Skip to main content

Prediction of the karstic spring flow rates under climate change by climatic variables based on the artificial neural network: a case study of Iran

Abstract

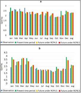
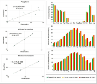
Few studies have evaluated the impact of climate change on groundwater resources for a region with no pumping well. Indeed, the uncertainty of pumping wells may undesirably influence the results. Therefore, a region without any pumping well was selected to assess the impact of climate change on the karstic spring flow rates. NASA Earth Exchange Global Daily Downscaled Projections (NEX-GDDP) dataset was used to extract the climatic variables for the present (1961–1990) and future (2021–2050) time periods by two Representative Concentration Pathways (RCPs), i.e., RCP4.5 and RCP8.5, in Lali region, southwest Iran. Although this dataset has been already verified, its output was evaluated for Lali region. Then, the impact of climate change on the discharge of Bibitarkhoun karstic spring was examined by the Artificial Neural Network (ANN). In this regard, if considering the daily data, ANN is not trained satisfactorily, because of the spring’s lag time response to the precipitation; if monthly time step is considered, the data would not be adequate. Therefore, the average of some previous days was considered to calculate the variables. The average precipitation is 344, 329, and 324 mm/year and the average temperature is 14.18, 15.98, and 16.3 °C both for the present, future time period under RCP4.5 and future time period under RCP8.5, respectively. The network selected demonstrated no climate change impact on the average of spring discharge. However, the discharge increased by about + 8% in spring and summer and decreased by about − 7% in autumn and winter in the future time period.

This is a preview of subscription content, access via your institution.

Fig. 1
Fig. 2
Fig. 3
Fig. 4
Fig. 5
Fig. 6
Fig. 7
Fig. 8
Fig. 9

References

  • Adiat, K. A. N., Ajayi, O. F., Akinlalu, A. A., & Tijani, I. B. (2020). Prediction of groundwater level in basement complex terrain using artificial neural network: a case of Ijebu-Jesa, southwestern Nigeria. Applied Water Science, 10, 8. https://doi.org/10.1007/s13201-019-1094-6.

    Article  Google Scholar 

  • Ahmadalipour, A., Moradkhani, H., & Svoboda, M. (2017). Centennial drought outlook over the CONUS using NASA-NEX downscaled climate ensemble. International Journal of Climatology, 37(5), 2477–2491.

    Google Scholar 

  • Anctil, F., Perrin, C., & Andréassian, V. (2004). Impact of the length of observed records on the performance of ANN and of conceptual parsimonious rainfall-runoff forecasting models. Environmental Modelling and Software, 19(4), 357–368.

    Google Scholar 

  • Ataei, H., Pouladi, R., & Fanaei, R. (2016). The statistical-synoptic evaluation of heavy precipitation events in Khouzestan Province. 1st international conference on natural hazards and environmental crises in Iran, strategies and challenges, Ardabil, Iran, 1-16 [in Persian].

  • Bao, Y., & Wen, X. (2017). Projection of China’s near-and long-term climate in a new high-resolution daily downscaled dataset NEX-GDDP. Journal of Meteorological Research, 31(1), 236–249.

    Google Scholar 

  • Bardossy, A. (2007). Calibration of hydrological model parameters for ungauged catchments. Hydrology and Earth System Sciences, 11(2), 703–710.

    Google Scholar 

  • Brenner, S., Coxon, G., Howden, N. J. K., Freer, J., & Hartmann, A. (2018). Process-based modelling to evaluate simulated groundwater levels and frequencies in a chalk catchment in South-Western England. Natural Hazards and Earth System Sciences, 18, 445–461.

    Google Scholar 

  • Chang, J., Wang, G., & Mao, T. (2015). Simulation and prediction of supra-permafrost groundwater level variation in response to climate change using a neural network model. Journal of Hydrology, 529, 1211–1220.

    Google Scholar 

  • Chen, H. P., Sun, J. Q., & Li, H. X. (2017). Future changes in precipitation extremes over China using the NEX-GDDP high-resolution daily downscaled data-set. Atmospheric and Oceanic Science Letters, 10(6), 403–410.

    Google Scholar 

  • Chester, D. L. (1990). Why two hidden layers are better than one. Paper presented at the Proc. IJCNN, Washington, DC, 1, 265–268.

  • Choubin, B., & Malekian, A. (2017). Combined gamma and M-test-based ANN and ARIMA models for groundwater fluctuation forecasting in semiarid regions. Environmental Earth Sciences, 2017(76), 538. https://doi.org/10.1007/s12665-017-6870-8.

    Article  Google Scholar 

  • Coppola, E. A., Rana, A. J., Poulton, M. M., Szidarovszky, F., & Uhl, V. W. (2005). A neural network model for predicting aquifer water level elevations. Ground Water, 43(2), 231–241.

