Abstract
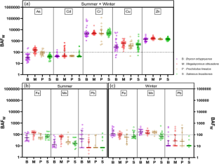
The Paraná River is the sixth largest in the world, and the lower section of the river is one of the largest and most productive floodplain wetlands in South America. The alluvial plain is an important habitat for nursery and feeding areas for commercial fish; however, it has been heavily anthropized due to industries, agricultural activities, and the growth and expansion of metropolitan areas. The aim of this study was to determine element accumulation (As, Cd, Cr, Cu, Fe, Mn, Pb, and Zn) in young-of-the-year fish muscle from a floodplain lagoon of the lower Paraná River (Argentina) during summer and winter seasons, in relation with abiotic matrices (water and sediment). Four commercial fish species were assessed: sábalo (Prochilodus lineatus), boga (Megaleporinus obtusidens), dorado (Salminus brasiliensis), and pirapitá (Brycon orbignyanus). The concentrations of eight elements were detected by quadrupole inductively coupled plasma mass spectrometry. In water samples, Cd, Cr, Mn, Fe, and Zn levels were under the permissible limits for aquatic biota protection in both seasons, except for Pb (> 1 μg L−1) and Cu (> 2 μg L−1). In sediment, the average concentrations of all elements were under the limits set by national and international regulatory authorities. Differences in elemental concentrations between species and seasons were found. In general, the levels of elements in water were higher in summer than in winter, while in sediment, the lowest concentrations of elements were detected during the summer. The order of element concentration in fish muscle was Cd (0.01–0.04 μg g−1) < As (0.02–0.16 μg g−1) < Pb (0.03–0.23 μg g−1) < Mn (0.77–4.32 μg g−1) < Cu (1.01–4.07 μg g−1) < Cr (1.09–4.30 μg g−1) < Zn (15.8–31.7 μg g −1) < Fe (12.6–49.7 μg g−1). The accumulation assessment showed that the four fish species significantly accumulate Cr, Cu and Zn, and As and Zn from water and sediment, respectively. The correlation analysis showed a relationship between fish size and As, Cr, Cu, Fe, Mn, and Zn concentrations. Similarly, the highest values of element concentrations in muscle were detected during the summer when the fishes are early juveniles. The level of As, Cd, and Pb detected in B. orbignyanus, M. obtusidens, and P. lineatus juveniles suggested that these species had the potential to be used as biomarkers for assessing accumulation of toxic elements in the environment. Also, this study reveals that the accumulation patterns differ between size and fish species, which should be a considered insight at the moment of selecting a bioindicator to monitor pollution in the ecosystem.




Data availability
The authors confirmed that the supporting data and the findings of this study are available within the article and its supplementary materials. Additional datasets are available from the corresponding author on reasonable request.
References
Abrial, E., Lorenzón, R. E., Rabuffetti, A. P., Blettler, M. C., & Espínola, L. A. (2021). Hydroecological implication of long-term flow variations in the middle Paraná River floodplain. Journal of Hydrology, 603, 126957. https://doi.org/10.1016/j.jhydrol.2021.126957
Adams, S. M., & Ham, K. D. (2011). Application of biochemical and physiological indicators for assessing recovery of fish populations in a disturbed stream. Environmental Management, 47(6), 1047–1063. https://doi.org/10.1007/s00267-010-9599-7
Alhashemi, A. H., Sekhavatjou, M. S., Kiabi, B. H., & Karbassi, A. R. (2012). Bioaccumulation of trace elements in water, sediment, and six fish species from a freshwater wetland, Iran. Microchemical Journal, 104, 1–6. https://doi.org/10.1016/j.microc.2012.03.002
Ali, H., & Khan, E. (2018). Bioaccumulation of non-essential hazardous heavy metals and metalloids in freshwater fish. Risk to human health. Environmental Chemistry Letters, 16, 903–917. https://doi.org/10.1007/s10311-018-0734-7
Alloway, B. J. (Ed.). (2012). Heavy metals in soils: Trace metals and metalloids in soils and their bioavailability (Vol. 22). Springer Science & Business Media. https://doi.org/10.1007/978-94-007-4470-7_2
Amara, R., Meziane, T., Gilliers, C., Hermel, G., & Laffargue, P. (2007). Growth and condition indices in juvenile sole Solea solea measured to assess the quality of essential fish habitat. Marine Ecology Progress Series, 351, 201–208. https://doi.org/10.3354/meps07154
APHA. (2012). Standard methods for the examination of water and wastewater. American Public Health Association.
