Skip to main content

Diel osmorespiration rhythms of juvenile marble goby (Oxyeleotris marmorata)

Abstract

Oxyeleotris marmorata is an ambush predator. It is known for slow growth rate and high market demand. Farming of O. marmorata still remains a challenge. In order to establish a proper feeding practice to stimulate growth, knowledge of its metabolic processes and cost should be examined. Therefore, this study was designed to investigate the diel osmorespiration rhythms of O. marmorata in response to feeding challenge by using an osmorespirometry assay. The results have shown that oxygen consumption rate of the fed fish was approximately 3 times higher than that of the unfed fish in early evening to support specific dynamic action. Digestion and ingestion processes were likely to be completed within 18–20 h in parallel with the ammonia excretion noticeable in early morning. Under resting metabolism, metabolic oxygen consumption was influenced by diel phase, but no effect was noted in ammonia excretion. As a nocturnal species, O. marmorata exhibited standard aerobic metabolic mode under dark phase followed by light phase, with high oxygen consumption rate found in either fed or unfed fish. It can be confirmed that both the diel phase and feeding have a significant interactive impact on oxygen consumption rate, whereas ammonia metabolism is impacted by feeding state. High metabolic rate of O. marmorata supports the nocturnal foraging activity in this fish. This finding suggested that feeding of O. marmorata should be performed during nighttime and water renewal should be conducted during daytime.

This is a preview of subscription content, access via your institution.

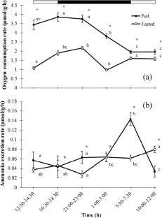
Fig. 1
Fig. 2

References

  • Alsop DH, Kieffer JD, Wood CM (1999) The effects of temperature and swimming speed on instantaneous fuel use and nitrogenous waste excretion of the Nile tilapia. Physiol Biochem Zool 72:474–483

    CAS  PubMed  Google Scholar 

  • Alsop DH, Lall SP, Wood CM (2014) Reproductive impacts and physiological adaptations of zebrafish to elevated dietary nickel. Comp Biochem Physiol C 165:67–75

    CAS  Google Scholar 

  • Alsop DH, Wood CM (1997) The interactive effects of feeding and exercise on oxygen consumption, swimming performance and protein usage in juvenile rainbow trout (Oncorhynchus mykiss). J Exp Biol 200:2337–2346

    CAS  PubMed  Google Scholar 

  • Asher G, Sassone-Corsi P (2015) Time for food: the intimate interplay between nutrition, metabolism, and the circadian clock. Cell 161:84–92

    CAS  PubMed  Google Scholar 

  • Auer SK, Salin K, Anderson GJ, Metcalfe NB (2018) Individuals exhibit consistent differences in their rates across changing thermal conditions. Comp Biochem Physiol A 217:1–6

    CAS  Google Scholar 

  • Brett JR, Zala CA (1975) Daily pattern of nitrogen excretion and oxygen consumption of sockeye salmon (Oncorhynchus nerka) under controlled conditions. J Fish Res Board Can 32:2479–2486

    Google Scholar 

  • Bucking C, Landman MJ, Wood CM (2010) The role of the kidney in compensating the alkaline tide, electrolyte load and fluid balance disturbance associated with feeding in the freshwater rainbow trout, Oncorhynchus mykiss. Comp Biochem Physiol A 165:74–83

    Google Scholar 

  • Bucking C, Wood CM (2012) Digestion of a single meal affects gene expression of ion and ammonia transporters and glutamine synthestase activity in the gastrointestinal tract of freshwater rainbow trout. J Comp Physiol B 182:341–350

    CAS  PubMed  Google Scholar 

  • Castanheira MF, Marins CIM, Engrola S, Conceição LEC (2011) Daily oxygen consumption rhythms of Senegalese sole Solea senegalensis (Kaup, 1858) juveniles. J Exp Mar Biol Ecol 407:1–5

    Google Scholar 

  • Cheah SH, Senoo S, Lam SY, Ang KJ (1994) Aquaculture of a high-value freshwater fish in Malaysia: the marble or sand goby (Oxyeleotris marmoratus, Bleeker). Naga ICLARM Quarterly 17:22–25

    Google Scholar 

  • Chew SF, Tng YYM, Wee NLJ, Wilson JM, Ip YK (2009) Nitrogen metabolism and branchial osmoregulatory acclimation in the juvenile marble goby, Oxyeleotris marmorata, exposed to seawater. Comp Biochem Physiol A 154:360–369

