Abstract
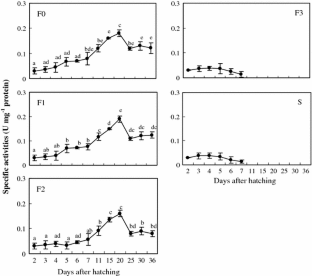
The ontogenetic development of the digestive enzymes amylase, lipase, trypsin, and alkaline phosphatase and the effect of starvation in miiuy croaker Miichthys miiuy larvae were studied. The activities of these enzymes were detected prior to exogenous feeding, but their developmental patterns differed remarkably. Trypsin activity continuously increased from 2 days after hatching (dah), peaked on 20 dah, and decreased to 25 dah at weaning. Alkaline phosphatase activity oscillated at low levels within a small range after the first feeding on 3 dah. In contrast, amylase and lipase activities followed the general developmental pattern that has been characterized in fish larvae, with a succession of increases or decreases. Amylase, lipase, and trypsin activities generally started to increase or decrease at transitions from endogenous to exogenous feeding or diet changes, suggesting that these enzymatic activities can be modulated by feeding modes. The activities of all the enzymes remained stable from 25 dah onwards, coinciding with the formation of gastric glands and pyloric caecum. These results imply that specific activities of these enzymes underwent changes due to morphological and physiological modifications or diet shift during larval development but that they became stable after the development of the digestive organs and associated glands was fully completed and the organs/glands functioned. Trypsin and alkaline phosphatase were more sensitive to starvation than amylase and lipase because delayed feeding up to 2 days after mouth opening was able to adversely affect their activities. Enzyme activities did not significantly differ among feeding groups during endogenous feeding; however, all activities were remarkably reduced when delayed feeding was within 3 days after mouth opening. Initiation of larvae feeding should occur within 2 days after mouth opening so that good growth and survival can be obtained in the culture.
This is a preview of subscription content, access via your institution.





References
Alvarez-González CA, Cervantes-Trujano M, Tovar-Ramírez D, Conklin DE, Nolasco H, Gisbert E et al (2006) Development of digestive enzymes in California halibut Paralichthys californicus larvae. Fish Physiol Biochem 31:83–93
Baglole CJ, Goff GP, Wright GM (1998) Distribution and ontogeny of digestive enzymes in larval yellowtail and winter flounder. J Fish Biol 53:767–784. doi:10.1111/j.1095-8649.1998.tb01831.x
Baragi V, Lovell RT (1986) Digestive enzyme activities in striped bass from first feeding through larval development. Trans Am Fish Soc 115:478–484
Bolasina S, Pérez A, Yamashita Y (2006) Digestive enzymes activity during ontogenetic development and effect of starvation in Japanese flounder, Paralichthys olivaceus. Aquaculture 252:503–515. doi:10.1016/j.aquaculture.2005.07.015
Boulhic M, Gabaudan J (1992) Histological study of the organogenesis of the digestive system and swim bladder of the Dover sole, Solea solea (Linnaeus 1758). Aquaculture 102:373–396. doi:10.1016/0044-8486(92)90190-V
Bradford MM (1976) A rapid and sensitive method for the quantitation of microgram quantities of protein utilizing the principle of protein-dye binding. Anal Biochem 72:248–254. doi:10.1016/0003-2697(76)90527-3
Buchet V, Zambonino Infante JL, Cahu CL (2000) Effect of lipid level in a compound diet on the development of red drum (Sciaenops ocellatus) larvae. Aquaculture 184:339–347. doi:10.1016/S0044-8486(99)00325-7
Buddington RK, Diamond JM (1989) Ontogenetic development of intestinal nutrient transporters. Annu Rev Physiol 51:601–619. doi:10.1146/annurev.ph.51.030189.003125
Cahu CL, Zambonino Infante JL (1994) Early weaning of sea bass (Dicentrarchus labrax) larvae with a compound diet: effect on digestive enzymes. Comp Biochem Physiol 109A:213–222. doi:10.1016/0300-9629(94)90123-6