ATSDR. (2021). Agency for Toxic Substances and Disease Registry U.S. Department of Health and Human Services. ANNUAL REPORT. Retrieved February 5, 2023, from https://www.atsdr.cdc.gov/2021-annual-report/index.html
Avigliano, E., Clavijo, C., Scarabotti, P., Sánchez, S., Llamazares Vegh, S., del Rosso, F. R., Caffetti, J. D., Facetti, J. F., Domanico, A., & Volpedo, A. V. (2019). Exposure to 19 elements via water ingestion and dermal contact in several South American environments (La Plata Basin): From Andes and Atlantic Forest to sea front. Microchemical Journal, 149, 103986. https://doi.org/10.1016/j.microc.2019.103986
Avigliano, E., Lozano, C., Plá, R. R., & Volpedo, A. V. (2016). Toxic element determination in fish from Paraná River Delta (Argentina) by neutron activation analysis: Tissue distribution and accumulation and health risk assessment by direct consumption. Journal of Food Composition and Analysis, 54, 27–36. https://doi.org/10.1016/j.jfca.2016.09.011
Avigliano, E., Monferrán, M. V., Sánchez, S., Wunderlin, D. A., Gastaminza, J., & Volpedo, A. V. (2019). Distribution and bioaccumulation of 12 trace elements in water, sediment and tissues of the main fishery from different environments of the La Plata basin (South America): Risk assessment for human consumption. Chemosphere, 236, 124394. https://doi.org/10.1016/j.chemosphere.2019.124394
Avigliano, E., & Schenone, N. F. (2015). Human health risk assessment and environmental distribution of trace elements, glyphosate, fecal coliform and total coliform in Atlantic Rainforest mountain rivers (South America). Microchemical Journal, 122, 149–158. https://doi.org/10.1016/j.microc.2015.05.004
Barletta, M., Jaureguizar, A. J., Baigun, C., Fontoura, N. F., Agostinho, A. A., Almeida-Val, V. D., et al. (2010). Fish and aquatic habitat conservation in South America: A continental overview with emphasis on neotropical systems. Journal of Fish Biology, 76(9), 2118–2176. https://doi.org/10.1111/j.1095-8649.2010.02684.x
Bayley, P. B. (1995). Understanding large river: Floodplain ecosystems. BioScience, 45(3), 153–158. https://doi.org/10.2307/1312554
Bobori, D. C., & Economidis, P. S. (1996). The effect of size, sex and season on the accumulation of heavy metals in perch (Perca fluviatilis L., Pisces: Cyprinidae) in Lake Koronia (Macedonia, Greece). Toxicological & Environmental Chemistry, 57(1-4), 103–121. https://doi.org/10.1080/02772249609358380
Callegari-Jacques, S. M., Grattapaglia, D., Salzano, F. M., Salamoni, S. P., Crossetti, S. G., Ferreira, M. E., & Hutz, M. H. (2003). Historical genetics: spatiotemporal analysis of the formation of the Brazilian population. American Journal of Human Biology: The Official Journal of the Human Biology Association, 15(6), 824–834. https://doi.org/10.1002/ajhb.10217
Campodonico, V. A., García, M. G., & Pasquini, A. I. (2016). The geochemical signature of suspended sediments in the Parana River basin: Implications for provenance, weathering and sedimentary recycling. Catena, 143, 201–214. https://doi.org/10.1016/j.catena.2016.04.008
CCME. (2001). National Guidelines and Standards Office, Canadian Sediment Quality Guidelines for the Protection of Aquatic Life: Summary tables. Canadian Council Ministers of the Environment.
CCME (2005). National Guidelines and Standards Office, Canadian Water Quality Guidelines, Environment.
