Abstract
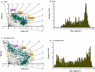
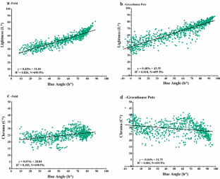
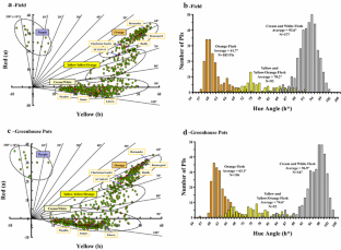
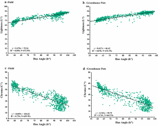
The United States Department of Agriculture (USDA), Agricultural Research Service (ARS), Plant Genetic Resources Conservation Unit in Griffin, GA maintains the United States germplasm collection for Ipomoea spp. (Convolvulaceae). During 2012–2014, 737 sweetpotato, Ipomoea batatas (L.) Lam., plant introductions (PI) were acquired as tissue-culture plantlets and then acclimated to greenhouse conditions at the USDA, ARS, U. S. Vegetable Laboratory (USVL), Charleston, SC. Single plants were transferred to plastic-covered plant beds to produce cuttings for replicated field trials. Storage roots were harvested from 690 PIs grown in the field and 695 PIs grown in pots. Color coordinates were obtained for each PI using a tristimulus colorimeter. Hue angle values (h*) ranged from 8.2° to 88.3° (\( \bar{x} \) = 54.9°) for the periderm (peel or skin) of field-grown storage roots (n = 690 PIs) and − 9.4° (= 350.6°) to 96.2° (\( \bar{x} \) = 51.3°) for pot-grown roots (n = 695 PIs). The red–green coordinate (a*) ranged from 0.8 to 30.7 (\( \bar{x} \) = 12.8) for the periderm of field-grown roots and − 2.0 to 44.9 (\( \bar{x} \) = 16.1) for pot-grown roots. The yellow–blue coordinate (b*) ranged from 2.8 to 33.1 (\( \bar{x} \) = 19.4) for the periderm of field-grown roots and − 7.4 to 38.1 (\( \bar{x} \) = 19.3) for pot-grown roots. Color saturation (chroma, C*) ranged from 13.7 to 35.8 (\( \bar{x} \) = 24.9) for the periderm of field-grown roots and 14.9–45.5 (\( \bar{x} \) = 29.3) for pot-grown roots. Lightness (white–black, L*) ranged from 32.6 to 81.7 (\( \bar{x} \) = 54.6) for the periderm of field-grown roots and 32.1–88.2 (\( \bar{x} \) = 64.0) for pot-grown roots. Hue angles ranged from − 13.1° (= 346.9°) to 100.9° (\( \bar{x} \) = 80.9°) for the stele (flesh) of field-grown storage roots (n = 672 PIs) and − 29.9° to 103.5° (\( \bar{x} \) = 81.6°) for pot-grown roots (n = 676 PIs); a* ranged from − 5.6 to 35.0 (\( \bar{x} \) = 8.0) for the stele of field-grown roots and − 6.0 to 41.0 (\( \bar{x} \) = 7.6) for pot-grown roots; and b* ranged from − 7.7 to 56.1 (\( \bar{x} \) = 34.6) for the stele of field-grown roots and − 12.6 to 56.1 (\( \bar{x} \) = 31.8) for pot-grown roots. C* ranged from 12.7 to 65.8 (\( \bar{x} \) = 37.2) for the stele of field-grown roots and 8.9–65.7 (\( \bar{x} \) = 34.5) for pot-grown roots; and L* ranged from 27.8 to 91.1 (\( \bar{x} \) = 77.7) for the stele of field-grown roots and 28.2–91.9 (\( \bar{x} \) = 80.4) for pot-grown roots. There were significant relationships between stele color (h*) and percent dry matter, with orange stele having a significantly lower % dry matter (\( \bar{x} \) = 25.6%, n = 183) compared with roots with cream/white stele (\( \bar{x} \) = 30.8%, n = 373). There appears to be wide genetic diversity for root color characteristics for the United States sweetpotato germplasm collection.






