Abstract
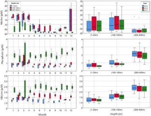
This research investigated physical (temperature, salinity, and density) and chemical (dissolved oxygen, ammonium, nitrate, nitrite, phosphate, and silicate) properties of offshore seawater in the Red Sea northern Gulf of Aqaba; Jordanian Site were measured during 2013–2015 to assess the temporal and seasonal variation of the upper 400 m of the water column. The study also investigated seasonal variations, assessing the relationships of temperature with physical and chemical parameters. The average value of temperature for all data was 23.03 ± 1.58 °C. Temperature followed an expected seasonal cycle during 2013–2015, with well-mixed conditions in the upper 400 m of the water column during spring (Feb–Apr) and stratification during summer (Jul–Aug). There were no significant differences among years for temperature, but highly significant differences among months and depths. The average value of salinity (psu) for all data was 40.60 ± 0.10 with significant positive or negative differences among years, months, and depths. In general, dissolved oxygen, ammonium, nitrate, nitrite, and phosphate data showed positive or negative significant differences among months and depths with no significant annual variations. Silicate only showed significant differences among depths. Correlation tests between temperature and other parameters in the upper 25 m of the water column revealed significant inverse-relationships between temperature and all other parameters (other than salinity) that were attributed to the dominant thermal controls on seawater density, to the thermodynamic controls on oxygen solubility and to seasonal increases in light irradiance that allowed nutrient consumption by primary producers. In the intermediate water column (100–150 m), similar correlations were found as in the 0–25 m data, except for silicate. In the deeper waters (300–400 m), only salinity, density, and phosphate showed significant correlations with temperature, and indicated that the seasonal effects of primary production at depth were minimal. In general, the values of all parameters during the years 2013–2015 in the upper 400 m were comparable with previous studies (e.g., 1998–2003). In conclusion, this research manifested the strong correlation of temperature with some chemical parameters and presumed seasonal controls on primary production. Given the general lack of interannual variation, water quality in the northern Gulf of Aqaba appears relatively stable.










References
Abdelmongy, A. S., & El-Moselhy, K. M. (2015). Seasonal variations of the physical and chemical properties of seawater at the Northern Red Sea, Egypt. Open Journal of Ocean and Coastal Sciences, 2(1), 1–17. https://doi.org/10.15764/OCS.2015.01001.
Al-Qutob, M., Häse, C., Tilzer, M. M., & Lazar, B. (2002). Phytoplankton drives nitrite dynamics in the Gulf of Aqaba, Red Sea. Marine Ecology Progress Series, 239, 233–239.
Al-Sokhny K. J. (2001). Biogeochemical cycles of nutrients and chlorophyll a in relation to coastal current in Jordanian water of the Gulf of Aqaba, Red Sea. M.S. thesis, Yarmook University, Irbid, Jordan.
Audit (2002). National Land and Water Resources Audit, Australian Catchment River and Estuary Assessment, .1. NLWRA Common Wealth of Australia.
Badran, M. I. (2001). Dissolved oxygen, chlorophyll a and nutrients: seasonal cycles in waters of the Gulf of Aqaba, Red Sea. Aquatic Ecosystem Health & Management, 4(2), 123–138.
Collos, Y. (1998). Nitrate uptake, nitrite release and uptake, and new production estimates. Marine Ecology Progress Series, 171, 293–301.
Conkright, M., Gregg, W., & Levitus, S. (2000). Seasonal cycle of phosphate in the open ocean. Deep Sea Research Part I: Oceanographic Research Papers, 47(2), 159–175.
Corwith, H. L., & Wheeler, P. A. (2002). El Nino related variations in nutrient and chlorophyll distributions off Oregon. Progress in Oceanography, 54, 361–380.
Domingo-Ferrer J. (1996). Heavy metal pollution in coastal Red Sea waters, Jeddah, KAU. Mar. Sci. Special issue: Symp. On Red Sea mar. environ., Jeddah, 1994(7), 67–74.
Dore, J. E., & Karl, D. M. (1996a). Nitrite distributions and dynamics at station ALOHA. Deep-Sea Research, 43, 385–402.
Dore, J. E., & Karl, D. M. (1996b). Nitrification in the euphotic zone as a source for nitrite, nitrate and nitrous oxide at station ALOHA. Limnology and Oceanography, 41, 1619–1628.
Dorgham, M., El-Sherbiny, M., & Hanafi, M. (2012). Environmental properties of the southern Gulf of Aqaba, Red Sea, Egypt. Mediterranean Marine Science., 13(2), 179–186.
Genin, A., Lazar, B., & Brenner, S. (1995). Vertical mixing and coral death in the Red Sea following the eruption of Mt. Pinatubo. Nature, 377(6549), 507–510.
Grasshoff, K., Kremling, K., & Ehrhardt, M. (1999). Methods of seawater analysis. Weinheim: Wiley-Vch 600 pp.
