Abstract
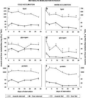
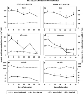
Cold-active burbot (Lota lota (L.)) display reduced food intake during the summer. The impact of temperature on their energy budget was investigated in starved fish in a laboratory setting, simulating summer (20°C) and winter (4°C) conditions, to elucidate the impact of high temperature on burbot metabolism. Metabolic effects in burbot were compared to roach (Rutilus rutilus (L.)), which typically fast in winter. During warm acclimation, starvation (four weeks) resulted in a metabolic depression of oxygen consumption in both species. In roach, metabolic rate decreased by 55% after two weeks of starvation. Burbot, in contrast, displayed an immediate depression of metabolic rate by 50%. In both species, no reductions were observed in the cold. The temperature-induced differences between the metabolic rates at 20°C and 4°C showed a lower thermal sensitivity in burbot (Q 10 = 1.9) compared to roach (Q 10 = 2.7). Notably, for each species, energy consumption during starvation was highest under experimental conditions simulating their natural active periods, respectively. Warm acclimated roach relied mainly on muscle reserves, whereas in cold acclimated burbot, liver metabolic stores made a major contribution to the energy turnover. In cold acclimated roach and warm acclimated burbot, however, starvation apparently reduced swimming activity, resulting in considerable savings of energy reserves. These lower energy expenditures in roach and burbot corresponded to their natural inactive periods. Thus, starvation in burbot caused a lower energy turnover when exposed to high temperatures. These season-dependent adaptations of metabolism represent an advantageous strategy in burbot to manage winter temperature and withstand metabolism-activating summer temperatures, whereas roach metabolism correlates with the seasonal temperature cycle.
This is a preview of subscription content, access via your institution.




Abbreviations
- CA:
-
cold acclimated
- CF:
-
condition factor
- HSI:
-
hepatosomatic index
- MO2 :
-
oxygen consumption
- SMR:
-
standard metabolic rate
- WA:
-
warm acclimated
References
Black D, Love RM (1986) The sequential mobilisation and restoration of energy reserves in tissues of Atlantic cod during starvation and refeeding. J Comp Physiol B 156:469–479
Brett JR, Groves TDD (1979) Physiological energetics. In: Hoar WS, Randall DJ Brett JR (eds) Fish physiology: bioenergetics and growth. Academic Press, New York, pp 279–352
Carl LM (1995) Sonic tracking of burbot in Lake Opeongo, Ontario. Trans Am Fish Soc 124:77–83
Collins AL, Anderson TA (1995) The regulation of endogenous energy stores during starvation and refeeding in the somatic tissues of the golden perch. J Fish Biol 47:1004–1015
Cordiner S, Egginton S (1997) Effects of seasonal temperature acclimatization on muscle metabolism in rainbow trout, Oncorhynchus mykiss. Fish Physiol Biochem 16:333–343
Edsall TA, Kennedy GW, Horns WH (1993) Distribution, abundance, and resting microhabitat of burbot on Julian’s Reef, southwestern Lake Michigan. Trans Am Fish Soc 122:560–574
Elliott JM, Davidson W (1975) Energy equivalents of oxygen consumption in animal energetics. Oecologia 19:195–201
Fischer T (2003) The effect of climate induced temperature changes on cod (Gadus morhua L.): linking ecological and physiological investigations. Ph.D. thesis, AWI, Germany. Ber. Polarforsch. Meeresforsch. 454:1–101
Fischer P, Eckmann R (1997) Seasonal changes in fish abundance, biomass and species richness in the littoral zone of a large European lake, Lake Constance, Germany. Arch Hydrobiol 139:433–448
