Skip to main content

Risk of contralateral breast cancer in BRCA1 and BRCA2 mutation carriers: a 30-year semi-prospective analysis

Abstract

BRCA1 and BRCA2 mutation carriers have an increased risk of contralateral breast cancer after primary breast cancer. Risk reduction strategies are discussed after assessment of risk factors for developing contralateral breast cancer. We assessed potential risk factors that could be of use in clinical practice, including the novel use of single nucleotide polymorphisms (SNP) testing. 506 BRCA1 and 505 BRCA2 mutation carriers with a diagnosis of breast cancer were observed for up to 30 years. The risk of a contralateral breast cancer is approximately 2–3 % per year, remaining constant for at least 20 years. This was similar in both BRCA1 and BRCA2 carriers. Initial breast cancer before age 40-years was a significant risk factor, which was more pronounced in BRCA1 patients. The effect of risk-reducing oophorectomy on contralateral breast cancer risk may be overestimated because of bias. No significant association was found between overall breast cancer risk SNP score and contralateral breast cancer development. Young mutation carriers, particularly those with BRCA1 mutations, who develop breast cancer have a significantly higher risk of developing contralateral breast cancer, remaining constant for over 20 years. Contralateral risk-reducing mastectomy should be considered in this group, in particular as there is a survival benefit. Caution is advised when counselling women considering risk-reducing oophorectomy as, after accounting for statistical bias, the associated risk reduction was found to be non-significant, and potentially smaller than has been previously reported. SNP testing did not add any further discriminatory information when assessing contralateral breast cancer risk.

This is a preview of subscription content, access via your institution.

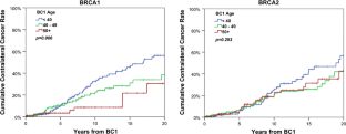
Fig. 1
Fig. 2

References

  1. Ford D, Easton DF, Stratton M et al (1998) Genetic heterogeneity and penetrance analysis of the BRCA1 and BRCA2 genes in breast cancer families, The Breast Cancer Linkage Consortium. Am J Hum Genet 62:676–689

    PubMed Central  CAS  Article  PubMed  Google Scholar 

  2. Evans DG, Shenton A, Woodward E, Lalloo F, Howell A, Maher ER (2008) Penetrance estimates for BRCA1 and BRCA2 based on genetic testing in a Clinical Cancer Genetics service setting: risk of breast/ovarian cancer quoted should reflect the cancer burden in the family. BMC Cancer 8:155. doi:10.1186/1471-2407-8-155

    PubMed Central  Article  PubMed  Google Scholar 

  3. Lalloo F, Evans DG (2012) Familial breast cancer. Clin Genet 82:105–114

    CAS  Article  PubMed  Google Scholar 

  4. Thompson D, Easton DF (2002) Breast Cancer Linkage Consortium. Cancer incidence in BRCA1 mutation carriers. J Natl Cancer Inst 94:1358–1365

    CAS  Article  PubMed  Google Scholar 

  5. Evans DG, Moran A, Hartley R, Dawson J, Bulman B, Knox F et al (2010) Long term outcomes of breast cancer in women aged 30 years or younger, based on family history, pathology and BRCA1/BRCA2/TP53 status. Br J Cancer 102:1091–1098

    PubMed Central  CAS  Article  PubMed  Google Scholar 

  6. Narod SA, Brunet JS, Ghadirian P, Robson M, Heimdal K, Neuhausen SL et al (2000) Tamoxifen and risk of contralateral breast cancer in BRCA1 and BRCA2 mutation carriers: a case control study. Hereditary Breast Cancer Clinical Study Group. Lancet 356:1876–1881

    CAS  Article  PubMed  Google Scholar 

  7. Basu NN, Barr L, Ross GL, Evans DG (2015) Contralateral risk-reducing mastectomy: review of risk factors and risk-reducing strategies. Int J Surg Oncol 2015:901046. doi: 10.1155/2015/901046. Epub 2015 Jan 27. Review

  8. Verhoog LC, Brekelmans CT, Seynaeve C, Meijers-Heijboer EJ, Klijn JG (2000) Contralateral breast cancer risk is influenced by the age at onset in BRCA1-associated breast cancer. Br J Cancer 83:384–386

