Skip to main content

Influence of iron mining activity on heavy metal contamination in the sediments of the Aqyazi River, Iran

A Correction to this article was published on 01 August 2020

This article has been updated

Abstract

In order to investigate the degree of contamination of heavy metals (As, Cd, Cr, Cu, Fe, Pb, and Ni) in the Aqyazi River in Iran, sediment samples were collected from the river receiving wastewater from an iron-manufacturing plant. For this study, contamination indices, geoaccumulation index (Igeo), contamination factor (CF), and pollution load index (PLI), were used to assess contamination by the heavy metals. The results of the Igeo indicated that the sediments were moderately contaminated by Cu and strongly to extremely contaminated by Cd. Based on spatial distribution of concentrations and the Igeo, mining activity was the source of Cu and Cd in the Aqyazi River. Furthermore, the elevated Igeo of Cd at upmost northern station was not influenced by the mining activity, suggesting that there may be another upstream anthropogenic source of Cd. The CF values indicated the same trend as the Igeo. The PLI was calculated using all the metals analyzed in this study, and displayed that the sediments were not polluted. However, the PLI was re-calculated using only Cu and Cd and indicated that the sediments were polluted. Our results suggest further studies to trace another source of Cd upstream of the Aqyazi River and to investigate influence of the river waters on accumulation of heavy metals in soils and vegetables downstream.

This is a preview of subscription content, access via your institution.

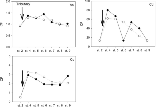
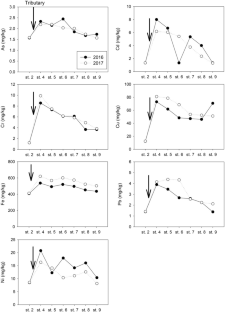
Fig. 1
Fig. 2
Fig. 3
Fig. 4

Change history

  • 01 August 2020

    The original version of this article unfortunately contained an error in the affiliation section and missing acknowledgment statement.

References

  • Acheampong, M. A., Paksirajan, K., & Lens, P. N. L. (2013). Assessment of the effluent quality from a gold mining industry in Ghana. Environmental Science and Pollution Research, 20(6), 3799–3811.

    Article  CAS  Google Scholar 

  • Barbieri, M., Sappa, G., Vitale, S., Parisse, B., & Battistel, M. (2014). Soil control of trace metals concentrations in landfills: a case study of the largest landfill in Europe, Malagrotta, Rome. Journal of Geochemical Exploration, 143, 146–154.

    Article  CAS  Google Scholar 

  • Barbieri, M., Nigro, A., & Sappa, G. (2015). Soil contamination evaluation by enrichment factor (EF) and geoaccumulation index (Igeo). Senses Sciences, 2(3), 94–97.

    Google Scholar 

  • Barbieri, M., Sappa, G., & Nigro, A. (2018). Soil pollution: anthropogenic versus geogenic contributions over large areas of the Lazio region. Journal of Geochemical Exploration, 195, 78–86.

    Article  CAS  Google Scholar 

  • Bhuiyan, M. A. H., Parvez, L., Islam, M. A., Dampare, S. B., & Suzuki, S. (2010). Heavy metal pollution of coal mine-affected agricultural soils in the northern part of Bangladesh. Journal of Hazardous Materials, 173(1–3), 384–392.

    Article  CAS  Google Scholar 

  • Chabukdhara, M., & Nema, A. K. (2012). Assessment of heavy metal contamination in Hindon River sediments: a chemometric and geochemical approach. Chemosphere, 87(8), 945–953.

    Article  CAS  Google Scholar 

  • Dou, Y., Li, J., Zhao, J., Hu, B., & Yang, S. (2013). Distribution, enrichment and source of heavy metals in surface sediments of the eastern Beibu Bay, South China Sea. Marine Pollution Bulletin, 67(1–2), 137–145.