Guerrero, M. A., & Jones, R. D. (1996). Photoinhibition of marine nitrifying bacteria, I. Wavelength-dependent response. Marine Ecology Progress Series, 141(1), 183–192.
Labiosa, R. G., Arrigo, K. R., Genin, A., Monismith, S. G., & Dijken, G. (2003). The interplay between upwelling and deep convective mixing in determining the seasonal phytoplankton dynamics in the Gulf of Aqaba: evidence from SeaWiFS and MODIS. Limnology and Oceanography, 48, 2355–2368.
Lester, W. (1975). Polluted river: river trent, England, River. Ecology, 2, 489–513.
Lindell, D., & Post, A. F. (1995). Ultraphytoplankton succession is triggered by deep winter mixing in the Gulf of Aqaba (Eilat), Red Sea. Limnology and Oceanography, 40, 1130–1141.
Madkour, H. A. (2011). Impacts of human activities and natural inputs on heavy metal contents of many coral reef environments along the Egyptian Red Sea coast. Arabian Journal of Geosciences, 6(6), 1739–1752.
Manasrah R. (1998). Circulation of the Jordanian waters of the Gulf of Aqaba, Red Sea. M.S. thesis, Yarmouk University, Irbid, Jordan.
Manasrah, R. S. (2002). The general circulation and water mass characteristics in the Gulf of Aqaba and northern Red Sea, Meereswissenschaftliche Berichte. Marine Science Report, 50, 1–120.
Manasrah, R., & Badran, M. I. (2008). Inter-annual variation in the seawater thermohaline structure in the northern Gulf of Aqaba, Red Sea. Dirasat Pure Sciences, 35(92), 123–135.
Manasrah, R. S., Badran, M., Lass, H. U., & Fennel, W. (2004). Circulation and winter deep-water formation in the northern Red Sea. Oceanologia, 46, 5–23.
Manasrah, R., Rasheed, M., & Badran, M. (2006). Relationships between water temperature, nutrients and dissolved oxygen in the northern Gulf of Aqaba, Red Sea. Oceanologia, 48(2), 237–253.
OSPAR. (1997). Common procedure for the identification of the eutrophication status of the maritime area of the Oslo and Paris conventions. OSPAR Agreement, 1997–1911.
Rasheed M. Y. (1998). Assessment of trace nutrient and chlorophyll a concentration gradient within a coral reef of the Gulf of Aqaba, Red Sea. M. S. thesis, Yarmook University, Irbid, Jordan.
Rasheed, M., Badran, M., & Huettel, M. (2003). Particulate matter filtration and seasonal nutrient dynamics in permeable carbonate and silicate sands of the Gulf of Aqaba, Red Sea. Coral Reefs, 22(2), 167–177.
Shaikh, E. A., Roff, J. C. & Dowidar, N. M. (1986). Phytoplankton ecology and production in the Red Sea off Jiddah, Saudi Arabia. Marine Biology, 92, 405–416. https://doi.org/10.1007/BF00392681
UNESCO (1988). Eutrophication in the Mediterranean Sea receiving capacity and monitoring of long-term effects, Bologna, Italy.
Wheeler, P. A., Huyer, A., & Fleischbein, J. (2003). Cold halocline, increased nutrients and higher chlorophyll off Oregon in 2002. Geophysical Research Letters, 30(15), 8021. https://doi.org/10.1029/2003.GL017395.
Zakem, E. J., Al-Haj, A., Church, M. J., Dijken, G. L., Dutkiewicz, S., Foster, S. Q., Fulweiler, R. W., Mills, M. M., & Follows, M. J. (2018). Ecological control of nitrite in the upper ocean. Nature Communications, 9(1), 1206. https://doi.org/10.1038/s41467-018-03553-w.
Acknowledgments
The Authors would like to express their thanks for staff of the Marine Science Station/Aqaba and Mote Marine Laboratory/Sarasota-Florida for their help and support to accomplish this work. This work was written and analyzed while a Sabbatical Fellow from The University of Jordan/Aqaba Branch to Riyad Manasrah to be spent at the Mote Marine Laboratory in Florida USA. Fulbright scholarship was also awarded to Riyad Manasrah during this period.
Author information
Authors and Affiliations
Corresponding author
Additional information
Publisher’s note
Springer Nature remains neutral with regard to jurisdictional claims in published maps and institutional affiliations.
Rights and permissions
About this article
Cite this article
Manasrah, R., Alsaad, L., Trabeen, K. et al. Physical and chemical properties of seawater during 2013–2015 in the 400 m water column in the northern Gulf of Aqaba, Red Sea. Environ Monit Assess 192, 188 (2020). https://doi.org/10.1007/s10661-020-8134-4
Received:
Accepted:
Published:
DOI: https://doi.org/10.1007/s10661-020-8134-4