Córdoba-Tovar, L., Marrugo-Negrete, J., Barón, P. R., & Díez, S. (2022). Drivers of biomagnification of Hg, As and Se in aquatic food webs: A review. Environmental Research, 204, 112226. https://doi.org/10.1016/j.envres.2021.112226
Dalzochio, T., Rodrigues, G. Z. P., Simões, L. A. R., de Souza, M. S., Petry, I. E., Andriguetti, N. B., et al. (2018). In situ monitoring of the Sinos River, southern Brazil: Water quality parameters, biomarkers, and metal bioaccumulation in fish. Environmental Science and Pollution Research, 25, 9485–9500. https://doi.org/10.1007/s11356-018-1244-7
De Wet, L. M., Schoonbee, H. J., De Wet, L. P. D., & Wiid, A. (1991). Bioaccumulation of metals by the southern mouthbrooder, Pseudocrenilabrus philander (Weber, 1897) from a mine-polluted impoundment. Water SA, 17(2), 119–126 https://www.wrc.org.za/mdocs-posts/watersa_1994_02_0817/
Di Marzio, A., Lambertucci, S. A., Fernandez, A. G., & Martínez-López, E. (2019). From Mexico to the Beagle Channel: A review of metal and metalloid pollution studies on wildlife species in Latin America. Environmental Research, 176, 108462. https://doi.org/10.1016/j.envres.2019.04.029
Dietz, R., Riget, F., Cleemann, M., Aarkrog, A., Johansen, P., & Hansen, J. C. (2000). Comparison of contaminants from different trophic levels and ecosystems. Science of the Total Environment, 245(1-3), 221–231. https://doi.org/10.1016/S0048-9697(99)00447-7
Drago, E. C. (2007). The physical dynamics of the river–lake floodplain system. In The Middle Paraná River (pp. 83–122). Springer. https://doi.org/10.1007/978-3-540-70624-3
Eagles-Smith, C. A., Wiener, J. G., Eckley, C. S., Willacker, J. J., Evers, D. C., Marvin-DiPasquale, M., et al. (2016). Mercury in western North America: A synthesis of environmental contamination, fluxes, bioaccumulation, and risk to fish and wildlife. Science of the Total Environment, 568, 1213–1226. https://doi.org/10.1016/j.scitotenv.2016.05.094
Fuentes, C. M. (1998). Deriva de larvas de Sábalo, Prochilodus lineatus (Valenciennes, 1847) y otras especies de peces de interés comercial, en el Río Paraná Inferior. Doctoral dissertation, Buenos Aires University.
Griboff, J., Wunderlin, D. A., Horacek, M., & Monferrán, M. V. (2020). Seasonal variations on trace element bioaccumulation and trophic transfer along a freshwater food chain in Argentina. Environmental Science and Pollution Research, 27, 40664–40678. https://doi.org/10.1007/s11356-020-10068-9
Gusso-Choueri, P. K., de Araújo, G. S., Cruz, A. C. F., de Oliveira Stremel, T. R., de Campos, S. X., de Souza Abessa, D. M., et al. (2018). Metals and arsenic in fish from a Ramsar site under past and present human pressures: Consumption risk factors to the local population. Science of the Total Environment, 628, 621–630. https://doi.org/10.1016/j.scitotenv.2018.02.005
Has-Schön, E., Bogut, I., Vuković, R., Galović, D., Bogut, A., & Horvatić, J. (2015). Distribution and age-related bioaccumulation of lead (Pb), mercury (Hg), cadmium (Cd), and arsenic (As) in tissues of common carp (Cyprinus carpio) and European catfish (Sylurus glanis) from the Buško Blato reservoir (Bosnia and Herzegovina). Chemosphere, 135, 289–296. https://doi.org/10.1016/j.chemosphere.2015.04.015
Hu, C., Shui, B., Yang, X., Wang, L., Dong, J., & Zhang, X. (2021). Trophic transfer of heavy metals through aquatic food web in a seagrass ecosystem of Swan Lagoon, China. Science of the Total Environment, 762, 143139. https://doi.org/10.1016/j.scitotenv.2020.143139
Jarić, I., Višnjić-Jeftić, Ž., Cvijanović, G., Gačić, Z., Jovanović, L., Skorić, S., & Lenhardt, M. (2011). Determination of differential heavy metal and trace element accumulation in liver, gills, intestine and muscle of sterlet (Acipenser ruthenus) from the Danube River in Serbia by ICP-OES. Microchemical Journal, 98(1), 77–81. https://doi.org/10.1016/j.microc.2010.11.008