    Article  CAS  Google Scholar 

  • Duncan, A. E., de Vries, N., & Nyarko, K. B. (2018). Assessment of heavy metal pollution in the sediments of the River Pra and its tributaries. Water Air Soil Pollution, 229, 272. https://doi.org/10.1007/s11270-018-3899-6.

    Article  CAS  Google Scholar 

  • Feng, H., Jiang, H., Gao, W., Weinstein, M. P., Zhang, Q., Zhang, W., Yu, L., Yuan, D., & Tao, J. (2011). Metal contamination in sediments of the western Bohai Bay and adjacent estuaries, China. Journal of Environmental Management, 92, 1185–1197.

    Article  CAS  Google Scholar 

  • Gao, Z. (2018). Evaluation of heavy metal pollution and its ecological risk in one river reach of a gold mine in Inner Mongolia, northern China. International Biodeterioration and Biodegradation, 128, 94–99.

    Article  CAS  Google Scholar 

  • Ghrefat, H., Abu-Rukah, Y., & Rosen, M. (2011). Application of geoaccumulation index and enrichment factor for assessing metal contamination in the sediments of Kafrain Dam, Jordan. Environmental Monitoring and Assessment, 178(1–4), 95–109.

    Article  CAS  Google Scholar 

  • Hakanson. (1980). An ecological risk index for aquatic pollution control.a sedimentological approach. Water Research, 14(8), 975–1001

  • Hamad, R., Balzter, H., & Kolo, K. (2019). Assessment of heavy metal release into the soil after mine clearing in Halgurd-Sakran National Park, Kurdistan, Iraq. Environmental Science and Pollution Research, 26(2), 1517–1536.

    Article  CAS  Google Scholar 

  • Hasan, A. B., Kabir, S., Selim Reza, A. H. M., Nazim Zaman, M., Ahsan, A., & Rashid, M. (2013). Enrichment factor and geoaccumulation index of trace metals in sediments of the ship breaking area of Sitakund Upazilla (Bhatiary–Kumira), Chittagong, Bangladesh. Journal of Geochemical Exploration, 125, 130–137.

    Article  CAS  Google Scholar 

  • Howari, F. M., & Banat, K. M. (2001). Assessment of Fe, Zn, Cd, Hg, and Pb in the Jordan and Yarmouk River sediments in relation to their physicochemical properties and sequential extraction characterization. Water, Air, and Soil Pollution, 132(1–2), 43–59.

    Article  CAS  Google Scholar 

  • Hu, X. F., Jiang, Y., Shu, Y., Hu, X., Liu, L., & Luo, F. (2014). Effects of mining wastewater discharges on heavy metal pollution and soil enzyme activity of the paddy fields. Journal of Geochemical Exploration, 147(PB), 139–150.

  • Lee, P. K., Kang, M. J., Yu, S., & Kwon, Y. K. (2020). Assessment of trace metal pollution in roof dusts and soils near a large Zn smelter. Science of the Total Environment, 713, 136536. https://doi.org/10.1016/j.scitotenv.2020.136536.

    Article  CAS  Google Scholar 

  • Legorburu, I., Rodríguez, J. G., Borja, Á., Menchaca, I., Solaun, O., Valencia, V., Galparsoro, I., & Larreta, J. (2013). Source characterization and spatio–temporal evolution of the metal pollution in the sediments of the Basque estuaries (Bay of Biscay). Marine Pollution Bulletin, 66(1–2), 25–38.

    Article  CAS  Google Scholar 

  • Li, Z., Ma, Z., van der Kuijp, T. J., Yuan, Z., & Huang, L. (2014). A review of soil heavy metal pollution from mines in China: pollution and health risk assessment. Science of the Total Environment, 468–469, 843–853.

    Article  CAS  Google Scholar 

  • Liu, W. X., Coveney, R. M., & Chen, J. L. (2003). Environmental quality assessment on a river system polluted by mining activities. Applied Geochemistry, 18(5), 749–764.

