Abstract
We report cloning and tissue expression of transcripts of a fourth fish-specific gene (SPRNB) encoding a prion protein (PrP)-related protein (Shadoo2) from two species, Cyprinus carpio (carp) and Danio rerio (zebrafish), as well as gene or partial transcript sequences identified by in silico searches of public databases from Gasterosteus aculeatus (stickleback), Oryzias latipes (medaka fish) and Salmo salar (salmon). We also present an up-to-date summary of current knowledge of the other three PrP-related genes and transcripts (PrP-like protein, PrP1 and PrP2) encoded exclusively in fish genomes, including some additional transcripts we identified by in silico searches. We compare levels of protein-sequence conservation among the different genes within given fish species, and among given genes in different fish species, and analyse the gene structures and contexts (flanking genes) where genomic sequence is available. These analyses show remarkably high divergences of sequences and expression patterns for proteins in distant fish, such as Fugu and zebrafish, leaving open the question of how varied their functions may be.
This is a preview of subscription content, access via your institution.





Abbreviations
- EST:
-
Expressed sequence tag
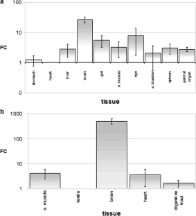
- FC:
-
Fold change
- GPI:
-
Glycosylphosphatidylinositol
- hpf:
-
Hours post fertilisation
- PCR:
-
Polymerase chain reaction
- PrP:
-
Prion protein
- Sho:
-
Shadoo protein
- Sho2:
-
Shadoo2 protein
- RACE:
-
Rapid amplification of cDNA ends
- RT-PCR:
-
Reverse transcriptase PCR
- SPRNB:
-
Gene coding for Sho2 protein
- TSE:
-
Transmissible spongiform encephalopathy
References
Behrens A (2003) Physiological and pathological functions of the prion protein homologue Dpl. Br Med Bull 66:35–42
Calzolai L, Lysek DA, Perez DR, Guntert P, Wüthrich K (2005) Prion protein NMR structures of chickens, turtles, and frogs. Proc Natl Acad Sci USA 102:651–655
Collinge J (2001) Prion diseases of humans and animals: their causes and molecular basis. Annu Rev Neurosci 24:519–550
Cotto E, André M, Forgue J, Fleury HJ, Babin PJ (2005) Molecular characterization, phylogenetic relationships, and developmental expression patterns of prion genes in zebrafish (Danio rerio). FEBS J 272:500–513
Ford MJ, Burton LJ, Morris RJ, Hall SM (2002) Selective expression of prion protein in peripheral tissues of the adult mouse. Neuroscience 113:177–192
Harris DA, Falls DL, Johnson FA, Fishbach GD (1991) A prion-like protein from chicken brain copurifies with an acetylcholine receptor-inducing activity. Proc Natl Acad Sci USA 88:7664–7668
Liao M, Zhang Z, Yang G, Sun X, Zou G, Wei Q, Wang D (2005) Cloning and characterization of prion protein coding genes of Japanese seabass (Lateolabrax japonicus) and Japanese flounder (Paralichthys olivaceus). Aquaculture 249:47–53
Luhrs T, Riek R, Guntert P, Wuthrich K (2003) NMR structure of the human doppel protein. J Mol Biol 326:1549–1557
Marchuk D, Drumm M, Saulino A, Collins FS (1991) Construction of T-vectors, a rapid and general system for direct cloning of unmodified PCR products. Nucleic Acids Res 19:1154
Miesbauer M, Bamme T, Riemer C, Oidtmann B, Winklhofer KF, Baier M, Tatzelt J (2006) Prion protein-related proteins from zebrafish are complex glycosylated and contain a glycosylphosphatidylinositol anchor. Biochem Biophys Res Commun 341:218–224
Moore RC, Lee IY, Silverman GL, Harrison P, Strome R, Karunaratne A, Chishti MA, Liang Y, Mastrangelo P, Wang K, Smit AF, Katamine S, Carlson GA, Cohen FE, Prusiner SB, Melton DW, Tremblay P, Hood LE, Westaway D (1999) Ataxia in prion protein (PrP)-deficient mice is associated with upregulation of the novel PrP-like protein doppel. J Mol Biol 292:797–817
