Abstract
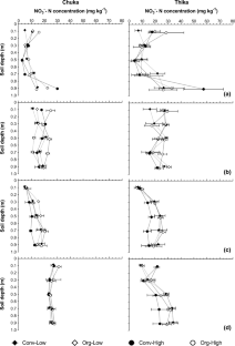
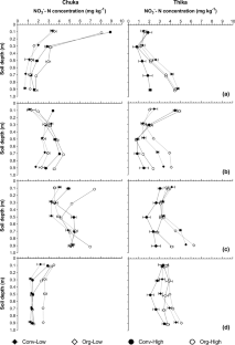
Organic farming has been proposed as a solution to foster agricultural sustainability and mitigate the negative environmental impacts of conventional farming. This study assessed N losses and soil surface N balances in conventional and organic farming systems in a sub-humid and semi-humid (Chuka and Thika) sites in Kenya. Nitrate–N (NO3−–N) leached was trapped at 1 m depth using the Self Integrating Accumulator core method and the changes in mineral-N were assessed at different soil depths and different crop growth stages. Both conventional and organic farming systems lost substantial amounts of NO3−–N at the early growth stages of all the crops. Cumulative NO3−–N leached was similar in all the farming systems in each cropping season. More NO3−–N was leached during potato cropping (22–38 kg N ha−1) than during maize (0.9–5.7 kg N ha−1) and vegetable cropping (1.9–2.9 kg N ha−1). Under maize cultivation, three times more NO3−–N was leached at Chuka site than at Thika site. During the potato cropping, between 79 and 83% of the N applied in the low input systems was leached, compared to 10–20% in the high input systems. Only Org-High exhibited a positive soil surface N balance (797–1263 kg ha−1) over a whole rotation period at both sites. We recommend reducing N applications for potato in all farming systems and at the early growth stages for all the crops in order to reduce N loss to the environment. We also recommend increasing N application rates in the low input systems and to developing a model to guide application of organic inputs.
Similar content being viewed by others
References
Abebe Z, Feyisa H (2017) Effects of nitrogen rates and time of application on yield of maize: rainfall variability influenced time of N application. Hindawi Int J Agron 2017:1–10
Adamtey N, Musyoka MW, Zundel C, Cobo JG, Karanja EK, Fiaboe KKM, Muriuki AW, Mucheru-Muna M, Vanlauwe B, Berset E, Messmer MM, Gattinger A, Bhullar GS, Cadisch G, Fliessbach A, Mäder P, Niggli U, Foster D (2016) Productivity, profitability and partial nutrient balance in maize-based conventional and organic farming systems in Kenya. Agric Ecosyst Environ 235:64–79. https://doi.org/10.1016/j.agee.2016.10.001
Anderson JM, Ingram JSI (1993) Tropical soil biology and fertility: a handbook of methods, 2nd edn. CAB International, Wallingford
Aronsson H, Torstensson G, Bergström L (2007) Leaching and crop uptake of N, P and K from organic and conventional cropping systems on a clay soil. Soil Use Manag 23:71–81
Askegaard M, Olesen JE, Rasmussen IA, Kristensen K (2011) Nitrate leaching from organic arable crop rotations is mostly determined by autumn field management. Agric Ecosyst Environ 142:149–160
Bates DM, Maechler M, Bolker B (2013) lme4: linear mixed-effects models using S4 classes. R package version 0.999999-2. http://CRAN.R-project.org/package=lme4
Bergström L, Kirchmann H, Aronsson H, Torstensson G, Mattsson L (2008) Use efficiency and leaching of nutrients in organic and conventional cropping systems in Sweden. In: Kirchmann H, Bergström L (eds) Organic crop production—ambitions and limitations. Springer, Dordrecht, pp 143–159
Bischoff W-A (2009) Development and applications of the self-integrating accumulators: a method to quantify the leaching losses of environmentally relevant substances. Hohenheimer Bodenkundliche Hefte, Hefte 91, Universität Hohenheim, Stuttgart. 145S
Campos MM, Campos CR (2017) Applications of quartering method in soils and foods. Int J Eng Res Appl 7:35–39
Carneiro JP, Coutinho J, Trindade H (2012) Nitrate leaching from a maize × oats double-cropping forage system fertilized with organic residues under Mediterranean conditions. Agric Ecosyst Environ 160:29–39. https://doi.org/10.1016/j.agee.2011.09.001
Choi WJ, Chang SX, Kwak JH, Jung JW, Lim SS, Yoon KS, Choi SM (2007) Nitrogen transformations and ammonia volatilization losses from 15 N-urea as affected by the co-application of composted pig manure. Can J Soil Sci 87:485–493