Forstner H, Wieser W (1990) Patterns of routine swimming and metabolic rate in juvenile cyprinids at three temperatures: analysis with a respirometer-activity-monitoring system. J Comp Physiol, B 160:71–76
Fredrich F, Arzbach HH (2002) Wanderungen und Uferstrukturnutzung der Quappe, Lota lota, in der Elbe, Deutschland. Migrations and bank structure use in burbot, Lota lota, in the river Elbe, Germany. Z. Fischk Suppl Bd 1:159–178
Guderley H (1998) Temperature and growth rates as modulators of the metabolic capacities of fish muscle. In: Pörtner HO, Playle RC (eds) Cold Ocean Physiology. SEB Sem. Ser: 66. Cambridge University Press, Cambridge, pp 58–87
Guderley H, Dutil JD, Pelletier D (1996) The physiological status of Atlantic cod, Gadus morhua, in the wild and the laboratory: Estimates of growth rates under field conditions. Can J Fish Aquat Sci 53:550–557
Guthruf J, Gerster S, Tschumi PA (1990) The diet of burbot (Lota lota L.) in Lake Biel, Switzerland. Arch Hydrobiol 119:103–114
Hardewig I, Pörtner HO, van Dijk PLM (2004) How does the cold stenothermal gadoid Lota lota survive high water temperatures during summer? J Comp Physiol B 174:149–156
Hofmann N, Fischer P (2001) Seasonal changes in abundance and age structure of burbot Lota lota (L.) and stone loach Barbatula barbatula (L.) in the littoral zone of a large pre-alpine lake. Ecol Fresh Fish 10:21–25
Hofmann N, Fischer P (2002) Temperature preferences and critical thermal limits of burbot: implications for habitat selection and ontogenetic habitat shift. Trans Am Fish Soc 131:1164–1172
Hölker F (2003) The metabolic rate of roach in relation to body size and temperature. J Fish Biol 62:565–579
Hölker F, Volkmann S, Wolter C, van Dijk PLM, Hardewig I (2004) Colonization of the freshwater environment by a marine invader: how to cope with warm summer temperatures? Evol Ecol Res 6:1123–1144
Jobling M (1994) Respiration and metabolism. In: Fish bioenergetics. pp 121–145. Chapman & Hall, London
Keppler D, Decker K (1988) Metabolites 1: carbohydrates. Glycogen. In: Bergmeyer HU (eds) Methods of enzymatic analysis, Vol VI. VCH, Weinheim, pp 11–18
Koch F, Wieser W, Niederstätter H (1992) Interactive effects of season and temperature on enzyme activities, tissue and whole animal respiration in roach, Rutilus rutilus. Environ Biol Fish 33:73–85
Krause J, Staaks G, Mehner T (1998) Habitat choice in shoals of roach as a function of water temperature and feeding rate. J Fish Biol 53:377–386
Lannig G, Eckerle LG, Serendero I, Sartoris FJ, Fischer T, Knust R, Johansen T, Pörtner HO (2003) Temperature adaptation in eurythermal cod (Gadus morhua): a comparison of mitochondrial enzyme capacities in boreal and Arctic populations. Mar Biol 142:589–599
Lehtonen H (1998) Winter biology of burbot (Lota lota L.). Mem Soc Fauna Flora Fennica 74:45–52
McPhail JD (1997) A review of burbot (Lota lota) life history and habitat use in relation to compensation and improvement opportunities. Can Manuscr Rep Fish Aquat Sci 2397:1–37
Méndez G, Wieser W (1993) Metabolic responses to food deprivation and refeeding in juveniles of Rutilus rutilus (Teleostei: Cyprinidae). Environ Biol Fish 36:73–81
Munro HN, Fleck A (1966) The determination of nucleic acids. In: Glick D (eds) Methods of biochemical analysis. Interscience & Wiley, New York, pp 113–176
Navarro I, Gutiérrez J (1995) Fasting and starvation. In: Hochachka PW, Mommsen TP (eds) Metabolic biochemistry. Biochemistry and molecular biology of fishes. Elsevier Science, Amsterdam, pp 393–434
Pääkkönen JPJ (2000) Feeding biology of burbot, Lota lota (L.): adaptation to profundal lifestyle? Ph.D thesis, University of Jyväskylä, Finland. Jyväskylä studies in biological and environmental science 87:1–33
