Abstract
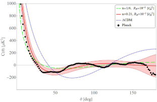
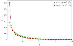
We explore a model of the early universe in which the inflationary epoch is preceded by a cosmic bounce, and argue that this scenario provides a common origin to several of the anomalous features that have been observed at large angular scales in the cosmic microwave background (CMB). More concretely, we show that a power suppression, a dipolar asymmetry, and a preference for odd-parity correlations, with amplitude and scale dependence in consonance with observations, are expected from this scenario. The model also alleviates the tension in the lensing amplitude. These signals originate from the indirect effect that non-Gaussian correlations between CMB modes and super-horizon wavelengths induce in the power spectrum. We follow a phenomenological approach, restricted to a family of bouncing models, and complement our analysis by pointing out to well established theories where our ideas are materialized.
This is a preview of subscription content, access via your institution.





References
Bennett, C.L., Larson, D., Weiland, J.L., Jarosik, N., Hinshaw, G., Odegard, N., Smith, K.M., Hill, R.S., Gold, B., Halpern, M., et al.: ApJS 208, 20 (2013)
Akrami et al. Y.: (Planck) (2019). arXiv:1906.02552
Ade, P.A.R., et al.: Planck. Astron. Astrophys. 571, A23 (2014)
Ade, P.A.R., et al.: Planck. Astron. Astrophys. 594, A16 (2016)
Y. Akrami et al. (Planck) (2018a). arXiv:1807.06205
Jeong, D., Kamionkowski, M.: Phys. Rev. Lett. 108, 251301 (2012)
Lewis, A.: JCAP 1110, 026 (2011)
Schmidt, F., Hui, L.: Phys. Rev. Lett. 110, 011301 ( 2013), [Erratum: Phys. Rev. Lett.110,059902(2013)]
Agullo, I.: Phys. Rev. D 92, 064038 (2015)
Adhikari, S., Shandera, S., Erickcek, A.L.: Phys. Rev. D 93, 023524 (2016)
Ade, P.A.R., et al.: Planck. Astron. Astrophys. 594, A17 (2016b)
Khoury, J., Ovrut, B.A., Steinhardt, P.J., Turok, N.: Phys. Rev. D 64, 123522 (2001)
Lehners, J.-L.: Phys. Rep. 465, 223 (2008)
Brandenberger, R. H.: (2012). arXiv:1206.4196
Raveendran, R.N., Chowdhury, D., Sriramkumar, L.: JCAP 01, 030 (2018)
Ijjas, A., Steinhardt, P.J.: Phys. Lett. B 764, 289 (2017)
Shtanov, Y., Sahni, V.: Phys. Lett. B 557, 1 (2003)
Chamseddine, A.H., Mukhanov, V.: JCAP 1703, 009 (2017)
Langlois, D., Liu, H., Noui, K., Wilson-Ewing, E.: Class. Quant. Gravit. 34, 225004 (2017)
Ashtekar, A., Pawlowski, T., Singh, P.: Phys. Rev. Lett. 96, 141301 (2006a)
Ashtekar, A., Pawlowski, T., Singh, P.: Phys. Rev. D 74, 084003 (2006b)
Ashtekar, A., Singh, P.: Class. Quant. Gravit. 28, 213001 (2011)
Agullo , I., Singh, P.: Loop Quantum Gravity: The First 30 Years, edited by A. Ashtekar and J. Pullin (WSP, 2017), pp. 183–240
Agullo, I., Corichi, A.: in by A. Ashtekar and V. Petkov (2014), pp. 809–839. arXiv:1302.3833
Agullo, I., Kranas, D., Sreenath, V.: Class. Quant. Gravit. (at press) (2020)
Ashtekar, A., Gupt, B.: Class. Quant. Gravit. 34, 035004 (2017a)
Ashtekar, A., Gupt, B.: Class. Quant. Gravit. 34, 014002 (2017b)
de Blas, D.M., Olmedo, J.: JCAP 1606, 029 (2016)
Ashtekar, A., Gupt, B., Jeong, D., Sreenath, V.: (2020). arXiv:2001.11689