Ohno S (1970) Evolution by gene duplication. Springer, Berlin Heidelberg New York
Oidtmann B, Simon D, Holtkamp N, Hoffmann R, Baier M (2003) Identification of cDNAs from Japanese pufferfish (Fugu rubripes) and Atlantic salmon (Salmo salar) coding for homologues to tetrapod prion proteins. FEBS Lett 538:96–100
Premzl M, Sangiorgio L, Strumbo B, Marshall Graves JA, Simonic T, Gready JE (2003) Shadoo, a new protein highly conserved from fish to mammals and with similarity to prion protein. Gene 314:89–102
Premzl M, Gready JE, Jermiin LS, Simonic T, Marshall Graves JA (2004) Evolution of vertebrate genes related to prion and Shadoo proteins—clues from comparative genomic analysis. Mol Biol Evol 21:2210–2231
Premzl M, Delbridge M, Gready JE, Wilson P, Johnson M, Davis J, Kuczek E, Marshall Graves JA (2005) The prion protein gene: identifying regulatory signals using marsupial sequence. Gene 349C:121–134
Prusiner SB (1998) Prions. Proc Natl Acad Sci USA 95:13363–13383
Rivera-Milla E, Stuermer CAO, Malaga-Trillo E (2003) An evolutionary basis for scrapie disease: identification of a fish prion mRNA. Trends Genet 19:72–75
Rivera-Milla E, Oidtmann B, Panagiotidis CH, Baier M, Sklaviadis T, Hoffmann R, Zhou Y, Solis GP, Stuermer CAO, Malaga-Trillo E (2006) Disparate evolution of prion protein domains and the distinct origin of Doppel- and prion-related loci revealed by fish-to-mammal comparisons. FASEB J 20:317–319
Sambrook J, Fritsch EF, Maniatis T (1989) Molecular cloning: a laboratory manual, 2nd edn. Cold Spring Harbor Laboratory, Cold Spring Harbor
Simonic T, Duga S, Negri A, Tedeschi G, Malcovati M, Tenchini ML, Ronchi S (1997) cDNA cloning and expression of the flavoprotein D-aspartate oxidase from beef kidney cortex. Biochem J 322:729–735
Simonic T, Duga S, Strumbo B, Asselta R, Ceciliani F, Ronchi S (2000) cDNA cloning of turtle prion protein. FEBS Lett 469:33–38
Strumbo B, Ronchi S, Bolis LC, Simonic T (2001) Molecular cloning of the cDNA coding for Xenopus laevis prion protein. FEBS Lett 508:170–174
Suzuki T, Kurokawa T, Hashimoto H, Sugiyama M (2002) cDNA sequence and tissue expression of Fugu rubripes prion protein-like: a candidate for the teleost orthologue of tetrapod PrPs. Biochem Biophys Res Commun 294:912–917
Taylor JS, Braasch I, Frickey T, Meyer A, van de Peer Y (2003) Genome duplication, a trait shared by 22000 species of ray-finned fish. Genome Res 13:382–390
Tompa P, Tusnády GE, Cserzö M, Simon I (2001) Prion protein: evolution caught en route. Proc Natl Acad Sci USA 98:4431–4436
Walawski K, Czarnik U, Wojciechowski R, Pareek CS (2003) Abnormal segregation of prion protein octapeptide-repeat alleles in cattle. J Appl Genet 44:375–378
Wopfner F, Weidenhofer G, Schneider R, von Brunn A, Gilch S, Schwarz TF, Werner T, Schatzl HM (1999) Analysis of 27 mammalian and 9 avian PrPs reveals high conservation of flexible regions of the prion protein. J Mol Biol 289:1163–1178
Acknowledgements
T. Simonic is supported by EC grant QLK5-2002-00866 and J.E. Gready by the ANU IAS block grant. The authors thank Dr J. Ngai for providing the zebrafish brain cDNA library and Dr Gianni Ghezzi for his valuable technical support.
Author information
Authors and Affiliations
Corresponding author
Electronic supplementary material
Rights and permissions
About this article
Cite this article
Strumbo, B., Sangiorgio, L., Ronchi, S. et al. Cloning and analysis of transcripts and genes encoding fish-specific proteins related to PrP. Fish Physiol Biochem 32, 339–353 (2006). https://doi.org/10.1007/s10695-006-9108-3
Received:
Accepted:
Published:
Issue Date:
DOI: https://doi.org/10.1007/s10695-006-9108-3
Keywords
- Fish-specific PrP-related proteins
- cDNA cloning
- mRNA expression