Cahu C, Rønnestad I, Grangier V, Zambonino Infante JL (2004) Expression and activities of pancreatic enzymes in developing sea bass larvae (Dicentrarchus labrax) in relation to intact and hydrolyzed dietary protein; involvement of cholecystokinin. Aquaculture 238:295–308. doi:10.1016/j.aquaculture.2004.04.013
Cara JB, Moyano FJ, Cárdenas S, Fernández-Díaz C, Yúfera M (2003) Assessment of digestive enzyme activities during larval development of white bream. J Fish Biol 63:48–58. doi:10.1046/j.1095-8649.2003.00120.x
Chen BN, Qin JG, Kumar MS, Hutchinson WG, Clarke SM (2006a) Ontogenetic development of digestive enzymes in yellowtail kingfish Seriola lalandi larvae. Aquaculture 260:264–271. doi:10.1016/j.aquaculture.2006.06.021
Chen BN, Qin JG, Kumar MS, Hutchinson WG, Clarke SM (2006b) Ontogenetic development of the digestive system in yellowtail kingfish Seriola lalandi larvae. Aquaculture 256:489–501. doi:10.1016/j.aquaculture.2006.01.041
Chen BN, Qin JG, Carragher JF, Clarke SM, Kumar MS, Hutchinson WG (2007) Deleterious effects of food restrictions in yellowtail kingfish Seriola lalandi during early development. Aquaculture 271:326–335. doi:10.1016/j.aquaculture.2007.04.016
Comabella Y, Mendoza R, Aguilera C, Carrillo O, Hurtado A, García-Galano T (2006) Digestive enzyme activity during early larval development of the Cuban gar Atractosteus tristoechus. Fish Physiol Biochem 32:147–157. doi:10.1007/s10695-006-0007-4
Cousin JB, Baudin-Laurencin F, Gabaudan J (1987) Ontogeny of enzymatic activities in fed and fasting turbot, Scophthalmus maximus L. J Fish Biol 30:15–33. doi:10.1111/j.1095-8649.1987.tb05728.x
Crane RK, Boge G, Rigal A (1979) Isolation of brush border membranes in vesicular form from the intestinal spiral valve of the small dogfish Scyliorhinus canicula. Biochim Biophys Acta 554:264–267. doi:10.1016/0005-2736(79)90024-5
Cuvier-Péres A, Kestemont P (2002) Development of some digestive enzymes in Eurasian perch larvae Perca fluviatilis. Fish Physiol Biochem 24:279–285. doi:10.1023/A:1015033300526
Divakaran S, Kim BG, Ostrowski AC (1999) Digestive enzymes present in Pacific threadfin Polydactylus sexfilis (Bloch and Schneider 1801) and bluefin trevally Caranx melampygus (Cuvier 1833). Aquacult Res 30:781–787. doi:10.1046/j.1365-2109.1999.00407.x
Douglas SE, Gawlicka A, Mandla S, Gallant W (1999) Ontogeny of the stomach in winter flounder: characterization and expression of the pepsinogen and proton pump genes and determination of pepsin activity. J Fish Biol 55:897–915. doi:10.1111/j.1095-8649.1999.tb00729.x
Ferraris RP, Tan JD, de la Cruz MC (1987) Development of the digestive tract of milkfish, Chanos chanos (Forsskal): histology and histochemistry. Aquaculture 61:241–257. doi:10.1016/0044-8486(87)90153-0
Fountoulaki E, Alexis MN, Nengas I, Venou B (2005) Effect of diet composition on nutrient digestibility and digestive enzyme levels of gilthead sea bream (Sparus aurata L.). Aquacult Res 36:1243–1251. doi:10.1111/j.1365-2109.2005.01232.x
Gawlicka A, The SJ, Hung SSO, Hinton DE, de la Noüe J (1995) Histological and histochemical changes in the digestive tract of white sturgeon larvae during ontogeny. Fish Physiol Biochem 14:357–371. doi:10.1007/BF00003374
Gawlicka A, McLaughlin L, Hung SSO, de la Noüe J (1996) Limitations of carrageenan microbound diets for feeding white sturgeon, Acipenser transmontanus, larvae. Aquaculture 141:245–265. doi:10.1016/0044-8486(95)01220-6
Gawlicka A, Parent B, Horn MH, Ross N, Opstad I, Torrissen OJ (2000) Activity of digestive enzymes in yolk-sac larvae of Atlantic halibut (Hippoglossus hippoglossus): indication of readiness for first feeding. Aquaculture 184:303–314. doi:10.1016/S0044-8486(99)00322-1
Gisbert E, Rodriguez A, Castelló-Orvay F, Williot P (1998) A histological study of the development of the digestive tract of Siberian sturgeon (Acipenser baeri) during early ontogeny. Aquaculture 167:195–209. doi:10.1016/S0044-8486(98)00312-3