Cobo JG, Dercon G, Cadisch G (2010) Nutrient balances in African land use systems across different spatial scales: a review of approaches, challenges and progress. Agric Ecosyst Environ 136:1–15. https://doi.org/10.1016/j.agee.2009.11.006
Crawley MJ (2007) The R book. Wiley, West Sussex
Dixon J, Gulliver A, Gibbon D (2001) Farming systems and poverty: improving farmers’ livelihoods in a changing world. FAO, Rome
Evanylo G, Sherony C, Spargo J, Starner D, Brosius M, Haering K (2008) Soil and water environmental effects of fertilizer, manure, and compost-based fertility practices in an organic vegetable cropping system. Agric Ecosyst Environ 127:50–58
Goulding K (2000) Nitrate leaching from arable and horticultural land. Soil Use Manag 16:145–151
Graves S, Piepho H-P, Luciano S (2015) MulticompView: Visualization of paired comparisons. R package version 0.1-7. http://CRAN.R-project.org/package=multicompview
Guzys S, Miseviciene S (2015) Nitrogen migration in crop rotations differing in fertilisation. Span J Agric Res 13:1–13. https://doi.org/10.5424/sjar/2015132-6672
Haas G, Berg M, Koepke U (2002) Nitrate leaching: Comparing conventional, integrated and organic agricultural production systems. In: Haas G, Berg M, Koepke U (eds) Agricultural effects on ground and surface waters. IAHS, London, pp 131–136
IUSS Working Group WRB (2006) World reference base for soil resources 2006, 2nd edn. World Soil Resour. Reports no. 103 1–127
Jaetzold R, Schmidt H, Hornetz B, Shisanya CA (2006a) Nairobi farm management handbook of Kenya: natural conditions and farm management information. Vol.II/C, East Kenya. Ministry of Agriculture, Nairobi, Kenya
Jaetzold R, Schmidt H, Hornetz B, Shisanya CA (2006b) Nairobi farm management handbook of Kenya: natural conditions and farm management information. Vol.II/B, Central Kenya. Ministry of Agriculture, Nairobi, Kenya
Kimetu JM, Mugendi DN, Palm CA, Mutuo PK, Gachengo CN, Bationo A, Nandwa S, Kungu JB (2004) Nitrogen fertilizer equivalencies of organics of differing quality and optimum combination with inorganic nitrogen source in Central Kenya. Nutr Cycl Agroecosyst 68:127–135
Kimetu JM, Mugendi DN, Bationo A et al (2006) Partial balance of nitrogen in a maize cropping system in humic nitisol of Central Kenya. Nutr Cycl Agroecosyst 76:261–270. https://doi.org/10.1007/s10705-005-6082-6
Knudsen MT, Kristensen IS, Berntsen J, Petersen BM, Kristensen ES (2006) Estimated N leaching losses for organic and conventional farming in Denmark. J Agric Sci 144:135. https://doi.org/10.1017/S0021859605005812
Kristensen HL, Thorup-Kristensen K (2004) Uptake of 15N labeled nitrate by root systems of sweet corn, carrot and white cabbage from 0.2–2.5 meters depth. Plant Soil 265:93–100
Kuznetsova A, Brockhoff PB, Christensen RHB (2013) lmerTest: Tests for random and fixed effects for linear mixed effect models (lmer objects of lme4 package) R package version 1.2-0. http://CRAN.R-project.org/package=lmerTest
Meisinger JJ, Delgado JA (2002) Principles for managing nitrogen leaching. J Soil Water Conserv 57:485–498
Musyoka MW, Adamtey N, Muriuki AW, Cadisch G (2017) Effects of organic and conventional farming systems on nitrogen uptake and use efficiencies of potato, maize and vegetables in the sub humid region of Central highlands of Kenya. Eur J Agron 86:24–36
Musyoka MW, Adamtey N, Bünemann EK, Muriuki AW, Karanja EN, Mucheru-Muna MW, Fiaboe KKM, Cadisch G (2019) Nitrogen release and synchrony in organic and conventional farming systems of the Central Highlands of Kenya. Nutr Cycl Agroecosyst 113:283–305. https://doi.org/10.1007/s10705-019-09978-z
Nyamangara J, Bergström LF, Piha MI, Giller KE (2003) Fertilizer use efficiency and nitrate leaching in a tropical sandy soil. J Environ Qual 32:599–606
Nyamangara J, Bationo A, Waswa B, Kihara J, Kimetu J (2007) Mineral N distribution in the soil profile of a maize field amended with cattle manure and mineral N under humid sub-tropical conditions. Springer, Dordrecht, pp 737–748
Okalebo JR, Guthua KW, Woomer PJ (2002) Laboratory methods of soil and plant analysis—a working manual, 2nd edn. TSBF-CIAT and SACRED Africa, Nairobi, Kenya, pp 1–128
Onduru DD, Diop JM, Van der Werf E, De Jager A (2002) Participatory on-farm comparative assessment of organic and conventional farmers’ practices in Kenya. Biol Agric Hortic 19:295–314. https://doi.org/10.1080/01448765.2002.9754935