    Google Scholar 

  • Di Santo V, Kenaley CP, Lauder GV (2017) High postural costs and anaerobic metabolism during swimming support the hypothesis of a U-shaped metabolism-speed curve in fishes. Proc Natl Acad Sci U S A 114:13048–13053

    PubMed  PubMed Central  Google Scholar 

  • Eckel-Mahan K, Sassone-Corsi P (2013) Metabolism and the circadian clock converge. Physiol Rev 93:107–135

    CAS  PubMed  PubMed Central  Google Scholar 

  • Ferreira MS, Wood CM, Harter TS, Dal Pont G, Val AL, Matthews PGD (2019) Metabolic fuel use after feeding in the zebrafish (Danio rerio): a respirometric analysis. J Exp Biol 222:jeb194217

    PubMed  Google Scholar 

  • Gingerich AJ, Philipp DP, Suski CD (2009) Effects of nutritional status on metabolic rate, exercise and recovery in a freshwater fish. J Comp Physiol B 180:371–384

    Google Scholar 

  • He DC, Li G, Xie H, Liu ST, Luo YP (2015) Effects of feeding frequency on the post-feeding oxygen consumption and ammonia excretion of the juvenile snakehead. Turk J Fish Aquat Sci 15:293–301

    Google Scholar 

  • Hoa NP, Yi Y (2007) Prey ingestion and live food selectivity of marble goby (Oxyeleotris marmorata) using rice field prawn (Macrobrachium lanchesteri) as prey. Aquaculture 273:443–448

    Google Scholar 

  • Jobling M (1981) The influences of feeding on the metabolic rate of fishes: a short review. J Fish Biol 18:385–400

    Google Scholar 

  • Jow LY, Chew SF, Lim CB, Anderson PM, Ip YK (1999) The marble goby Oxyeleotris marmoratus activates hepatic glutamine synthetase and detoxifies ammonia to glutamine during air exposure. J Exp Biol 202:237–245

    CAS  PubMed  Google Scholar 

  • Kikuchi K, Takeda S, Honda H, Kiyono M (1992) Nitrogenous excretion of juvenile and young Japanese flounder. Nippon Suisan Gakkaishi 58:2329–2333

    CAS  Google Scholar 

  • Lai SKJ, Lim LS, Yong ASK, Kawamura G, Shapawi R (2018) A preliminary study to determine the potential of a prototype feeding stimulant in improving the weaning of juvenile marble goby (Oxyeleotris marmoratus). Songklanakarin J Sci Technol 40:163–166

    CAS  Google Scholar 

  • Lam SS, Ambak MA, Jusoh A, Law AT (2008) Waste excretion of marble goby (Oxyeleotris marmorata Bleeker) fed with different diets. Aquaculture 274:49–56

    CAS  Google Scholar 

  • Lam SS, Ma NL, Jusoh A, Ambak MA (2014) A study on the optimal tank design and feed type to the growth of marble goby (Oxyeleotris marmorata Bleeker) and reduction of waste in a recirculating aquaponic system. Desalin Water Treat 52:1044–1053

    CAS  Google Scholar 

  • Lam SS, Ma NL, Jusoh A, Ambak MA (2015) Biological nutrient removal by recirculating aquaponic system: optimization of the dimension ratio between the hydroponic and rearing tank components. Int Biodeterior Biodegradation 102:107–115

    CAS  Google Scholar 

  • Lauff RF, Wood CM (1997) Effects of training on respiratory gas exchange, nitrogenous waste excretion, and fuel usage during aerobic swimming in juvenile rainbow trout (Oncorhynchus mykiss). Can J Fish Aquat Sci 54:566–571

    Google Scholar 

  • Liao ZH, Lin XT, Wang C, Yu DG (2005) Study on the feeding rhythm of Oxyeleotris marmoratus larvae. Ecol Sci 24:240–242 (in mandarin with English abstract)

    Google Scholar 

  • Liew HJ, Chiarella D, Pelle A, Faggio C, Blust R, De Boeck G (2013a) Cortisol emphasizes the metabolic strategies employed by common carp, Cyprinus carpio at different feeding and swimming regimes. Comp Biochem Physiol A 166:449–464

    CAS  Google Scholar 

  • Liew HJ, Pelle A, Chiarella D, Faggio C, Blust R, De Boeck G (2020) Common carp, Cyprinus carpio prefer branchial ionoregulation at high feeding rates and kidney ionoregulation when food supply is limited: additional effects of cortisol and exercise. Fish Physiol Biochem 46:451–469