Gisbert E, Piedrahita RH, Conklin DE (2004) Ontogenetic development of the digestive system in California halibut (Paralichthys californicus) with notes on feeding practices. Aquaculture 232:455–470. doi:10.1016/S0044-8486(03)00457-5
Hamza N, Mhetli M, Kestemont P (2007) Effects of weaning age and diets on ontogeny of digestive activities and structures of pikeperch (Sander lucioperca) larvae. Fish Physiol Biochem 33:121–133. doi:10.1007/s10695-006-9123-4
Hoehne-Reitan K, Kjørsvik E, Gjellesvik DR (2001) Development of bile salt-dependent lipase in larval turbot. J Fish Biol 58:737–745. doi:10.1111/j.1095-8649.2001.tb00526.x
Kolkovski S, Tandler A, Kissil GM, Gertler A (1993) The effect of dietary exogenous digestive enzymes on ingestion, assimilation, growth and survival of gilthead seabream (Sparus aurata, Sparidae, Linnaeus) larvae. Fish Physiol Biochem 12:203–209. doi:10.1007/BF00004368
Kurokawa T, Suzuki T (1996) Formation of the diffuse pancreas and the development of digestive enzyme synthesis in larvae of the Japanese flounder Paralichthys olivaceus. Aquaculture 141:267–276. doi:10.1016/0044-8486(95)01237-0
Kurokawa T, Suzuki T (1998) Development of intestinal brush border aminopeptidase in the larval Japanese flounder Paralichthys olivaceus. Aquaculture 162:113–124. doi:10.1016/S0044-8486(98)00171-9
Liu YM, Zhu JZ, Wu HY, Shi DZ (1991) Studies on digestive enzymes and amino acid of larval and post-larval stages of prawn Penaeus chinensis (O’sbeck 1965) (in Chinese with English abstract). Oceanol Limnol Sin 22:571–575
Ma HM, Cahu C, Zambonino Infante JL, Yu HR, Duan QY, Le Gall MM et al (2005) Activities of selected digestive enzymes during larval development of large yellow croaker (Pseudosciaena crocea). Aquaculture 245:239–248. doi:10.1016/j.aquaculture.2004.11.032
Martínez I, Moyano FJ, Fernández-Díaz C, Yúfera M (1999) Digestive enzyme activity during larval development of the Senegal sole (Solea senegalensis). Fish Physiol Biochem 21:317–323. doi:10.1023/A:1007802708459
Mckellar RC, Cholette H (1986) Determination of the extracellular lipases of Pseudomonas fluorescens spp. in skim milk with the beta-naphthyl caprylate assay. J Dairy Res 53:301
Morais S, Cahu CL, Zambonino Infante JL, Robin J, Rønnestad I, Dinis MT et al (2004) Dietary TAG source level affects performance and lipase expression in larval sea bass (Dicentrarchus labrax). Lipids 39:449–458. doi:10.1007/s11745-004-1250-2
Moyano FJ, Díaz M, Alarcón FJ, Sarasquete MC (1996) Characterization of digestive enzyme activity during larval development of gilthead seabream (Sparus aurata). Fish Physiol Biochem 15:121–130. doi:10.1007/BF01875591
Munilla-Morán R, Stark JR, Barbour A (1990) The role of exogenous enzymes in digestion in cultured turbot larvae (Scophthalmus maximus L.). Aquaculture 88:337–350. doi:10.1016/0044-8486(90)90159-K
Nolasco H, Vega-Villasante F (1992) Rapid detection and quantification of amylase activity in fractions after liquid chromatography. J Biotechnol 23:103–109. doi:10.1016/0168-1656(92)90103-G
Oozeki Y, Bailey KM (1995) Ontogenetic development of digestive enzyme activities in larval walleye pollack, Theragra chalcogramma. Mar Biol (Berl) 122:177–186. doi:10.1007/BF00348930
Park IS, Seol DW, Cho SH, Song YC, Cho HJ, Noh CW et al (2006) Morphogenesis of the eye of brown croaker (Miichthys miiuy). Ocean Polar Res 28:287–290
Pedersen BH, Nilssen EM, Hjelmeland K (1987) Variations in the content of trypsin and trypsinogen in larval herring (Clupea harengus) digesting copepod nauplii. Mar Biol (Berl) 94:171–181. doi:10.1007/BF00392929
Péres A, Zambonino-Infante JL, Cahu C (1998) Dietary regulation of activities and mRNA levels of trypsin and amylase in sea bass (Dicentrarchus labrax) larvae. Fish Physiol Biochem 19:145–152. doi:10.1023/A:1007775501340
Perez-Casanova JC, Murray HM, Gallant JW, Ross NW, Douglas SE, Johnson SC (2004) Bile salt-activated lipase expression during larval development in the haddock (Melanogrammus aeglefinus). Aquaculture 235:601–617. doi:10.1016/j.aquaculture.2004.02.001