    PubMed Central  CAS  Article  PubMed  Google Scholar 

  9. Metcalfe K, Lynch HT, Ghadirian P, Tung N, Olivotto I, Warner E et al (2004) Contralateral breast cancer in BRCA1 and BRCA2 mutation carriers. J Clin Oncol 22:2328–2335

    CAS  Article  PubMed  Google Scholar 

  10. Gronwald J, Tung N, Foulkes WD, Offit K, Gershoni R, Daly M et al (2006) Hereditary Breast Cancer Clinical Study Group. Tamoxifen and contralateral breast cancer in BRCA1 BRCA2 carriers: an update. Int J Cancer 118:2281–2284

    CAS  Article  PubMed  Google Scholar 

  11. Valachis A, Nearchou AD, Lind P (2014) Surgical management of breast cancer in BRCA mutation carriers: a systematic review and meta-analysis. Breast Cancer Res Treat 144(3):443–455. doi:10.1007/s10549-014-2890-1

    CAS  Article  PubMed  Google Scholar 

  12. Heemskerk-Gerritsen BA, Sevnaeve C, van Asperen CJ, Ausems MG, Collee JM et al (2015) Breast cancer risk after salpingo-oophorectomy in healthy BRCA1/2 mutation carriers: revisiting the evidence for risk reduction. J Nat Cancer Inst 107(5):djv033. doi:10.1093/jnci/djv033

  13. Easton DF, Pooley KA, Dunning AM, Pharoah PD, Thompson D, Ballinger DG et al (2007) Genome-wide association study identifies novel breast cancer susceptibility loci. Nature 2447:1087–1093

    Article  Google Scholar 

  14. Antoniou AC, Beesley J, McGuffog L, Sinilnikova DM, Healey S, Neuhausen SL et al (2010) Common breast cancer susceptibility alleles and the risk of breast cancer for BRCA1 and BRCA2 mutation carriers: implications for risk prediction. Cancer Res 70:9742–9754

    PubMed Central  CAS  Article  PubMed  Google Scholar 

  15. Turnbull C, Ahmed S, Morrison J, Pernet D, Renwick A, Maranian M et al (2010) Genome-wide association study identifies five new breast cancer susceptibility loci. Nat Genet 42:504–507

    PubMed Central  CAS  Article  PubMed  Google Scholar 

  16. Couch FJ, Wang X, McGuffog L, Lee A, Olswold C, Kuchenbaecker KB et al (2013) Genome-wide association study in BRCA1 mutation carriers identifies novel loci associated with breast and ovarian cancer risk. PLoS Genet 9(3):e1003212. doi:10.1371/journal.pgen.1003212

    PubMed Central  CAS  Article  PubMed  Google Scholar 

  17. Gaudet MM, Kuchenbaecker KB, Vijai J, Klein RJ, Kirchoff T, McGuffog L et al (2013) Identification of a BRCA2-specific modifier locus at 6p24 related to breast cancer risk. PLoS Genet 9(3):e1003173. doi:10.1371/journal.pgen.1003173

    PubMed Central  CAS  Article  PubMed  Google Scholar 

  18. Ingham SL, Warwick J, Byers H, Lalloo F, Newman WG, Evans DGR (2012) Is multiple SNP testing in BRCA2 and BRCA1 female carriers ready for use in clinical practice? Results from a large genetic centre in the UK. Clin Genet. doi:10.1111/cge.12035

    PubMed  Google Scholar 

  19. Metcalfe K, Gershman S, Ghadirian P, Lynch HT, Snyder C, Tung N et al (2014) Contralateral mastectomy and survival after breast cancer in carriers of BRCA1 and BRCA2 mutations: a retrospective analysis. BMJ 348:g226. doi:10.1136/bmj.g226

    PubMed Central  Article  PubMed  Google Scholar 

  20. Evans DG, Ingham SL, Baildam A, Ross GL, Lalloo F, Buchan I, Howell A (2013) Contralateral mastectomy improves survival in women with BRCA1/2- associated breast cancer. Breast Cancer Res Treat 140(1):135–142

    CAS  Article  PubMed  Google Scholar 

  21. Heemskerk-Gerritsen BA, Rookus MA, Aalfs CM, Ausems MG, Collee JM, Jansen L et al (2015) Improved overall survival after contralateral risk-reducing mastectomy in BRCA1/2 mutation carriers with a history of unilateral breast cancer: a prospective analysis. Int J Cancer 136(3):665–677