    CAS  PubMed  Google Scholar 

  • Liew HJ, Sinha AK, Mauro N, Diricx M, Blust R, De Boeck G (2012) Fasting goldfish, Carassius auratus and common carp, Cyprinus carpio, use different metabolic strategies when swimming. Comp Biochem Physiol A 163:327–335

    CAS  Google Scholar 

  • Liew HJ, Sinha AK, Nawata CM, Blust R, Wood CM, De Boeck W (2013b) Differential responses in ammonia excretion, sodium fluxes and gill permeability explain different sensitivities to acute high environmental ammonia in three freshwater teleosts. Aquat Toxicol 126:63–76

    CAS  PubMed  Google Scholar 

  • Lim LS, Lai SKJ, Yong ASK, Shapawi R, Kawamura G (2017) Feeding response of marble goby (Oxyeleotris marmorata) to organic acids, amino acids, sugars and some classical taste substances. Appl Anim Behav Sci 196:113–118

    Google Scholar 

  • Lim LS, Lai SKJ, Yong ASK, Shapawi R, Kawamura G (2016) Evaluation on the potential of betaine, taurine, nucleotide and nucleoside as feeding stimulant for juvenile marble goby Oxyeleotris marmoratus through behavioural assays. Int Aquat Res 8:161–167

    Google Scholar 

  • Lim LS, Lai SKJ, Yong ASK, Shapawi R, Kawamura G (2015) A preliminary study on the taste preferences of marble goby (Oxyeleotris marmoratus) for amino acids. Songklanakarin J Sci Technol 37:397–400

    Google Scholar 

  • Lim LS, Teoh CF, Kawamura G, Yong ASK, Shapawi R (2018) Feeding performance of juvenile marble goby (Oxyeleotris marmorata Bleeker, 1852) fed acidified diets. Fish Aquat Life 26:211–216

    CAS  Google Scholar 

  • Lin CK, Kaewpaitoon K (2000) An overview of freshwater cage culture in Thailand. In: Cage Aquaculture in Asia - Proceedings of the First International Symposium on Cage Aquaculture in Asia. Asian Fisheries Society, Manila, Philippine, pp 253–257

    Google Scholar 

  • Ling H, Fu SJ, Zeng LQ (2019) Predator stress decreases standard metabolic rate and growth in juvenile crucian carp under changing food availability. Comp Biochem Physiol A 231:149–157

    CAS  Google Scholar 

  • Liu HJ, Sakurai Y, Muhehara H, Takeyama S, Shimazaki K (1997) Effect of feeding time on oxygen consumption and ammonia excretion by the flounder Paralichthys olivaceus. Suisanzoshoku 45:81–86

    Google Scholar 

  • Luong VC, Yi Y, Lin CK (2005) Cove culture of marble goby (Oxyeleotris marmorata Bleeker) and carps in Tri An reservoir of Vietnam. Aquaculture 244:97–107

    Google Scholar 

  • McKenzie DJ, Shingles A, Taylor EW (2003) Sub-lethal plasma ammonia accumulation and the exercise performance of salmonids. Comp Biochem Physiol A 135:515–526

    CAS  Google Scholar 

  • McLean S, Persson A, Norin T, Killen SS (2018) Metabolic costs of feeding predictively alter the spatial distribution of individuals in fish schools. Curr Biol 28:1144–1149

    CAS  PubMed  Google Scholar 

  • Mohapatra BC, Sarkar B, Sharma KK, Mahji D (2009) Development and testing of demand feeder for carp feeding in outdoor culture system. Agricultural Engineering International: the CIGR Ejournal. Manuscript number 1352 Vol XI.

  • Nelson JA (2016) Oxygen consumption rate v. rate of energy utilization of fishes: a comparison and brief history of the two measurements. J Fish Biol 88:10–25

    CAS  PubMed  Google Scholar 

  • Rahmah S, Liew HJ, Napi N, Rahmat SA (2020) Metabolic cost of acute and chronic salinity response of hybrid red tilapia Oreochromis sp. larvae. Aquacult Rep:100233

  • Remen M, Nederlof MAJ, Folkedal O, Thorsheim G, Sitjà-Bobadilla A, Pérez-Sánchez J, Oppedal F, Olsen RE (2015) Effect of temperature on the metabolism, behaviour and oxygen requirements of Sparus aurata. Aquacult Environ Interact 7:115–123

    Google Scholar 

  • Rojtinnakorn J, Rittiplang S, Tongsiri S, Chaibu P (2012) Tumeric extract inducing growth biomarker in sand goby (Oxyeleotris marmoratus). In: Proceedings of the 2nd International Conference on Chemical, Biological and Environment Sciences (ICCEBS 2012). Planetary Scientific Research, Bali, Indonesia, pp 41-43