Jezierska, B., Ługowska, K., & Witeska, M. (2009). The effects of heavy metals on embryonic development of fish (a review). Fish Physiology and Biochemistry, 35, 625–640. https://doi.org/10.1007/s10695-008-9284-4
Junk, W. J. (2005). Flood pulsing and the linkages between terrestrial, aquatic, and wetland systems. Internationale Vereinigung für theoretische und angewandte Limnologie: Verhandlungen, 29(1), 11–38. https://doi.org/10.1080/03680770.2005.11901972
Junk, W. J., da Cunha, N., Thomaz, S. M., Agostinho, A. A., Ferreira, F. A., de Souza Filho, E. E., et al. (2021). Macrohabitat classification of wetlands as a powerful tool for management and protection: The example of the Paraná River floodplain, Brazil. Ecohydrology & Hydrobiology, 21(3), 411–424. https://doi.org/10.1016/j.ecohyd.2021.05.006
Keppeler, F. W., Cruz, D. A., Dalponti, G., & Mormul, R. P. (2016). The role of deterministic factors and stochasticity on the trophic interactions between birds and fish in temporary floodplain ponds. Hydrobiologia, 773(1), 225–240. https://doi.org/10.1007/s10750-016-2705-y
King, A. J., Humphries, P., & Lake, P. S. (2003). Fish recruitment on floodplains: The roles of patterns of flooding and life history characteristics. Canadian Journal of Fisheries and Aquatic Sciences, 60(7), 773–786. https://doi.org/10.1139/f03-057
King, A. J., Tonkin, Z., & Mahoney, J. (2009). Environmental flow enhances native fish spawning and recruitment in the Murray River, Australia. River Research and Applications, 25(10), 1205–1218. https://doi.org/10.1002/rra.1209
Kwok, C. K., Liang, Y., Wang, H., Dong, Y. H., Leung, S. Y., & Wong, M. H. (2014). Bioaccumulation of heavy metals in fish and Ardeid at Pearl River Estuary, China. Ecotoxicology and Environmental Safety, 106, 62–67. https://doi.org/10.1016/j.ecoenv.2014.04.016
La Colla, N. S., Botté, S. E., & Marcovecchio, J. E. (2018). Metals in coastal zones impacted with urban and industrial wastes: Insights on the metal accumulation pattern in fish species. Journal of Marine Systems, 181, 53–62. https://doi.org/10.1016/j.jmarsys.2018.01.012
Leigh, C., Boulton, A. J., Courtwright, J. L., Fritz, K., May, C. L., Walker, R. H., & Datry, T. (2016). Ecological research and management of intermittent rivers: An historical review and future directions. Freshwater Biology, 61(8), 1181–1199. https://doi.org/10.1111/fwb.12646
Llamazares Vegh, S., Biolé, F., Bavio, M., Tripodi, P., Gil, A. F., & Volpedo, A. V. (2021). Bioaccumulation of 10 trace elements in juvenile fishes of the lower Paraná River, Argentina: Implications associated with essential fish growing habitat. Environmental Science and Pollution Research, 1–14. https://doi.org/10.1007/s11356-020-10466-z
Llamazares Vegh, S., Biolé, F., Bavio, M., Tripodi, P., & Volpedo, A. V. (2022). Distribution and accumulation of trace elements in organs of juvenile fishes from a freshwater system (Paraná River, South America). Biological Trace Element Research, 200(5), 2416–2431. https://doi.org/10.1007/s12011-021-02849-1
Lombardi, P. E., Peri, S. I., & Verrengia Guerrero, N. R. (2010). Trace metal levels in Prochilodus lineatus collected from the La Plata River, Argentina. Environmental Monitoring and assessment, 160, 47–59. https://doi.org/10.1007/s10661-008-0656-0
Long, G. L., & Winefordner, J. D. (1983). Limit of detection. A closer look at the IUPAC definition. Analytical Chemistry, 55(7), 712A–724A. https://doi.org/10.1021/ac00258a001
Lozano, I. E., Llamazares Vegh, S., Gómez, M. I., Piazza, Y. G., Salva, J. L., & Fuentes, C. M. (2019). Episodic recruitment of young Prochilodus lineatus (Valenciennes, 1836) (Characiformes: Prochilodontidae) during high discharge in a floodplain lake of the River Paraná, Argentina. Fisheries Management and Ecology, 26(3), 260–268. https://doi.org/10.1111/fme.12348
Luoma, S. N., & Rainbow, P. S. (2008). Metal contamination in aquatic environments: Science and lateral management. Cambridge university press Access-online-book.