    CAS  Google Scholar 

  • Coulibaly, P., Anctil, F., & Bobee, B. (2000). Daily reservoir inflow forecasting using artificial neural networks with stopped training approach. Journal of Hydrology, 230(3–4), 244–257.

    Google Scholar 

  • Coulibaly, P., Anctil, F., Aravena, R., & Bobée, B. (2001a). Artificial neural network modeling of water table depth fluctuations. Water Resources Research, 37(4), 885–896.

    Google Scholar 

  • Coulibaly, P., Anctil, F., & Bobee, B. (2001b). Multivariate reservoir inflow forecasting using temporal neural networks. Journal of Hydrologic Engineering, 6(5), 367–376.

    CAS  Google Scholar 

  • Coulibaly, P., Bobée, B., & Anctil, F. (2001c). Improving extreme hydrologic events forecasting using a new criterion for artificial neural network selection. Hydrological Processes, 15(8), 1533–1536.

    Google Scholar 

  • Daksiya, V., Mandapaka, P. V., & Lo, E. Y. M. (2017). A comparative frequency analysis of maximum daily rainfall for a SE Asian region under current and future climate conditions. Advances in Meteorology, 2017(2), 1–16.

    Google Scholar 

  • Daliakopoulos, I. N., Coulibaly, P., & Tsanis, I. K. (2005). Groundwater level forecasting using artificial neural networks. Journal of Hydrology, 309(1–4), 229–240.

    Google Scholar 

  • Dawson, C. W., & Wilby, R. L. (2001). Hydrological modelling using artificial neural networks. Progress in Physical Geography: Earth and Environment, 25(1), 80–108.

    Google Scholar 

  • De Vos, N. J., & Rientjes, T. H. M. (2005). Constraints of artificial neural networks for rainfall-runoff modelling: trade-offs in hydrological state representation and model evaluation. Hydrology and Earth System Sciences, 2(1), 365–415.

    Google Scholar 

  • Djurovic, N., Domazet, M., Stricevic, R., Pocuca, V., Spalevic, V., Pivic, R., Gregoric, E., & Domazet, U. (2015). Comparison of groundwater level models based on artificial neural networks and ANFIS. The Scientific World Journal, 2015, 1–13. https://doi.org/10.1155/2015/742138.

    CAS  Article  Google Scholar 

  • Donnelly, M. A. P., Marcantonio, M., Melton, F. S., & Barker, C. M. (2016). Mapping past, present, and future climatic suitability for invasive Aedes aegypti and Aedes albopictus in the United States: a process-based modeling approach using CMIP5 downscaled climate scenarios. Paper presented at the AGU Fall Meeting Abstracts.

  • Dowla, F. U., & Rogers, L. L. (1995). Solving problems in environmental engineering and geosciences with artificial neural networks. MIT Press 239p.

  • Drew, D., & Hötzl, H. (1999). Karst hydrogeology and human activities: impacts, consequences and implications (1st ed.). Routledge Publishing 340p.

  • Flint, L. E., & Flint, A. L. (2014). California basin characterization model: a dataset of historical and future hydrologic response to climate change, U.S. Geological Survey Data Release. https://doi.org/10.5066/F76T0JPB.

  • Ford, D. C., & Williams, P. W. (1989). Karst hydrogeology and geomorphology. John Wiley Publishing, Chichester, 576p.

  • Friedman, M., & Kandel, A. (1999). Introduction to pattern recognition: statistical, structural, neural and fuzzy logic approaches (Vol. 32). World Scientific Publishing Company 344p.

  • Ghose, D. K., Panda, S. S., & Swain, P. C. (2010). Prediction of water table depth in western region, Orissa using BPNN and RBFN neural networks. Journal of Hydrology, 394(3–4), 296–304.

    Google Scholar 

  • Goldscheider, N., & Drew, D. (2014). Methods in karst hydrogeology: IAH: International contributions to hydrogeology, 26. CRC Press, 280p.

  • Gorgij, A. D., Kisi, O., & Moghadam, A. A. (2017). Groundwater budget forecasting, using hybrid wavelet-ANN-GP modelling: a case study of Azarshahr Plain, East Azerbaijan, Iran. Hydrology Research, 48(2), 455–467.

    Google Scholar 

  • Hagan, M. T., Demuth, H. B., Beale, M. H., & Jessus, O. D. (2014). Neural network design (2nd ed.). Martin Hagan 800p.

  • Han, X., Lu, R., & Li, Q. (1993). Karst water system—case study of big karst springs in Shanxi Province. Beijing: Geology Press.

    Google Scholar 

  • Haykin, S. (1999). Neural networks, a comprehensive foundation (2nd ed.). Prentice-hall publishing 768p.

  • He, Y., Han, B., & Xue, C. (1997). Study of karstic-water in China. Tongji University Press: Shanghai (in Chinese with English abstract). https://cds.nccs.nasa.gov/nex-gddp/.