Similar content being viewed by others
References
Ameny M, Wilson P (1997) Relationship between Hunter color values and β-carotene contents in white fleshed African sweet potatoes (Ipomoea batatas Lam.). J Sci Food Agric 73:301–306
Anonymous (2017a) Plant Genetic Resources Conservation Unit, United States Department of Agriculture, Agricultural Research Service. Accessed 26 May 2017. https://www.ars.usda.gov/southeast-area/griffin-ga/pgrcu/
Anonymous (2017b) Sweetpotato. U. S. National Plant Germplasm System. Accessed 26 May 2017. https://npgsweb.ars-grin.gov/gringlobal/crop.aspx?id=109
Anonymous (2017c) Descriptors for sweetpotato. USDA, ARS, U.S. National Plant Germplasm System. Accessed 26 May 2017. https://npgsweb.ars-grin.gov/gringlobal/cropdetail.aspx?type=descriptor&id=109
Araus JL, Cairns JE (2014) Field high-throughput phenotyping: the new crop breeding frontier. Trends Plant Sci 19:52–61
Arias R, Lee TC, Logendra L, Janes H (2000) Correlation of lycopene measured by HPLC with the L*, a*, b* color readings of a hydroponic tomato and the relationship of maturity with color and lycopene content. J Agric Food Chem 48:1697–1702
Arizio C, Hompanera N, Suarez EY, Manifesto MM (2008) Genotypic identification and diversity evaluation of a sweet potato (Ipomoea batatas (L.) Lam) collection using microsatellites. Plant Genet Res Charact Utiliz 7:135–138
Arrigoni Blank MF, Tavares FF, Blank AF, Clézia dos Santos M, Menezes TSA, Dantas de Santana AD (2014) In vitro conservation of sweet potato genotypes. Sci World J 2014, Article ID 208506, 7 pages. Accessed 26 May 2017. http://dx.doi.org/10.1155/2014/208506
Attaluri S, Ilangantileke S (2007) Evaluation and promotion of orange-fleshed sweetpotato to alleviate Vitamin A deficiency in Orissa and Eastern Uttar Pradesh of India. pp 732–736. In Tropical root and tuber crops: opportunities for poverty alleviation and sustainable livelihoods in developing countries. In: Proceed 13th Triennial Symp, Internat Soc Tropical Root Crops (ISTRC), Arusha, Tanzania, 10–14 Nov 2003
Baafi E, Blay ET, Ofori K, Gracen VE, Manu-Aduening J, Carey EE (2017) Breeding superior orange-fleshed sweetpotato cultivars for West Africa. J Crop Improv 30:293–310
Burri BJ (2011) Evaluating sweet potato as an intervention food to prevent vitamin A deficiency. Comp Rev Food Sci Food Saf 10:118–130
Cervantes-Flores JC, Sosinski B, Pecota KV, Mwanga ROM, Catignani GL, Truong VD, Watkins RH, Ulmer MR, Yencho GC (2011) Identification of quantitative trait loci for dry-matter, starch, and β-carotene content in sweetpotato. Mol Breed 28:201–216
Clark CA, Hoy MW (2006) Effects of common viruses on yield and quality of Beauregard sweetpotato in Louisiana. Plant Dis 90:83–88
Clydesdale FM (1976) Instrumental techniques for color measurement of foods. Food Technol 30:52–59
Clydesdale FM, Ahmed EM (1978) Colorimetry methodology and applications. Paper No 2197, Mass Agric Exp Stn, Univ Mass, Amherst, MA. CRC Crit Rev Food Sci Nutrit 10:243–301
Eckstut J, Eckstut A (2013) Secret language of color: Science, nature, history, culture, beauty of red, orange, yellow, green, blue, & violet. Black Dog Leventhal Publ Inc, NY, p 240
Elameen A, Fjellheim S, Larsen A, Rognli OA, Sundheim L, Msolla S, Masumba E, Mtunda K, Klemsdal SS (2008) Analysis of genetic diversity in a sweet potato (Ipomoea batatas L.) germplasm collection from Tanzania as revealed by AFLP. Genet Res Crop Evol 55:397–408
Elameen A, Larsen A, Klemsdal SS, Fjellheim S, Sundheim L, Msolla S, Masumba E, Rognli OA (2011) Phenotypic diversity of plant morphological and root descriptor traits within a sweet potato, Ipomoea batatas (L.) Lam., germplasm collection from Tanzania. Genet Res Crop Evol 58:397–407