Onwonga R, Freyer B (2006) Impact of traditional farming practices on nutrient balances in smallholder farming systems of Nakuru District, Kenya. In: Tropentag “prosperity and poverty in a globalised world—challenges for agricultural research.” Bonn
Pimentel D, Hepperly P, Hanson J, Douds D, Seidel R (2005) Environmental, energetic and economic comparisons of organic and conventional farming systems. Bioscience 55:573–582
Prasad VK, Badarinath KVS (2006) Soil surface nitrogen losses from agriculture in India: a regional inventory within agroecological zones (2000–2001). Int J Sustain Dev World Ecol 13:173–182. https://doi.org/10.1080/13504500609469670
Pypers P, Verstraete S, Thi CP, Merckx R (2005) Changes in mineral nitrogen, phosphorus availability and salt-extractable aluminium following the application of green manure residues in two weathered soils of South Vietnam. Soil Biol Biochem 37:163–172. https://doi.org/10.1016/j.soilbio.2004.06.018
R Development Core Team (2014) R: a language and environment for statistical computing. The R Foundation for Statistical Computing. http://www.R-project.org/. Vienna, Austria
Ramos C, Kücke M (2001) A review of methods for nitrate leaching measurement. Acta Hortic 563:259–266
Raun WR, Johnson GV (1999) Improving nitrogen use efficiency for cereal production. Agron J 91:357–363. https://doi.org/10.2134/agronj1999.00021962009100030001x
Robertson GP, Vitousek PM (2009) Nitrogen in agriculture: balancing the cost of an essential resource. Annu Rev Environ Resour 34:97–125
Rondon MA, Lehmann J, Ramírez J, Hurtado M (2007) Biological nitrogen fixation by common beans (Phaseolus vulgaris L.) increases with bio-char additions. Biol Fertil Soils 43:699–708. https://doi.org/10.1007/s00374-006-0152-z
Ross SM, Izaurralde RC, Janzen HH, Robertson JA, McGill WB (2008) The nitrogen balance of three long-term agroecosystems on a boreal soil in western Canada. Agric Ecosyst Environ 127:241–250. https://doi.org/10.1016/j.agee.2008.04.007
Roy RN, R.V. Misra, J.P. Lesschen, E.M. Smaling (2003) Assessment of soil nutrient balance: approaches and methodologies. FAO Fertil Plant Nutr Bull 14
Sainju UM (2017) Determination of nitrogen balance in agroecosystems. MethodsX 4:199–208. https://doi.org/10.1016/j.mex.2017.06.001
Sainju UM, Lenssen AW, Allen BL, Stevens WB, Jabro JD (2018) Nitrogen balance in dryland agroecosystem in response to tillage, crop rotation, and cultural practice. Nutr Cycl Agroecosyst 110:467–483. https://doi.org/10.1007/s10705-018-9909-7
Sanginga N, Ibewiro B, Houngnandan P, Vanlauwe B, Okogun JA, Akobundu IO, Versteeg M (1996) Evaluation of symbiotic properties and nitrogen contribution of mucuna to maize grown in the derived savanna of West Africa. Plant Soil 179:119–129. https://doi.org/10.1007/BF00011649
Stopes C, Lord EI, Philipps L, Woodward L (2002) Nitrate leaching from organic farms and conventional farms following best practice. Soil Use Manag 18:256–263. https://doi.org/10.1111/j.1475-2743.2002.tb00267.x
Tittonell P, Vanlauwe B, de Ridder N, Giller KE (2007) Heterogeneity of crop productivity and resource use efficiency within smallholder Kenyan farms: soil fertility gradients or management intensity gradients? Agric Syst 94:376–390
Tully KL, Lawrence D (2011) Closing the loop: nutrient Balances in organic and conventional coffee agroforests. J Sustain Agric 35:671–695. https://doi.org/10.1080/10440046.2011.586599
Tully K, Sullivan CC, Weil R, Sanchez PA (2015) The state of soil degradation in Sub-saharan Africa: baselines, trajectories, and solutions. Sustainability 7:6523–6552. https://doi.org/10.3390/su7066523
van Beek CL, Brouwer L, Oenema O (2003) The use of farmgate balances and soil surface balances as estimator for nitrogen leaching to surface water. Nutr Cycl Agroecosyst 67:233–244. https://doi.org/10.1023/B:FRES.0000003619.50198.55
van Leeuwen MMWJ, van Middelaar CE, Oenema J et al (2019) The relevance of spatial scales in nutrient balances on dairy farms. Agric Ecosyst Environ 269:125–139. https://doi.org/10.1016/j.agee.2018.09.026
