Skip to main content

Potential of tea plants in carbon sequestration in North-East India

Abstract

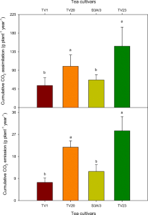
The potential of carbon (C) sequestration through photosynthesis depends on the nature of different plant species. Tea (Camellia sinensis L.) is an evergreen perennial plant and cultivated over a wide region in the world, and its potential to sequestrate atmospheric carbon dioxide (CO2) in plant biomass is already evaluated. However, proportions of assimilated CO2 which tea plant can sequestrate in their biomass and in soil are not evaluated before. In this experiment, ten (10) 6-month old tea plants of four different cultivars (TV1, TV20, S3A/3, and TV23) were transplanted in the field and CO2 assimilation flux of tea plants was periodically measured under in situ condition using close-chamber method at 15 days interval throughout the year. The cumulative CO2 assimilation flux of young tea plants varied within 31.82–249.22 g CO2 plant−1 year−1; however, it was estimated that tea bushes also emitted 5.2–70.8 g CO2 plant−1 year−1 due to aerobic respiration. After 1 year, tea plants were uprooted and the changes in their biomass were compared as the measure of their C-sequestration within the study duration. The weight gain in the whole plant biomass was proportional to the CO2 assimilation potential of tea cultivars. Overall, tea plants sequestrated 50.8% of the assimilated atmospheric CO2 in their biomass. The study revealed that tea bushes release organic C through the root exudates, the amount of which was equivalent to 5.9–8.6% of the assimilated CO2. Those secreted root exudates have potential to increase organic C up to 44–48 kg ha−1 year−1 in tea-growing soil.

This is a preview of subscription content, access via your institution.

Fig. 1
Fig. 2
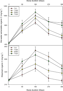
Fig. 3
Fig. 4

References

  • Baruah, D. N. (1989). Science and practice in tea culture (pp. 56–58). Jorhat: Tea Research Association.

    Google Scholar 

  • Bond-Lamberty, B., & Thomson, A. (2010). Temperature-associated increases in the global soil respiration record. Nature, 464, 579–582.

    CAS  Article  Google Scholar 

  • Bowen, G., & Rovira, A. (1999). The rhizosphere and its management to improve plant growth. Advances in Agronomy, 66, 1–102.

    Article  Google Scholar 

  • Canadell, J. G., Le Quéré, C., Raupach, M. R., Field, C. B., Buitenhuis, E. T., Ciais, P., Conway, T. J., Gillett, N. P., Houghton, R. A., & Marland, G. (2007). Contributions to accelerating atmospheric CO2 growth from economic activity, carbon intensity, and efficiency of natural sinks. Proceedings of the National Academy of Sciences of the United States of America, 104, 18866–18870.

    CAS  Article  Google Scholar 

  • Chen, C. I., Wang, Y. N., Lih, H. W., & Yu, J. C. (2016). Three-year study on diurnal and seasonal CO2 sequestration of a young Fraxinus griffithii plantation in southern Taiwan. Forests, 7, 2–11.

    Google Scholar 

  • Ciais, P., & Sabine, C. (2013). Carbon and other biogeochemical cycles. In O. Edenhofer, R. Pichs-Madruga, & Y. Sokonaet (Eds.), Climate Change 2013: The Physical Science Basis. Contribution of Working Group I to the Fifth Assessment Report of the Intergovernmental Panel on Climate Change. Cambridge, United Kingdom and New York, NY, USA: Cambridge University Press.

    Google Scholar 

  • Darrah, P. R. (1993). The rhizosphere and plant nutrition: a quantitative approach. Plant and Soil, 1, 155–156.

    Google Scholar 

  • Gomez, K. A., & Gomez, A. A. (1984). Statistical procedures for agricultural research (pp. 130–139). New York: A Wiley-Interscience Publication.

    Google Scholar 

  • Gonzalez-Meler, M. A., Taneva, L., & Trueman, R. J. (2004). Plant respiration and elevated atmospheric CO2 concentration: cellular responses and global significance. Annals of Botany, 94, 647–656.

    CAS  Article  Google Scholar 

  • Gregory, P. J., & Atwell, B. J. (1991). The fate of carbon in pulse labelled crops of barley and wheat. Plant and Soil, 136, 205–213.

    CAS  Article  Google Scholar 

  • IPCC. (2014). Climate change 2014: synthesis report. In Core Writing Team, R. K. Pachauri, & L. A. Meyer (Eds.), Contribution of Working Groups I, II and III to the Fifth Assessment Report of the IntergovernmentalPanel on Climate Change (p. 151). Geneva, Switzerland: IPCC.

    Google Scholar 

  • Jansson, C., Wullschleger, S. D., Kalluri, U. C., & Tuskan, G. S. (2010). Phytosequestration: carbon biosequestration by plants and the prospects of genetic engineering. BioSciences, 60, 685–696.

    Article  Google Scholar 

  • Lu, X., Fan, J., Yan, Y., & Wang, X. (2011). Soil-water soluble organic carbon under three alpine grassland types in Northern Tibet, China. African Journal of Agricultural Research, 6, 2066–2071.