Fay MF (1994) In what situations is in vitro culture appropriate to plant conservation? Biodivers Conserv 3:176–183
Francis FJ (1980) Color quality evaluation of horticultural crops. HortScience 15:58–59
Furbank RT, Tester M (2011) Phenomics—technologies to relieve the phenotyping bottleneck. Trends Plant Sci 16:634–644
Gichuki ST, Berenyi M, Zhang DP, Hermann M, Schmidt J, Glossl J, Burg K (2003) Genetic diversity in sweetpotato [Ipomoea batatas (L.) Lam.] in relationship to geographic sources as assessed with RAPD markers. Gen Res Crop Evol 50:429–437
Gichuru V, Aritua V, Lubega GW, Edema R, Adipala E, Rubaihayo PR (2006) A preliminary analysis of diversity among East African sweetpotato landraces using morphological and simple sequence repeats (SSR) markers. Acta Hort 703:159–164
Ginting E, Yulifianti R, Jusuf M (2017) Selected orange-fleshed sweet potato genotypes with high dry matter and beta-carotene contents. Acta Hort 1152:367–374
Hagenimana V, Carey EE, Gichuki ST, Oyunga MA, Imungi JK (1998) Carotenoid contents in fresh, dried and processed sweet potato products. Ecol Food Nutrit 37:455–473
Hao YM, Guo L, Han YC, Diao Y, Yang XS, Hu ZL (2007) Genetic diversity analysis of sweet potato based on SRAP makers. J Wuhan Bot Res 25:406–409
He XQ, Liu QC, Zhai H, Wang YP (2005) The use of RAPD, ISSR and AFLP markers for analyzing genetic relationships among sweetpotato cultivars with known origin. Acta Agron Sinica 31:1300–1304
Hernandez TP, Hernandez TP, Constantin RJ, Miller JC (1965) Inheritance of and method of rating flesh color in Ipomoea batatas. Proc Am Soc Hort Sci 87:387–390
Huamán Z (1991) Descriptors for sweet potato. Internat Board Plant Genet Res (IBPGR), Rome, Italy, 134 pp. Accessed 26 May 2017. http://www.bioversityinternational.org/uploads/tx_news/Descriptors_for_sweet_potato_Descripteurs_pour_la_patate_douce_Descriptores_de_la_batata_263.pdf
Huamán Z (1992) Systematic botany and morphology of the sweetpotato plant. Tech Info Bull 25, Internat Potato Center (CIP), Lima, Peru, 25 pp. Accessed 26 May 2017. http://www.sweetpotatoknowledge.org/wp-content/uploads/2016/01/Systematic-Botany-and-Morphology-of-the-Sweetpotato-Plant.pdf
Huamán Z, de la Puente F (1988) Development of a sweet potato genebank at CIP. Internat Potato Center Circ 16:1–7
Huang JC, Sun M (2000) Genetic diversity and relationships of sweetpotato and its wild relatives in Ipomoea series batatas (Convolvulaceae) as revealed by inter–simple sequence repeat (ISSR) and restriction analysis of chloroplast DNA. Theor Appl Genet 100:1050–1060
Hunter RS, Harold RW (1987) The measurement of appearance, 2nd edn. Wiley, NY, p 411
HunterLab (2008a) CIE L*a*b* color scale. Application Note, Insight on Color 8(7):1–4. Accessed 26 May 2017. https://www.hunterlab.se/wp-content/uploads/2012/11/CIE-L-a-b-.pdf
HunterLab (2008b) CIE L*C*h color scale. Application Note, insight on Color 8(11):1–4. Accessed 26 May 2017. https://www.hunterlab.se/wp-content/uploads/2012/11/CIE-L-C-h.pdf
HunterLab (2015) What is the difference between CIE F11 and TL84 illuminants? Accessed 26 May 2017. https://support.hunterlab.com/hc/en–us/articles/205071949–What–is–the–difference–between–CIE–F11–and–TL84–illuminants
Imbert MP, Seaforth CE, Williams DB (1966) The anthocyanin pigments of the sweetpotato Ipomoea batatas (L.) Lam. J Am Soc Hort Sci 88:481–485
Islam MS, Yoshimoto M, Terahara N, Yamakawa O (2002) Anthocyanin compositions in sweetpotato (Ipomoea batatas L.) leaves. Biosci Biotech Biochem 66:2483–2486
ISO/CIE (2008) Colorimetry– Part 4: CIE 1976 L*a*b* colour space. Joint ISO/CIE standard: ISO 11664–4:2008/CIE S 014–4/E:2007. International Organization for Standardization (ISO), Geneva, Switzerland, and Commission Internationale d’Eclairage (CIE), Vienna, Austria. Accessed 26 May 2017. https://www.iso.org/standard/52497.html and http://www.techstreet.com/cie/standards/cie-s-014-4-e-2007-iso-11664-4-2008?product_id=1601627