Xia, J.-Q., Cai, Y.-F., Li, H., Zhang, X.: Phys. Rev. Lett. 112, 251301 (2014)
Cai, Y., Wang, Y.-T., Zhao, J.-Y., Piao, Y.-S.: Phys. Rev. D 97, 103535 (2018)
Qiu, T., Wang, Y.-T.: JHEP 04, 130 (2015)
Cai, Y.-F.: Sci. China Phys. Mech. Astron. 57, 1414 (2014)
Raveendran, R.N., Sriramkumar, L.: Phys. Rev. D 99, 043527 (2019)
Ashtekar, A., Sloan, D.: Gen. Relativ. Gravit. 43, 3619 (2011a)
Ashtekar, A., Sloan, D.: Phys. Lett. B 694, 108 (2011b)
Corichi, A., Karami, A.: Phys. Rev. D 83, 104006 (2011)
Gupt, B., Singh, P.: Class. Quant. Gravit. 30, 145013 (2013)
Y. Akrami et al. (Planck) ( 2018b). arXiv:1807.06211
Zhu, T., Wang, A., Cleaver, G., Kirsten, K., Sheng, Q.: Phys. Rev. D 96, 083520 (2017)
Maldacena, J.M.: JHEP 05, 013 (2003)
Agullo, I., Bolliet, B., Sreenath, V.: Phys. Rev. D 97, 066021 (2018)
Hajian, A., Souradeep, T.: Astrophys. J. 597, L5 (2003)
Joshi, N., Jhingan, S., Souradeep, T., Hajian, A.: Phys. Rev. D 81, 083012 (2010)
Hinshaw, G., Banday, A.J., Bennett, C.L., Gorski, K.M., Kogut, A., Lineweaver, C.H., Smoot, G.F., Wright, E.L.: Astrophys. J. 464, L25 (1996)
Efstathiou, G.: Mon. Not. R. Astron. Soc. 348, 885 (2004)
Spergel, D.N., et al.: WMAP. Astrophys. J. Suppl. 148, 175 (2003)
Schwarz, D.J., Copi, C.J., Huterer, D., Starkman, G.D.: Class. Quant. Gravit. 33, 184001 (2016)
N. Aghanim et al. (Planck) (2019). arXiv:1907.12875
Lewis, A., Bridle, S.: Phys. Rev. D 66, 103511 (2002)
Di Valentino, E., Melchiorri, A., Silk, J.: Nat. Astron. 4, 196 (2019)
Eriksen, H.K., Hansen, F.K., Banday, A.J., Gorski, K.M., Lilje, P.B., Astrophys. J.: 605, 14 (2004), [Erratum: Astrophys. J.609,1198(2004)]
Ade, P.A.R., et al.: Planck. Astron. Astrophys. 571, A15 (2014)
Battefeld, D., Peter, P.: Phys. Rep. 571, 1 (2015)
Acknowledgements
We specially thank Boris Bolliet for several discussions, inputs, and initial collaboration on this project. We have benefited from discussions with A. Ashtekar, B. Gupt, J. Olmedo, J. Pullin, and P. Singh. We thank B. Gupt for assistance with Planck data. This work is supported by the NSF CAREER Grant PHY-1552603, and from the Hearne Institute for Theoretical Physics. V.S. was supported by Louisiana State University and Inter-University Centre for Astronomy and Astrophysics during earlier stages of this work. This research was conducted with high performance computing resources provided by Louisiana State University (http://www.hpc.lsu.edu), and based on observations obtained with Planck (http://www.esa.int/Planck), an ESA science mission with instruments and contributions directly funded by ESA Member States, NASA, and Canada.
Author information
Authors and Affiliations
Corresponding author
Additional information
Publisher's Note
Springer Nature remains neutral with regard to jurisdictional claims in published maps and institutional affiliations.
Rights and permissions
About this article
Cite this article
Agullo, I., Kranas, D. & Sreenath, V. Anomalies in the CMB from a cosmic bounce. Gen Relativ Gravit 53, 17 (2021). https://doi.org/10.1007/s10714-020-02778-9
Received:
Accepted:
Published:
DOI: https://doi.org/10.1007/s10714-020-02778-9