    Article  CAS  Google Scholar 

  • Loska, K., & Wiechuła, D. (2003). Application of principal component analysis for the estimation of source of heavy metal contamination in surface sediments from the Rybnik Reservoir. Chemosphere, 51(8), 723–733.

    Article  CAS  Google Scholar 

  • Loska, K., Cebula, J., Pelczar, J., Wiechuła, D., & Kwapuliński, J. (1997). Use of enrichment, and contamination factors together with geoaccumulation indexes to evaluate the content of Cd, Cu, and Ni in the Rybnik water reservoir in Poland. Water, Air, and Soil Pollution, 93(1–4), 347–365.

    CAS  Google Scholar 

  • Mitchell, J. W. (2009). An assessment of lead mine pollution using macroinvertebrates at Greenside Mines, Glenridding. Earth & E-environ, 4, 27–57.

    Google Scholar 

  • Mohan, D., Pittman, C. U., Jr Bricka, M., Smith, F., Yancey, B., Mohammad, J., Steele, P. H., Alexandre-Franco, M. F., Gómez-Serrano, V., & Gong, H. (2007). Sorption of arsenic, cadmium, and lead by chars produced from fast pyrolysis of wood and bark during bio-oil production. Journal of Colloid and Interface Science, 310, 57–73.

    Article  CAS  Google Scholar 

  • Muller, G. (1969). Index of geoaccumulation in sediments of the Rhine River. Geojournal, 2, 108–118.

    Google Scholar 

  • Pena, E., Suárez, J., Sánchez-Tembleque, F., Jácome, A., Puertas, J. (2004). Characterization of polluted runoff in a granite mine, Galicia, Spain. In: Jarvis, A. P., Dudgeon, B. A., Younger, P. L. (eds) Proceedings of the International Mine Water Association Symposium, University of Newcastle. Newcastle upon Tyne 1:185–194.

  • Pesantes, A. A., Carpio, E. P., Vitvar, T., López, M. M. M., & Menéndez-Aguado, J. M. (2019). A multi-index analysis approach to heavy metal pollution assessment in river sediments in the Ponce Enríquez Area, Ecuador. Water (Switzerland), 11(3). https://doi.org/10.3390/w11030590.

  • Pociecha, A., Wojtal, A. Z., Szarek-Gwiazda, E., Cieplok, A., Ciszewski, D., & Kownacki, A. (2019). Response of Cladocera fauna to heavy metal pollution, based on sediments from subsidence ponds downstream of a mine discharge (S. Poland). Water (Switzerland), 11(4). https://doi.org/10.3390/w11040810.

  • Ramirez, M., Massolo, S., Frache, R., & Correa, J. A. (2005). Metal speciation and environmental impact on sandy beaches due to El Salvador copper mine, Chile. Marine Pollution Bulletin, 50(1), 62–72.

    Article  CAS  Google Scholar 

  • Sari, A., Tuzen, M., Citak, D., & Soylak, M. (2007). Adsorption characteristics of Cu(II) and Pb(II) onto expanded perlite from aqueous solution. Journal of Hazardous Materials, 148, 387–394.

    Article  CAS  Google Scholar 

  • Schneegurt, M. A., Jain, J. C., Menicucci, J. A., Brown, S. A., Kemner, K. M., & Garofalo, D. F. (2001). Biomass byproducts for the remediation of wastewaters contaminated with toxic metals. Environmental Science and Technology, 35(18), 3786–3791.

    Article  CAS  Google Scholar 

  • Shim, M. J., Yang, Y. M., Oh, D. Y., Lee, S. H., & Yoon, Y. Y. (2015). Spatial distribution of heavy metal accumulation in the sediments after dam construction. Environmental Monitoring and Assessment, 187, 733. https://doi.org/10.1007/s10661-015-4967-7.

    Article  CAS  Google Scholar 

  • Singovszka, E., Balintova, M., Demcak, S., & Pavlikova, P. (2017). Metal pollution indices of bottom sediment and surface water affected by acid mine drainage. Metals, 7(8), 284. https://doi.org/10.3390/met7080284.