Jackson DM, Bohac JR (2006) Improved dry-fleshed sweetpotato genotypes resistant to insect pests. J Econ Entomol 99:1877–1883
Jackson DM, Bohac JR, Thies JA, Harrison HF (2010) ‘Charleston Scarlet’ sweetpotato. HortScience 45:306–309
Jackson DM, Harrison HF, Thies JA, Bohac JR, Mueller JD (2011) ‘Liberty’ dry–fleshed sweetpotato. HortScience 46:125–129
Jackson DM, Harrison HF, Jarret RL, Wadl PA (2017) Data from: Color analysis of storage roots from the USDA, ARS sweetpotato germplasm collection. Ag Data Commons Beta, US Dept Agric, Agric Res Serv, Nat Agric Lib. Accessed 9 June 2017. http://dx.doi.org/10.15482/USDA.ADC/1361524
Jarret RL (1989) A repository for sweetpotato germplasm. HortScience 24:886
Jarret RL, Austin DF (1994) Genetic diversity and systematic relationships in sweetpotato (Ipomoea batatas (L.) Lam.) and related species as revealed by RAPD analysis. Genet Res Crop Evol 41:165–173
Jarret RL, Florkowski WJ (1990) In vitro active vs. field genebank maintenance of sweet potato germplasm: major costs and considerations. HortScience 25:141–146
Kapinga R, Ndunguru J, Mulokozi G, Tumwegamire S (2009) Impact of common sweetpotato viruses on total carotenoids and root yields of an orange–fleshed sweetpotato in Tanzania. Sci Hort 122:1–5
Kays SJ (1999) Preharvest factors affecting appearance. Postharv Biol Technol 15:233–247
Konica–Minolta (2013) Chroma meter CR–400/410, E Instruction Manual. Konica Minolta Sensing, Inc., Toyko, Japan. Accessed 26 May 2017. https://www.konicaminolta.com/instruments/download/instruction_manual/color/pdf/cr–400–410_instruction_eng.pdf
Konica–Minolta (2014) Color data software CM–S100w SpectraMagic™ NX Professional/Lite Ver 2.6, E Instruction Manual. Konica Minolta Sensing, Inc, Toyko, Japan. Accessed 26 May 2017. https://www.konicaminolta.com/instruments/download/instruction_manual/software/pdf/smnx_26x_instruction_eng.pdf
Kou M, Xu JL, Li Q, Liu YJ, Wang X, Tang W, Yan H, Zhang YG, Ma DF (2016) Development of SNP markers using RNA–Seq technology and tetraprimer ARMS–PCR in sweetpotato. J Integr Agric 16:464–470
Lebot V, Michalet S, Legendre L (2016) Identification and quantification of phenolic compounds responsible for the antioxidant activity of sweet potatoes with different flesh colours using high performance thin layer chromatography (HPTLC). J Food Comp Anal 49:94–101
Leksrisompong PP, Whitson ME, Truong VD, Drake MA (2012) Sensory attributes and consumer acceptance of sweet potato cultivars with varying flesh colors. J Sens Stud 27:59–69
Liu DG, Zhao N, Hong Z, Yu XX, Jie Q, Wang LJ, He SZ, Liu QC (2012) AFLP fingerprinting and genetic diversity of main sweetpotato varieties in China. J Integr Agric 11:1424–1433
Loebenstein G, Thottappilly G (2009) The Sweetpotato. Springer, Dordrecht
Low JW, Arimond M, Osman N, Cunguara B, Zano F, Tschirley D (2007) A food-based approach introducing orange–fleshed sweet potatoes increased vitamin A intake and serum retinol concentrations in young children in rural Mozambique. J Nutrit 137:1320–1327
Martin FW, Rodriguez-Sosa EJ (1985) Preference for color, sweetness, and mouthfeel of sweet potato in Puerto Rico. J Agric Univ PR 69:99–106
McGuire RG (1992) Reporting of objective color measurements. HortScience 27:1254–1255
McLaren K (1976) XIII–The development of the CIE 1976 (L*a*b*) uniform colour space and colour-difference formula. J Soc Dyers Colour 92:338–341
Mendoza F, Dejmek P, Aguilera JM (2006) Calibrated color measurements of agricultural foods using image analysis. Postharv Biol Technol 41:285–295