    Google Scholar 

  • Macías, F., & Arbestain, M. C. (2010). Soil carbon sequestration in a changing global environment. Miti. Adap. Strategies in Global Changes, 15, 511–529.

    Article  Google Scholar 

  • Basu, M. A., Bera, B., & Rajan, A. (2010). Tea statistics: global scenario. International Journal of Tea Science, 8, 121–124.

    Google Scholar 

  • Mandal, R. A., Jha, P. K., Dutta, I. C., Thapa, U., & Karmacharya, S. B. (2016). Carbon sequestration in tropical and subtropical plant species in collaborative and community forests of Nepal. Advances in Ecology, 2016, 1–8.

    Article  Google Scholar 

  • Meltner, A., Richnow, H. H., Kopinke, F. D., & Kastner, M. (2005). Incorporation of carbon originating from CO2 into different compounds of soil microbial biomass and soil organic matter. Isotopes in Environmental and Health Studies, 41, 135–140.

    Article  Google Scholar 

  • Morita, A., Yanagisawa, O., Maeda, S., Takatsu, S., & Ikka, T. (2011). Tea plant (Camellia sinensis L.) roots secrete oxalic acid and caffeine into medium containing aluminium. Soil Science and Plant Nutrition, 57, 796–802.

    CAS  Article  Google Scholar 

  • Nelson, D. W., & Sommers, L. E. (1982). Total carbon and organic carbon. In A. L. Page, R. H. Miller, & D. R. Keeney (Eds.), Methods of soil analysis. Part 2: chemical and Microbiological Properties (Vol. 2, pp. 539–579). Madison (WI): American Society of Agronomy.

    Google Scholar 

  • Phukan, M., Savapondit, D., Hazra, A., Das, S., & Pramanik, P. (2018). Algorithmic derivation of CO2 assimilation based on some physiological parameters of tea bushes in North-East India. Ecological Indicators, 91, 77–83.

    CAS  Article  Google Scholar 

  • Pires, J., Martins, F., Alvim-Ferraz, M., & Simões, M. (2011). Recent developments on carbon capture and storage: an overview. Chemical Engineering Research and Design, 89, 1446–1460.

    CAS  Article  Google Scholar 

  • Schlesinger, W. M., & Bernhardt, E. S. (2013). Biogeochemstry. An analysis of global change (3rd ed.). NY: Academic Press.

    Google Scholar 

  • Shapiro, S. S., & Wilk, M. (1972). An analysis of variance test for the exponential distribution (complete samples). Technometrics, 14, 355–370.

    Article  Google Scholar 

  • Smith, P., Clark, H., Dong, H., Elsiddig, E. A., Haberl, H., Harper, R., House, J., & Jafari, M. (2014). Agriculture, forestry and other land use (AFOLU). In O. Edenhofer, R. Pichs-Madruga, Y. Sokona, E. Farahani, S. Kadner, K. Seyboth, A. Adler, I. Baum, S. Brunner, P. Eickemeier, B. Kriemann, J. Savolainen, S. Schlömer, C. von Stechow, T. Zwickel, & J. C. Minx (Eds.), Climate change 2014: mitigation of climate change. Contribution of Working Group III to the Fifth Assessment Report of the Intergovernmental Panel on Climate Change. Cambridge, United Kingdom, New York, NY, USA: Cambridge University Press.

    Google Scholar 

  • Zaman Jayman, T. C., & Sivasubramaniam, S. (1975). Release of bound iron and aluminium from soils by the root exudates of tea (camellia sinensis) plants. Journal of the Science of Food and Agriculture, 26, 1895–1898.

    Article  Google Scholar 

Download references

Acknowledgments

The authors are thankful to the Director, Tocklai Tea Research Institute, Tea Research Association, Jorhat, for providing the necessary facilities to conduct the experiment. The corresponding author is also thankful to the Deputy Direction, North Bengal Regional R&D Centre at Nagrakata, West Bengal, India for supporting me during manuscript revision and proof correction. The authors are also thankful to Mr. Deka (Manager) of Tocklai Tea Estate for providing the young plants of four different tea cultivars.

Funding

The work was supported by the funding of Department of Science and Technology (DST), Government of India (DST/IS-STAC/CO2-SR-243/2015).

Author information

Affiliations

Authors

Corresponding author

Correspondence to Prabhat Pramanik.

Ethics declarations

Conflict of interest

The authors declare that they have no conflict of interest.

Additional information

Publisher’s note

Springer Nature remains neutral with regard to jurisdictional claims in published maps and institutional affiliations.

Electronic supplementary material

ESM 1

(DOCX 2620 kb)

Rights and permissions

Reprints and Permissions

About this article

Verify currency and authenticity via CrossMark

Cite this article

Pramanik, P., Phukan, M. Potential of tea plants in carbon sequestration in North-East India. Environ Monit Assess 192, 211 (2020). https://doi.org/10.1007/s10661-020-8164-y

Download citation

  • Received:

  • Accepted:

  • Published:

  • DOI: https://doi.org/10.1007/s10661-020-8164-y

Keywords

  • Assimilated atmospheric CO2
  • C sequestration
  • Biomass gain
  • Tea