Marino, D. J. G., & Ronco, A. E. (2005). Cypermethrin and chlorpyrifos concentration levels in surface water bodies of the Pampa Ondulada, Argentina. Bulletin of Environmental Contamination and Toxicology, 75, 820-826. https://doi.org/10.1007/s00128-005-0824-7
Meng, L., Orphanides, C. D., & Christopher Powell, J. (2002). Use of a fish index to assess habitat quality in Narragansett Bay, Rhode Island. Transactions of the American Fisheries Society, 131(4), 731–742.
Monferrán, M. V., Garnero, P., de los Angeles Bistoni, M., Anbar, A. A., Gordon, G. W., & Wunderlin, D. A. (2016). From water to edible fish. Transfer of metals and metalloids in the San Roque Reservoir (Córdoba, Argentina). Implications associated with fish consumption. Ecological Indicators, 63, 48–60. https://doi.org/10.1016/j.ecolind.2015.11.048
Nair, M., Jayalakshmy, K. V., Balachandran, K. K., & Joseph, T. (2006). Bioaccumulation of toxic metals by fish in a semi-enclosed tropical ecosystem. Environmental Forensics, 7(3), 197–206. https://doi.org/10.1080/15275920600840438
Nakatani, K., Baumgartner, G., & Cavicchioli, M. (1997). In A. E. A. M. Vazzoler, A. A. Agostinho, & N. S. Hahn (Eds.), Ecologia de ovos e larvas de peixes. En “A Planície de Inundação do Alto Rio Paraná: Aspectos Físicos, Biológicos e Socioeconômicos” (pp. 281–306). EDUEM.
Nathaniel, S. P., Nwulu, N., & Bekun, F. (2021). Natural resource, globalization, urbanization, human capital, and environmental degradation in Latin American and Caribbean countries. Environmental Science and Pollution Research, 28, 6207–6221. https://doi.org/10.1007/s11356-020-10850-9
Nestler, J. M., Baigún, C. R., Oldani, N., & Weber, L. J. (2007). Contrasting the Middle Paraná and Mississippi Rivers to develop a template for restoring large floodplain river ecosystems. International Journal of River Basin Management, 5(4), 305–319. https://doi.org/10.1080/15715124.2007.9635329
OMEW. (2016). Ontario Ministry of the Environment, 2016. https://www.ontario.ca/Page/Soil-Ground-Water-and-Sediment-Standards-Use-under-Part-Xv1.Environmental-Protection-Act .
Orfeo, O., Stevaux, J., & Parsons, D. (2020). Geomorphological and sedimentological characteristics. In The Paraná River Basin (pp. 42–60). Routledge. https://doi.org/10.4324/9780429317729
Ownby, D. R., Galvan, K. A., & Lydy, M. J. (2005). Lead and zinc bioavailability to Eisenia fetida after phosphorus amendment to repository soils. Environmental Pollution, 136(2), 315–321. https://doi.org/10.1016/j.envpol.2004.12.033
Peluso, L. M., Mateus, L., Penha, J., Bailly, D., Cassemiro, F., Suárez, Y., ... & Lemes, P. (2022). Climate change negative effects on the Neotropical fishery resources may be exacerbated by hydroelectric dams. Science of The Total Environment, 828, 154485. https://doi.org/10.1016/j.scitotenv.2022.154485
Primost, J. E., Peluso, L., Sasal, M. C., & Bonetto, C. A. (2022). Nutrient dynamics in the Paraná River Delta: Relationship to the hydrologic regime and the floodplain wetlands. Limnologica, 94, 125970. https://doi.org/10.1016/j.limno.2022.125970
Rabuffetti, A. P., Espínola, L. A., Amsler, P., Ferreira, P., Abrial, E., Blettler, M. C., & Amsler, M. L. (2022). Fishers’ knowledge on a large floodplain river in South America. Contributions for sustainable management of inland fisheries. Reviews in Fish Biology and Fisheries, 1–20. https://doi.org/10.1007/s11160-022-09722-x