Pääkkönen JPJ, Laitinen M, Marjomäki TJ (2000) Total activity of burbot Lota lota (L.) measured with bioelectric monitoring system: seasonal differences in activity length. In: Paragamian VL, Willis DW (eds) Burbot—biology, ecology, and management. American Fisheries Society, Bethesda, pp 1–13
Pääkkönen JPJ, Lyytikäinen T (2000) Oxygen consumption of burbot (Lota lota) fed different rations of vendace (Coregonus albula). J Appl Ichthyol 16:262–265
Pulliainen E, Korhonen K (1990) Seasonal changes in condition indices in adult mature and non-maturing burbot, Lota lota (L.), in the north-eastern Bothnian Bay, northern Finland. J Fish Biol 36:251–259
Rudstam LG, Peppard PE, Fratt TW, Bruesewitz RE, Coble DW, Copes F, Kitchell JF (1995) Prey consumption by the burbot (Lota lota) population in Green Bay, Lake Michigan, based on a bioenergetics model. Can J Fish Aquat Sci 52:1074–1082
Saborowski R, Buchholz F (1996) Annual changes in the nutritive state of North Sea dab. J Fish Biol 49:173–194
Scott WB, Crossman EJ (1973) Freshwater fishes of Canada. Bull Fish Res Board Can 184:641–645
Sheridan MA, Mommsen TP (1991) Effects of nutritional state on in vivo lipid and carbohydrate metabolism of coho salmon, Oncorhynchus kisutch. Gen Comp Endocrinol 81:473–783
Shodjai F (1980) Entwicklungs-, stoffwechsel- und ernährungsphysiologische Untersuchungen an der Aalquappe (Lota lota L.) unter Berücksichtigung ihrer Eignung als Kulturfisch. Ph.D thesis, Institut für Meereskunde der Universität Kiel, Germany, pp 1–200
Sidell BD, Moerland TS (1989) Effects of temperature on muscular function and locomotory performance in teleost fish. Adv Comp Env Physiol 5:115–155
Staaks G (1996) Experimental studies on temperature preference behaviour of juvenile cyprinids. Limnologica 26:165–177
Tiitu V, Vornanen M (2002) Regulation of cardiac contractility in a cold stenothermal fish, the burbot Lota lota L. J Exp Biol 205:1597–1606
Thibault M, Blier P, Guderley H (1997). Seasonal variation of muscle metabolic organization in rainbow trout (Oncorhynchus mykiss). Fish Physiol Biochem 16:139–155
van Dijk PLM, Staaks G, Hardewig I (2002) The effect of fasting and refeeding on temperature preference, activity and growth of roach, Rutilus rutilus. Oecologia 130:496–504
van Dijk PLM, Hardewig I, Hölker F (2005) Energy reserves during food deprivation and compensatory growth in juvenile roach: the importance of season and temperature. J Fish Biol 66:167–181
Wieser W, Krumschnabel G, Ojwang-Okwor JP (1992) The energetics of starvation and growth after refeeding in juveniles of three cyprinid species. Environ Biol Fish 33:63–71
Acknowledgements
Special thanks are due to K. Kuntze for the careful handling of the fish and excellent technical assistance during the experiments. Thanks are given to G. Staaks for statistical help and to R. Opitz for valuable discussions. This study was financially supported by the German Research Foundation (DFG project: Ha 2114/1-1) and by the program Women in Science (Humboldt-University Berlin). The experiments comply with the German guidelines for animal care.
Author information
Authors and Affiliations
Corresponding author
Rights and permissions
About this article
Cite this article
Binner, M., Kloas, W. & Hardewig, I. Energy allocation in juvenile roach and burbot under different temperature and feeding regimes. Fish Physiol Biochem 34, 103–116 (2008). https://doi.org/10.1007/s10695-007-9151-8
Received:
Accepted:
Published:
Issue Date:
DOI: https://doi.org/10.1007/s10695-007-9151-8
Keywords
- Lota lota
- Metabolism
- Metabolite mobilisation
- Oxygen consumption
- Rutilus rutilus
- Starvation
- Temperature