Ribeiro L, Zambonino-Infante JL, Cahu C, Dinis MT (1999) Development of digestive enzymes in larvae of Solea senegalensis, Kaup 1858. Aquaculture 179:465–473. doi:10.1016/S0044-8486(99)00180-5
Segner H, Storch V, Reinecke M, Kloas W, Hanke W (1994) The development of functional digestive and metabolic organs in turbot, Scophthalmus maximus. Mar Biol (Berl) 119:471–486. doi:10.1007/BF00347544
Shan XJ, Dou SZ (2008) Effects of delayed first feeding on growth, survival and biochemical composition of croaker Miichthys miiuy larvae (in Chinese with English abstract). Oceanol Limnol Sin 39:14–23
Shan XJ, Cao L, Huang W, Dou SZ (2008a) Feeding, morphological changes and allometric growth during starvation in miiuy croaker larvae. Environ Biol Fishes. doi:10.1007/s10641-008-9412-0
Shan XJ, Xiao ZZ, Huang W, Dou SZ (2008b) Effects of photoperiod on growth, mortality and digestive enzymes in miiuy croaker larvae and juveniles. Aquaculture 281:70–76. doi:10.1016/j.aquaculture.2008.05.034
Ueberschär B (1993) Measurement of proteolytic enzyme activity: significance and application in larval fish research. In: Walter BT, Fyhn HJ (eds) Physiological and biochemical aspects of fish development. University of Bergen, Bergen, pp 233–239
Vega-Villasante F, Nolasco H, Civera R (1993) The digestive enzymes of the Pacific brown shrimp Penaeus californiensis I: properties of amylase activity in the digestive tract. Comp Biochem Physiol 106B:547–550. doi:10.1016/0305-0491(93)90130-w
Versaw WK, Cuppett SL, Winters DD, Williams LE (1989) An improved colorimetric assay for bacterial lipase in nonfat dry milk. J Food Sci 54:1557–1558. doi:10.1111/j.1365-2621.1989.tb05159.x
Walford J, Lam TJ (1993) Development of digestive tract and proteolytic enzyme activity in sea bass (Lates calcarifer) larvae and juveniles. Aquaculture 109:187–205. doi:10.1016/0044-8486(93)90215-K
Yúfera M, Darias MJ (2007) The onset of exogenous feeding in marine fish larvae. Aquaculture 268:53–63. doi:10.1016/j.aquaculture.2007.04.050
Zambonino Infante JL, Cahu C (1994) Development and response to a diet change of some digestive enzymes in sea bass Dicentrarchus labrax larvae. Fish Physiol Biochem 12:399–408. doi:10.1007/BF00004304
Zambonino Infante JL, Cahu CL (1999) High dietary lipid levels enhance digestive tract maturation and improve Dicentrarchus larbrax larval development. J Nutr 129:1195–1200
Zambonino Infante JL, Cahu C (2001) Ontogeny of the gastrointestinal tract in marine fish larvae. Comp Biochem Physiol 130C:477–487. doi:10.1016/S1532-0456(01)00274-5
Zhang QY, Hong WS (2000) Status and prospects of artificial propagation and breeding technique of marine fish in China in the 1990s (in Chinese). Mod Fish Info 15:3–6
Zhong JS, Lou B, Yuan JF (2005) Study on the early development in larvae and juveniles of Miichthys miiuy (in Chinese with English abstract). J Shanghai Fish Univ 14:231–237
Acknowledgments
This study was supported by the National Natural Science Foundation of China (NSFC) under the program Science Fund for Creative Research Groups (No. 40821004) and The Ministry of Science and Technology of P. R. China under grant contracts Nos. 2007CB407305 and 006BAD09A02. We greatly appreciate the valuable comments of the editor and reviewers on the manuscript. We are grateful to Mr. Zhang MQ for his help in larval rearing.
Author information
Authors and Affiliations
Corresponding author
Rights and permissions
About this article
Cite this article
Shan, XJ., Huang, W., Cao, L. et al. Ontogenetic development of digestive enzymes and effect of starvation in miiuy croaker Miichthys miiuy larvae. Fish Physiol Biochem 35, 385–398 (2009). https://doi.org/10.1007/s10695-008-9263-9
Received:
Accepted:
Published:
Issue Date:
DOI: https://doi.org/10.1007/s10695-008-9263-9
Keywords
- Amylase
- Alkaline phosphatase
- Lipase
- Trypsin
- Delayed feeding
- Miichthys miiuy larvae