Roebeling, P., Abrantes, N., Ribeiro, S., & Almeida, P. (2016). Estimating cultural benefits from surface water status improvements in freshwater wetland ecosystems. Science of the Total Environment, 545, 219–226. https://doi.org/10.1016/j.scitotenv.2015.12.063
Rolón, E., Avigliano, E., Rosso, J. J., Tripodi, P., Bavio, M., Bidone, C., & Volpedo, A. V. (2021). Metals and metalloids in a first order stream of the Atlantic rainforest: abiotic matrices, bioaccumulation in fishes and human health risk assessment. Journal of Trace Elements in Medicine and Biology, 68, 126866. https://doi.org/10.1016/j.jtemb.2021.126866
Ronco, A. E., Carriquiriborde, P., Natale, G. S., Martin, M. L., Mugni, H., & Bonetto, C. (2008). Integrated approach for the assessment of biotech soybean pesticides impact on low order stream ecosystems of the Pampasic Region. Ecosystem Ecology Research, 209–239 https://hero.epa.gov/hero/index.cfm/reference/details/reference_id/8600715
Ronco, A. E., Marino, D. J. G., Abelando, M., Almada, P., & Apartin, C. D. (2016). Water quality of the main tributaries of the Paraná Basin: Glyphosate and AMPA in surface water and bottom sediments. Environmental Monitoring and Assessment, 188(8), 458. https://doi.org/10.1007/s10661-016-5467-0
Scarabotti, P. A., Lucifora, L. O., Espínola, L. A., Rabuffetti, A. P., Liotta, J., Mantinian, J. E., et al. (2021). Long-term trends of fishery landings and target fish populations in the lower La Plata basin. Neotropical Ichthyology, 19. https://doi.org/10.1590/1982-0224-2021-0013
Shoji, J., Toshito, S. I., Mizuno, K. I., Kamimura, Y., Hori, M., & Hirakawa, K. (2011). Possible effects of global warming on fish recruitment: Shifts in spawning season and latitudinal distribution can alter growth of fish early life stages through changes in daylength. ICES Journal of Marine Science, 68(6), 1165–1169. https://doi.org/10.1093/icesjms/fsr059
Smalling, K. L., Oja, E. B., Cleveland, D. M., Davenport, J. M., Eagles-Smith, C., Grant, E. H. C., et al. (2021). Metal accumulation varies with life history, size, and development of larval amphibians. Environmental Pollution, 287, 117638. https://doi.org/10.1016/j.envpol.2021.117638
Smedley, P. L., & Kinniburgh, D. G. (2002). A review of the source, behaviour and distribution of arsenic in natural waters. Applied Geochemistry, 17(5), 517–568. https://doi.org/10.1016/S0883-2927(02)00018-5
Sverlij, S. B., Espinach, R. A., & Orti, G. (1993). Sinopsis de los datos biológicos y pesqueros del sábalo Prochilodus lineatus (Valenciennes, 1847). FAO Sinopsis Sobre la Pesca, 154, 1–64.
Szedlmayer, S. T., & Lee, J. D. (2004). Diet shifts of juvenile red snapper (Lutjanus compechanus) with changes in habitat and fish size. Fishery Bulletin, 102(2), 366–375 http://fishbull.noaa.gov/1022/szedlmayer.pdf
USEPA. (1991). United States Environmental Protection Agency, National Primary Drinking Water Regulations for Radionuclides. US Government Printing Office. https://doi.org/10.1201/9780203710432
USEPA. (1996). United States Environmental Protection Agency, Quantitative Uncertainty Analysis of Super Fund Residential Risk Path Way Models for Soil and Ground Water: White Paper. Office of Health and Environmental Assessment.