Mohanraj R, Sivasankar S (2014) Sweet potato (Ipomoea batatas [L.] Lam)—A valuable medicinal food: a review. J Med Food 17:733–741
Murashige T, Skoog F (1962) A revised medium for rapid growth and bio assays with tobacco tissue cultures. Physiol Plant 15:473–497
Mwanga ROM, Odongo B, Niringiye C, Kapinga R, Tumwegamire S, Abidin S, Carey E, Lemaga B, Nsumba J, Zhang D (2010) Sweetpotato selection releases: lesson learnt from Uganda. Afr Crop Sci J 15:11–23
Nair AGH, Vidya P, Sreekumar J, Sheela MN, Mohan C (2015) Evaluation of dry matter, starch content and β-carotene in F1 progenies of a cross between white-fleshed and orange-fleshed sweet potato. J Root Crops 41:17–22
Nassau K (2001) The physics and chemistry of color the fifteen causes of color, 2nd edn. Wiley, Hoboken, p 504
Papadakis SE, Abdul-Malek S, Kamdem RE, Yam KL (2000) A versatile and inexpensive technique for measuring color of foods. Food Technol 54:48–51
Park SC, Kim YH, Kim SH, Jeong YJ, Kim CY, Lee JS, Bae JY, Ahn MJ, Jeong JC, Lee HS, Kwak SS (2015) Overexpression of the IbMYB1 gene in an orange-fleshed sweet potato cultivar produces a dual-pigmented transgenic sweet potato with improved antioxidant activity. Physiol Plantar 153:525–537
Pathare PB, Opara UL, Al-Said FAJ (2013) Colour measurement and analysis in fresh and processed foods: a review. Food Bioprocess Technol 6:36–60
Pecota K, Jester W, Yencho C (2005) Identfying boniato–type sweetpotato cultivars adapted to North Carolina growing conditions. NC State Univ. Accessed 26 May 2017. https://projects.ncsu.edu/cals/specialty_crops/publications/reports/boniato.html
Placide R, Shimelis H, Laing M, Gahakwa D (2015) Phenotypic characterisation of sweetpotato genotypes grown in East and Central Africa. S Afr J Plant Soil 32:77–86
Ranck J (2016) Let food be thy medicine-fighting blindness with orange-fleshed sweetpotato. CIP (Internat Potato Center), Lima, Peru. Accessed 26 May 2017. http://cipotato.org/sweetpotato
Roca WM, Montesinos GR, Campilan D, Laliberté B, Renoso D, Rao R, de Chavez H (2007) Global strategy for ex-situ conservation of sweet potato genetic resources. CIP (International Potato Center), Lima, Peru, p 76
SAS (2009) SAS for Windows, Version 9.1. SAS Inst, Cary, NC. Accessed 26 May 2017. http://support.sas.com/documentation/onlinedoc/91pdf/index.html
Shevell SK (2003) The science of color, 2nd ed. Elsevier Science. 350 pp. Accessed 26 May 2017. https://www.elsevier.com/books/the–science–of–color/shevell/978–0–444–51251–2
Shumbusha D, Shimelis H, Laing M, Asiimwe T (2017) Phenotypic diversity analysis of sweetpotato for breeding dual–purpose varieties. Acta Agric Scand, Sect B 67:340–351
Si Z, Du B, Huo J, He S, Liu Q, Zhai H (2016) A genome–wide BAC-end sequence survey provides first insights into sweetpotato (Ipomoea batatas (L.) Lam.) genome composition. BMC Genomics 17:945.15 pp. https://doi.org/10.1186/s12864-016-3302-1
Solankey SS, Singh PK, Singh RK (2015) Interrelationship of qualitative and quantitative traits in sweet potato. Internat J Veg Sci 21:236–248
Steel RGD, Torrie JH (1960) Principles and procedures of statistics. McGraw-Hill Book Co Inc, NY, p 481
Su W, Wang L, Lei J, Chai S, Liu Y, Yang Y, Yang X, Jiao C (2017) Genome–wide assessment of population structure and genetic diversity and development of a core germplasm set for sweet potato based on specific length amplified fragment (SLAF) sequencing. PLoS ONE 12(2):E0172066. https://doi.org/10.1371/journal.pone.0172066
Tairo F, Mneney E, Kullaya A (2008) Morphological and agronomical characterization of sweet potato [Ipomoea batatas (L.) Lam.] germplasm collection from Tanzania. Afr J Plant Sci 2:77–85
