM, Chaves ARM, Fontes EPB, Loureiro ME (2004) Drought tolerance in relation to protection against oxidative stress in clones of Coffea canephora subjected to long-term drought. Plant Sci 167:1307–1314. doi:10.1016/j.plantsci.2004.06.027
Qin CQ, Xiao L, Du YM, Fan M, Shi XW (2000) Prediction and control of extent of deploymerization of chitosan by hydroperoxide. Chin J Wuhan Univ 44:195–198
Reddy AR, Chaitanya KV, Vivekanandan M (2004) Drought-induced responses of photosynthesis and antioxidant metabolism in higher plants. J Plant Physiol 161:1189–1202. doi:10.1016/j.jplph.2004.01.013
Sankar B, Abdul Jaleel C, Manivannan P, Kishorekumar A, Somasundaram R, Panneerselvam R (2007) Effect of paclobutrazol on water stress amelioration through antioxidants and free radical scavenging enzymes in Arachis hypogaea L. Colloid Surf B 60:229–235. doi:10.1016/j.colsurfb.2007.06.016
Sharma P, Dubey RS (2005) Drought induces oxidative stress and enhances the activities of antioxidant enzymes in growing rice seedlings. Plant Growth Regul 46:209–221. doi:10.1007/s10725-005-0002-2
Strapatsa AV, Nanos GD (2006) Energy flow for integrated apple production in Greece. Agric Ecosyst Environ 116:176–180. doi:10.1016/j.agee.2006.02.003
Sun T, Xie WM, Xu PX (2004) Superoxide anion scavenging activity of graft chitosan derivatives. Carbohydr Polym 58:379–382. doi:10.1016/j.carbpol.2004.06.042
Sun T, Zhou DX, Mao F, Zhu YN (2007) Preparation of low-molecular-weight carboxymethyl chitosan and their superoxide anion scavenging activity. Eur Polym J 43:652–656. doi:10.1016/j.eurpolymj.2006.11.014
Takahashi T, Imai M, Suzuki I (2005) High-potential molecular properties of chitosan and reaction condition for removal of p-quinone from the aqueous phase. Biochem Eng J 25:7–13. doi:10.1016/j.bej.2005.02.017
Talwar HS, Chandra Sekhar A, Nageswara Rao RC (2002) Genotypic variability in membrane thermostability in groundnut. Indian J Plant Physiol 7:97–102
Tambussi EA, Bartoli CG, Beltrano J, Guiamet JJ, Araus JL (2000) Oxidative damage to thylakoid proteins in water stressed leaves of wheat (Triticum aestivum). Physiol Plant 108:398–404. doi:10.1034/j.1399-3054.2000.108004398.x
Tan Y, Liang ZS, Shao HB, Du F (2006) Effect of water deficits on the activity of anti-oxidative enzymes and osmoregulation among three different genotypes of Radix Astragali at seeding stage. Colloid Surf B 49:60–65. doi:10.1016/j.colsurfb.2006.02.014
Thompson D, Powell R (1998) Exceptional circumstances provisions in Australia-is there too much emphasis on drought? Agric Syst 57:469–488. doi:10.1016/S0308-521X(98)00027-4
Xie WM, Xu PX, Liu Q (2001) Antioxidant activity of water-soluble chitosan derivatives. Bioorg Med Chem Lett 11:1699–1701. doi:10.1016/S0960-894X(01)00285-2
Xu QJ, Nian YG JINXC, Yan CZ, Liu J, Jiang GM (2007) Effects of chitosan on growth of an aquatic plant (Hydrilla verticillata) in polluted waters with different chemical oxygen demands. Chin J Environ Sci 19:217–221
Yin XQ, Lin Q, Zhang Q, Yang LC (2002) O2 − scavenging activity of chitosan and its metal complexes. Chin J Appl Chem 19:325–328
Acknowledgments
We are grateful to professor Mrs. Marilyn White (Brigham Young University, USA) for the critical reading of the manuscript. Illuminating comments from the chief editor and anonymous reviewers are also appreciated. This research was mainly supported by “The National High Technology Research and Development Program (“863”Program) of China (2007AA10Z231)” and “The National Key Fund Project (30230230)”.
Author information
Authors and Affiliations
Corresponding author
Rights and permissions
About this article
Cite this article
Yang, F., Hu, J., Li, J. et al. Chitosan enhances leaf membrane stability and antioxidant enzyme activities in apple seedlings under drought stress. Plant Growth Regul 58, 131–136 (2009). https://doi.org/10.1007/s10725-009-9361-4
Received:
Accepted:
Published:
Issue Date:
DOI: https://doi.org/10.1007/s10725-009-9361-4