    Article  CAS  Google Scholar 

  • Stefanowicz, A. M., Kapusta, P., Zubek, S., Stanek, M., & Woch, M. W. (2020). Soil organic matter prevails over heavy metal pollution and vegetation as a factor shaping soil microbial communities at historical Zn–Pb mining sites. Chemosphere, 240, 124922. https://doi.org/10.1016/j.chemosphere.2019.124922.

    Article  CAS  Google Scholar 

  • Sun, W., Skidmore, A. K., Wang, T., & Zhang, X. (2019). Heavy metal pollution at mine sites estimated from reflectance spectroscopy following correction for skewed data. Environmental Pollution, 252, 1117–1124.

    Article  CAS  Google Scholar 

  • Thompson, P. A., Kurias, J., & Mihok, S. (2005). Derivation and use of sediment quality guidelines for ecological risk assessment of metals and radionuclides released to the environment from uranium mining and milling activities in Canada. Environmental Monitoring and Assessment, 110, 71–85.

    Article  CAS  Google Scholar 

  • Tomlinson, D., Wilson, J., Harris, C., & Jeffrey, D. (1980). Problems in the assessment of heavy-metal levels in estuaries and the formation of a pollution index. Helgoländer Wissenschaftliche Meeresuntersuchungen, 33, 566–575.

    Article  Google Scholar 

  • Varol, M. (2011). Assessment of heavy metal contamination in sediments of the Tigris River (Turkey) using pollution indices and multivariate statistical techniques. Journal of Hazardous Materials, 195, 355–364.

    Article  CAS  Google Scholar 

  • Wang, C., Liu, S., Zhao, Q., Deng, L., & Dong, S. (2012). Spatial variation and contamination assessment of heavy metals in sediments in the Manwan Reservoir, Lancang River. Ecotoxicology and Environmental Safety, 82, 32–39.

    Article  CAS  Google Scholar 

  • Wedepohl, K. H. (1995). The composition of the continental crust. Geochimica et Cosmochimica Acta, 59(7), 1217–1232.

    Article  CAS  Google Scholar 

  • Yang, Q. W., Lan, C. Y., Wang, H. B., Zhuang, P., & Shu, W. S. (2006). Cadmium in soil-rice system and health risk associated with the use of untreated mining wastewater for irrigation in Lechang, China. Agricultural Water Management, 84(1–2), 147–152.

    Article  Google Scholar 

  • Zahra, A., Hashmi, M. Z., Malik, R. N., & Ahmed, Z. (2014). Enrichment and geo-accumulation of heavy metals and risk assessment of sediments of the Kurang Nallah—feeding tributary of the Rawal Lake Reservoir, Pakistan. Science of the Total Environment, 470–471, 925–933.

    Article  CAS  Google Scholar 

  • Zhang, W., Feng, H., Chang, J., Qu, J., Xie, H., & Yu, L. (2009). Heavy metal contamination in surface sediments of Yangtze River intertidal zone: an assessment from different indexes. Environmental Pollution, 157, 1533–1543.

    Article  CAS  Google Scholar 

Download references

Author information

Affiliations

Authors

Corresponding authors

Correspondence to Seung-Mok Lee or Moo Joon Shim.

Additional information

Publisher’s note

Springer Nature remains neutral with regard to jurisdictional claims in published maps and institutional affiliations.

Rights and permissions

Reprints and Permissions

About this article

Verify currency and authenticity via CrossMark

Cite this article

Shahmoradi, B., Hajimirzaei, S., Amanollahi, J. et al. Influence of iron mining activity on heavy metal contamination in the sediments of the Aqyazi River, Iran. Environ Monit Assess 192, 521 (2020). https://doi.org/10.1007/s10661-020-08466-0

Download citation

  • Received:

  • Accepted:

  • Published:

  • DOI: https://doi.org/10.1007/s10661-020-08466-0

Keywords

  • Mining activity
  • Heavy metal
  • Contamination
  • Geoaccumulation index
  • Sediment