Tanaka M, Ishiguro K, Oki T, Okuno S (2017) Functional components in sweetpotato and their genetic improvement. Breed Sci 67:52–61
Teow CC, Truong VD, McFeeters RF, Thompson RL, Pecota KV, Yencho GC (2007a) Antioxidant activities, phenolic and β-carotene contents of sweet potato genotypes with varying flesh colours. Food Chem 103:829–838
Teow CC, Truong VD, Thompson RL, McFeeters RF, Pecota KV, Yencho GC (2007b) Anthocyanin content and antioxidant activity of purple-fleshed sweetpotato collections. HortScience 42:451
Terahara N, Shimizu T, Kato Y, Nakamura M, Maitani T, Yamaguchi MA, Goda Y (1999) Six diacylated anthocyanins from the storage roots of purple sweet potato, Ipomoea batatas. Biosci Biotech Biochem 63:1420–1424
Tomlins K, Owori C, Bechoff A, Menya G, Westby A (2012) Relationship among the carotenoid content, dry matter content and sensory attributes of sweet potato. Food Chem 131:14–21
Van Oirschot QEA, Rees D, Aked J, Kihurani A (2006) Sweetpotato cultivars differ in efficiency of wound healing. Postharv Biol Technol 42:65–74
Vimala B, Attaluri S, Binu H, Gruneberg WJ (2012) Variation in morphological characters and storage root yield among exotic orange–fleshed sweet potato clones and their seedling populations. J Root Crops 38:32–37
Whitehead RD, Ozakinci G, Stephen ID, Perrett DI (2012) Appealing to vanity: could potential appearance improvement motivate fruit and vegetable consumption? Am J Pub Health 102:207–211
Woolfe JA (1992) Sweet potato: an untapped food reserve. Cambridge Univ. Press, Cambridge
Wyszecki G, Stiles WS (1982) Color science: Concepts and methods, quantitative data and formulae (2nd ed.). Wiley–Intersci Publ, John Wiley & Sons, Inc, NY, 949 pp
Yan L, Lai X, Li X, Wei C, Tan X, Zhang Y (2015) Analyses of the complete genome and gene expression of chloroplast of sweet potato [Ipomoea batata]. PLoS ONE 10(4): e0124083. https://doi.org/10.1371/journal.pone.0124083
Yang XS, Su WJ, Wang LJ, Lei J, Chai SS, Liu QC (2015) Molecular diversity and genetic structure of 380 sweetpotato accessions as revealed by SSR markers. J Integr Agric 14:633–641
Zhang DP, Hijmans R, Kriegner A, Rossel G (2004) AFLP assessment of diversity in sweetpotato from Latin America and the Pacific region: its implications on the dispersal of the crop. Genet Res Crop Evol 51:115–120
Zhang K, Wu ZD, Li YH, Zhang H, Wang LP, Zhou QL, Tang DB, Fu YF, He FF, Jiang YC, Yang H, Wang JC (2014) ISSR–based molecular characterization of an elite germplasm collection of sweet potato (Ipomoea batatas L.) in China. J Integr Agric 13:2346–2361
Acknowledgements
The authors thank Ty Phillips, Sarah Moon, and Merrelyn Spinks for their excellent technical support. This project was partially funded for two years by the USDA, REE, ARS, Office of National Programs, Crop Production and Protection as Germplasm Evaluation Project No. 6659-22000-024-00D (“Evaluating the Integrity of the Sweetpotato Germplasm Collection”).
Author information
Authors and Affiliations
Corresponding author
Additional information
The use of trade, firm, or corporation names in this publication is for the information and convenience of the reader. Such use does not constitute an official endorsement or approval by the United States Department of Agriculture or the Agricultural Research Service of any product or service to the exclusion of others that may be suitable.
Rights and permissions
About this article
Cite this article
Michael Jackson, D., Harrison, H.F., Jarret, R.L. et al. Color analysis of storage roots from the USDA, ARS sweetpotato (Ipomoea batatas) germplasm collection. Genet Resour Crop Evol 65, 1217–1236 (2018). https://doi.org/10.1007/s10722-018-0609-6
Received:
Accepted:
Published:
Issue Date:
DOI: https://doi.org/10.1007/s10722-018-0609-6