Wandera OE, Mercy AA, Maingi J, Njeru E (2016) Elucidating the potential of native rhizobial isolates to improve biological nitrogen fixation and growth of common bean and soybean in smallholder farming systems of Kenya. Int J Agron 2016:1–7. https://doi.org/10.1155/2016/4569241
Wang H-J, Huang B, Shi X-Z, Darilek JL, Yu D, Sun W-X, Zhao Y-C, Chang Q, Öborn I (2008) Major nutrient balances in small-scale vegetable farming systems in peri-urban areas in China. Nutr Cycl Agroecosyst 81:203–218
Watson CA, Bengtsson H, Ebbesvik M, Løes AK, Myrbeck A, Salomon E, Schroder J, Stockdale EA (2002) A review of farm-scale nutrient budgets for organic farms as a tool for management of soil fertility. Soil Use Manag 18:264–273. https://doi.org/10.1111/j.1475-2743.2002.tb00268.x
Zebarth BJ, Milburn PH (2003a) Spatial and temporal distribution of soil inorganic nitrogen concentration in potatohills. Can J Soil Sci 83:183–195
Zebarth BJ, Milburn PH (2003b) Spatial and temporal distribution of soil inorganic nitrogen concentration in potatohills. Can J Soil Sci 83:183–195
Zebarth BJ, Leclerc Y, Moreau G, Gareau R, Milburn PH (2003) Soil inorganic nitrogen content in commercial potato fields in New Brunswick. Can J Soil Sci 83:425–429. https://doi.org/10.4141/S02-065
Zhaohui L, Xiaozong S, Lihua J, Haitao L, Yu X, Xinhao G, Fuli Z, Deshui T, Mei M, Jing S, Yuwen S (2012) Strategies for managing soil nitrogen to prevent nitrate-N leaching in intensive agriculture system. In: Soriano MCH (ed) Soil health and land use management. InTechOpen, London, pp 133–154
Zhenghu D, Honglang X (2000) Effects of soil properties on ammonia volatilization. Soil Sci Plant Nutr 46:485–845
Zvomuya F, Rosen CJ, Russelle MP, Gupta SC (2003) Nitrate leaching and nitrogen recovery following application of polyolefin-coated urea to potato. J Environ Qual 32:480–489
Acknowledgements
We gratefully acknowledge the financial support for this research provided by the Biovision Foundation, The Swiss Coop Sustainability Fund, Liechtenstein Development Service (LED) and the Swiss Agency for Development and Cooperation (SDC). We also gratefully acknowledge financial support for the core research agenda of ICIPE provided by UK Aid from the UK Government; the Swedish International Development Cooperation Agency (SIDA), the Swiss Agency for Development and Cooperation (SDC) and the Kenyan Government. We appreciate the support of Terraquat Ltd Company in providing training on the methodology used, which is patented (Pat. No. 19726813) in the Federal Republic of Germany. The support offered by the Kenya Agricultural and Livestock Research Organization (KALRO) at Muguga during laboratory analysis is much appreciated. We also appreciate the support provided by the SysCom Kenya team (the late Peter Owuor, Jane Makena and Felistas Mutua) during data collection. The support of Dr. Dionys Foster at the initial stages of the trial establishment and Beate Huber, among others) is also highly appreciated. Statistical guidance was provided by Dr. Daisy Salifu of ICIPE and Dr. Juan Laso of Hohenhem University is also appreciated. Dr. Nicholas Parrott’s (TextualHealing.eu, Hendaye) empathetic English language editing helped improve the clarity of the text. Lastly, but not the least to the reviewers for their critical and constructive comments which help to improve the quality of the manuscript. The views expressed herein do not necessarily reflect the official opinions of the donors.
Author information
Authors and Affiliations
Corresponding author
Additional information
Publisher's Note
Springer Nature remains neutral with regard to jurisdictional claims in published maps and institutional affiliations.
Electronic supplementary material
Below is the link to the electronic supplementary material.
Rights and permissions
About this article
Cite this article
Musyoka, M.W., Adamtey, N., Muriuki, A.W. et al. Nitrogen leaching losses and balances in conventional and organic farming systems in Kenya. Nutr Cycl Agroecosyst 114, 237–260 (2019). https://doi.org/10.1007/s10705-019-10002-7
Received:
Accepted:
Published:
Issue Date:
DOI: https://doi.org/10.1007/s10705-019-10002-7