USEPA. (2021). National recommended water quality criteria - aquatic life criteria table. https://www.epa.gov/wqc/national-recommended-water-quality-criteria-aquatic-life-criteria-table#table
Van der Oost, R., Beyer, J., & Vermeulen, N. P. (2003). Fish bioaccumulation and biomarkers in environmental risk assessment: A review. Environmental Toxicology and Pharmacology, 13(2), 57–149. https://doi.org/10.1016/S1382-6689(02)00126-6
Villar, C. A., de Cabo, L., Vaithiyanathan, P., & Bonetto, C. (1998). River-floodplain interactions: Nutrient concentrations in the lower Parana River. Archiv für Hydrobiologie, 433–450. https://doi.org/10.1127/archiv-hydrobiol/142/1998/433
Wang, W. X., & Rainbow, P. S. (2008). Comparative approaches to understand metal bioaccumulation in aquatic animals. Comparative Biochemistry and Physiology Part C: Toxicology & Pharmacology, 148(4), 315–323. https://doi.org/10.1016/j.cbpc.2008.04.003
Webb, R. M. T., Gomez-Gomez, F., & McIntyre, S. C. (1998). Contaminants in sediments deposited in the San Juan Bay estuary system (1925-95). Tropical Hydrology and Caribbean Water Resources, Proceedings, 98(2), 33–38 https://hero.epa.gov/hero/index.cfm/reference/details/reference_id/1355093
Wunderlin, A. D., del Pilar, D. M., Valeria, A. M., Fabiana, P. S., Cecilia, H. A., & de los Ángeles, B. M. (2001). Pattern recognition techniques for the evaluation of spatial and temporal variations in water quality. A case study: Suquı́a River Basin (Córdoba–Argentina). Water Research, 35(12), 2881–2894. https://doi.org/10.1016/S0043-1354(00)00592-3
Xia, W., Chen, L., Deng, X., Liang, G., Giesy, J. P., Rao, Q., et al. (2019). Spatial and interspecies differences in concentrations of eight trace elements in wild freshwater fishes at different trophic levels from middle and eastern China. Science of the Total Environment, 672, 883–892. https://doi.org/10.1016/j.scitotenv.2019.03.134
Yi, Y., Yang, Z., & Zhang, S. (2011). Ecological risk assessment of heavy metals in sediment and human health risk assessment of heavy metals in fishes in the middle and lower reaches of the Yangtze River basin. Environmental Pollution, 159(10), 2575–2585. https://doi.org/10.1016/j.envpol.2011.06.011
Zeng, J., Yang, L., Wang, X., Wang, W. X., & Wu, Q. L. (2012). Metal accumulation in fish from different zones of a large, shallow freshwater lake. Ecotoxicology and Environmental Safety, 86, 116–124. https://doi.org/10.1016/j.ecoenv.2012.09.003
Acknowledgements
The writers express their sincere appreciation to the teams at the 3IA-UNSAM laboratory for their aid and technical assistance. The authors extend their gratitude to P. Tripodi, M. Bavio, and C. Bidone for their invaluable support in conducting ICP-MS measurements. The authors are also appreciative of the assistance provided by N. Yapura, a local fisherman, during the fieldwork.
Funding
This study received support from the University of Buenos Aires (UBACYT 20020190100069BA), the ANPCyT (PICT2019-03888), and the CONICET (PIP 11220200103264CO; P-UE 22920180100047CO).
Author information
Authors and Affiliations
Contributions
All authors contributed to the study’s conception and design. Sabina Llamazares Vegh has actively participated in the planning, execution, and analysis of the review paper. Also, Sabina Llamazares Vegh has done the literature search, data analysis, and drafting, whereas Fernanda Biolé performed data analysis, editing, and reviewing. Alejandra V. Volpedo revised all parts of the paper and critically restructured the write-up. All authors reviewed the manuscript and gave final approval for publication.
Corresponding author
Ethics declarations
Ethics approval
During the sampling process, fish handling was carried out in accordance with the guidelines of the ethical committee of the UFAW Handbook on the Care and Management of Laboratory Animals (http://www.ufaw.org.uk). The collection of fish was authorized by the local Wildlife and Fisheries Authority’s guidelines and policies. All authors have read, understood, and have complied as applicable with the statement on “Ethical responsibilities of Authors” as found in the instructions for authors and are aware that with minor exceptions, no changes can be made to authorship once the paper is submitted
Competing interests
The authors declare no competing interests.
Additional information
Publisher’s note
Springer Nature remains neutral with regard to jurisdictional claims in published maps and institutional affiliations.
Supplementary information
ESM 1
(DOCX 18 kb)
Rights and permissions
Springer Nature or its licensor (e.g. a society or other partner) holds exclusive rights to this article under a publishing agreement with the author(s) or other rightsholder(s); author self-archiving of the accepted manuscript version of this article is solely governed by the terms of such publishing agreement and applicable law.
About this article
Cite this article
Llamazares Vegh, S., Biolé, F. & Volpedo, A.V. Essential and toxic elements in juvenile migratory commercial fish species in the Paraná River alluvial valley (South America): an approach for aquatic environmental monitoring. Environ Monit Assess 195, 1079 (2023). https://doi.org/10.1007/s10661-023-11692-x
Received:
Accepted:
Published:
DOI: https://doi.org/10.1007/s10661-023-11692-x