    Google Scholar 

  22. Evans DG, Barwell J, Eccles DM, Collins A, Izatt L, Jacobs C et al (2014) The Angelina Jolie effect: how high celebrity profile can have a major impact on provision of cancer related services. Breast Cancer Res 16(5):442. doi:10.1186/s13058-014-0442-6

    PubMed Central  Article  PubMed  Google Scholar 

  23. Graeser MK, Engel C, Rhiem K, Gadzicki D, Bick U, Kast K et al (2009) Contralateral breast cancer risk in BRCA1 and BRCA2 mutation carriers. J Clin Oncol 27:5887–5892

    Article  PubMed  Google Scholar 

  24. Domchek SK, Friebel TM, Singer CF, Evans DG, Lynch HT, Isaacs C et al (2010) Association of risk-reducing surgery in BRCA1 or BRCA2 mutation carriers with cancer risk and mortality. JAMA 304:967–975

    PubMed Central  CAS  Article  PubMed  Google Scholar 

  25. Pierce LJ, Levin AM, Rebbeck TR et al (2006) Ten year multi-institutional results of breast conserving surgery and radiotherapy in BRCA1/2 associated stage I/II breast cancer. J Clin Oncol 24(16):2437–2443

    Article  PubMed  Google Scholar 

  26. Rhiem K, Engel C, Graeser M, Zachariae S, Kast K, Kiechle M et al (2012) The risk of contralateral breast cancer in patients from BRCA1/2 negative high risk families as compared to patients from BRCA1 or BRCA2 positive families: a retrospective cohort study. Breast Cancer Res 14:R156

    PubMed Central  Article  PubMed  Google Scholar 

  27. Lizarraga IM, Sugg SL, Weigel RJ, Scott-Conner CE (2013) Review of risk factors for the development of contralateral breast cancer. Am J Surg S0002-9610(13): 00415–7 (Epub ahead of print)

  28. Phillips KA, Milne RL, Rookus MA, Daly MB, Antoniou AC et al (2013) Tamoxifen and risk of contralateral breast cancer for BRCA1 and BRCA2 mutation carriers. J Clin Oncol 31(25):3091–3099

    PubMed Central  CAS  Article  PubMed  Google Scholar 

  29. Chenevix-Trench G, Milne RL, Antoniou AC, Couch FJ, Easton DF, Goldgar DE (2007) An international initiative to identify genetic modifiers of cancer risk in BRCA1 and BRCA2 mutation carriers: the Consortium of Investigators of Modifiers of BRCA1 and BRCA2 (CIMBA). Breast Cancer Res 9:104

    PubMed Central  Article  PubMed  Google Scholar 

Download references

Acknowledgments

FL and DGE are supported by the Manchester NIHR Biomedical Research Centre, DGE and AH by the Genesis Breast Cancer Prevention Appeal. AH is supported by Breakthrough Breast Cancer DGE is an NIHR Senior Investigator.

Author contribution

Conception and design: DGE. Collection and assembly of data: DGE, MB, FL. Data analysis and interpretation: NB, JH DGE, SI, AH. Manuscript writing: NB, JH, DGE, SI, AH, FL. Final approval of manuscript: All

Role of funding source

This is unfunded research. The study sponsor had no role in study design; in the collection, analysis, and interpretation of data; in the writing of the report; and in the decision to submit the paper for publication. The corresponding author confirms that he had full access to all the data in the study and had final responsibility for the decision to submit for publication

Author information

Affiliations

Authors

Corresponding author

Correspondence to N. N. Basu.

Ethics declarations

Conflicts of interest

The authors declare no conflict of interest.

Rights and permissions

Reprints and Permissions

About this article

Verify currency and authenticity via CrossMark

Cite this article

Basu, N.N., Ingham, S., Hodson, J. et al. Risk of contralateral breast cancer in BRCA1 and BRCA2 mutation carriers: a 30-year semi-prospective analysis. Familial Cancer 14, 531–538 (2015). https://doi.org/10.1007/s10689-015-9825-9

Download citation

  • Published:

  • Issue Date:

  • DOI: https://doi.org/10.1007/s10689-015-9825-9

Keywords

  • BRCA1
  • BRCA2
  • Contralateral
  • Breast cancer
  • Risk
  • SNP