  • Roques S, Deborde C, Richard N, Siba-Cassy S, Moing A, Fauconneau B (2018) Metabolomics and fish nutrition: a review in the context of sustainable feed development. Rev Aquacult (early view) 1-22

  • Rosenfeld J, Leeuwen TV, Richards J, Allen D (2015) Relationship between growth and standard metabolic rate: measurement artefacts and implications for habitat use and life-history adaptation in salmonids. J Anim Ecol 84:4–20

    PubMed  Google Scholar 

  • Sandblom E, Grans A, Axelsson M, Seth H (2014) Temperature acclimation rate of aerobic scope and feeding metabolism in fishes: implications in a thermally extreme future. Proc R Soc B 281:20141490

    PubMed  Google Scholar 

  • Saravanan S, Geurden I, Figueiredo-Silva AC, Nusantoro S, Kaushik S, Verreth J, Schrama JW (2013) Oxygen consumption constrains food intake in fish fed diet varying in essential amino acid composition. PLoS One 8:e72757

    CAS  PubMed  PubMed Central  Google Scholar 

  • Sinha AK, Liew HJ, Diricx M, Blust R, De Boeck G (2012) The interactive effects of ammonia exposure, nutritional status and exercise on metabolic and physiological responses in gold fish (Carassius auratus L.). Aquat Toxicol 109:33–46

    CAS  PubMed  Google Scholar 

  • Tan KK, Lam TJ (1973) Induced breeding and early development of the marble goby (Oxyeleotris marmorata, Blk.). Aquaculture 2:411–423

    Google Scholar 

  • Tavarutmaneegul P, Lin K (1988) Breeding and rearing of sand goby (Oxyeleotris marmoratus Blk.) fry. Aquaculture 69:299–305

    Google Scholar 

  • Teoh CF, Lim LS, Kawamura G (2018) Remarkably high ingestion ratio of acidic food in juvenile marble goby Oxyeleotris marmorata. Int Aquat Res 10:95–100

    Google Scholar 

  • Tng YYM, Wee NLJ, Ip YK, Chew SF (2008) Postprandial nitrogen metabolism and excretion in juvenile marble goby Oxyeleotris marmorata (Bleeker, 1852). Aquaculture 284:260–267

    CAS  Google Scholar 

  • Treberg JR, Killen SS, MacCormack TJ, Lamarre SG, Enders EC (2016) Estimates of metabolic rate and major constituents of metabolic demand in fishes under field condition: methods, proxies, and new perspectives. Comp Biochem Physiol A 202:10–12

    CAS  Google Scholar 

  • Van de Pol I, Flik G, Gorissen M (2017) Comparative physiology of energy metabolism: fishing for endocrine signals in the early vertebrate pool. Front Endocrinol 8:36. https://doi.org/10.3389/fendo.2017.00036

    Article  Google Scholar 

  • Wieser W, Laich A, Medgyesy N (1992) Energy allocation and yield and cost of growth in young Esox Lucius and Coregonus lavaretus (Teleostei): influence of species, prey type and body size. J Exp Biol 169:165–179

    Google Scholar 

  • Wood CM (1993) Ammonia and urea metabolism and excretion. In: Evans DH (ed) Physiology of fishes. CRC Press, Boca Raton, pp 379–425

    Google Scholar 

  • Zhdanova IV, Reebs SG (2006) Circadian rhythms in fish. In: Sloman KA, Wilson RW, Balshine S (eds) Fish physiology volume 24: behaviour and physiology of fish. Academic Press, United Kingdom, pp 197–228

    Google Scholar 

Download references

Author information

Affiliations

Authors

Corresponding author

Correspondence to Hon Jung Liew.

Additional information

Publisher’s note

Springer Nature remains neutral with regard to jurisdictional claims in published maps and institutional affiliations.

Rights and permissions

Reprints and Permissions

About this article

Verify currency and authenticity via CrossMark

Cite this article

Lim, LS., Tan, SY., Tuzan, A.D. et al. Diel osmorespiration rhythms of juvenile marble goby (Oxyeleotris marmorata). Fish Physiol Biochem 46, 1621–1629 (2020). https://doi.org/10.1007/s10695-020-00817-5

Download citation

  • Received:

  • Accepted:

  • Published:

  • Issue Date:

  • DOI: https://doi.org/10.1007/s10695-020-00817-5

Keywords

  • Aquaculture
  • Physiology
  • Metabolism
  • Growth
  • Circadian
  • Photoperiod
  • Feeding