  • Hu, C., Hao, Y., Yeh, T. C. J., Pang, B., & Wu, Z. (2008). Simulation of spring flows from a karst aquifer with an artificial neural network. Hydrological Processes, 22(5), 596–604.

    Google Scholar 

  • IPCC. (2013). Climate change 2013: the physical science basis: contribution of working group I to the fifth assessment report of the intergovernmental panel on climate change. Cambridge University Press.

  • Iran Meteorological Organization. (2018). Climate data including daily precipitation, temperature and solar radiation from 2007–2016 for Lali synoptic station in Excel Format.

  • Jakeman, A. J., & Hornberger, G. M. (1993). How much complexity is warranted in a rainfall runoff model? Water Resources Research, 29, 2637–2649.

    Google Scholar 

  • Jalalkamali, A., Sedghi, H., & Mansouri, M. (2011). Monthly groundwater level prediction using ANN and neuro-fuzzy models: a case study on Kerman plain, Iran. Journal of Hydroinformatics, 13(4), 867–876.

    Google Scholar 

  • Jia, S., Zhu, W., Lu, A., & Yan, T. (2011). A statistical spatial downscaling algorithm of TRMM precipitation based on NDVI and DEM in the Qaidam Basin of China. Remote Sensing of Environment, 115, 3069–3079.

    Google Scholar 

  • Khouzestan Water and Power Authority. (2005). Semi-analytical report of hydrogeology of Lali.

  • Knutti, R., Masson, D., & Gettelman, A. (2013). Climate model genealogy: generation CMIP5 and how we got there. Geophysical Research Letters, 40(6), 1194–1199.

    Google Scholar 

  • Kohzadi, N., Boyd, M. S., Kaastra, I., Kermanshahi, B. S., & Scuse, D. (1995). Neural networks for forecasting: an introduction. Canadian Journal of Agricultural Economics, 43(3), 463–474.

    Google Scholar 

  • Lallahem, S., Mania, J., Hani, A., & Najjar, Y. (2005). On the use of neural networks to evaluate groundwater levels in fractured media. Journal of Hydrology, 307(1–4), 92–111.

    Google Scholar 

  • Lu, J., Jia, L., Menenti, M., Yan, Y., Zheng, C., & Zhou, J. (2018). Performance of the standardized precipitation index based on the TMPA and CMORPH precipitation products for drought monitoring in China. IEEE Journal of Selected Topics in Applied Earth Observations and Remote Sensing, 11, 1387–1396. https://doi.org/10.1109/JSTARS.2018.2810163.

    Article  Google Scholar 

  • Ma, T., Wang, Y., & Guo, Q. (2004). Response of carbonate aquifer to climate change in northern China: a case study at the Shentou karst springs. Journal of Hydrology, 297(1–4), 274–284.

    CAS  Google Scholar 

  • Ma, C., Pan, S., Wang, G., Liao, Y., & Xu, Y. P. (2016). Changes in precipitation and temperature in Xiangjiang River Basin, China. Theoretical Applied Climatology, 123, 859–871.

    Google Scholar 

  • Maier, H. R., & Dandy, G. C. (1998). Understanding the behaviour and optimising the performance of back-propagation neural networks: an empirical study. Environmental Modelling and Software, 13(2), 179–191.

    Google Scholar 

  • Maier, H. R., Dandy, G. C. (2000). Neural networks for the prediction and forecasting of water resources variables: a review of modelling issues and applications. Environmental Modelling and Software, 15(1), 101–124.

  • Masson, D., & Knutti, R. (2011). Spatial-scale dependence of climate model performance in the CMIP3 ensemble. Journal of Climate, 24(11), 2680–2692.

    Google Scholar 

  • Masters, T., & Schwartz, M. (1994). Practical neural network recipes in C++. IEEE Transactions on Neural Networks, 5(5), 853–853.

    Google Scholar 

  • Maurer, E. P., & Hidalgo, H. G. (2007). Utility of daily vs. monthly large-scale climate data: an intercomparison of two statistical downscaling methods. Hydrology and Earth System Sciences Discussions, 4,(5), 3413–3440.

  • Meinshausen, M., Smith, S. J., Calvin, K., Daniel, J. S., Kainuma, M. L. T., Lamarque, J. F. , Matsumoto, K., Montzka, S. A., Raper, S. C. B., Riahi, K., Thomson, A., Velders, G. J. M., & van Vuuren, D. P. P. (2011). The RCP greenhouse gas concentrations and their extensions from 1765 to 2300. Climatic Change, 109(1–2), 213–241.

  • Milanovic, P. T. (1981). Karst hydrogeology (434p). Water Resources Publications.

  • Moeck, C., Brunner, P., & Hunkeler, D. (2016). The influence of model structure on groundwater recharge rates in climate-change impact studies. Hydrogeology Journal, 24(5), 1171–1184.

    Google Scholar 

  • Mohammadi, B., & Masoudian, S. A. (2010). Synoptic analysis of heavy precipitation events in Iran. Geography and Development, 8(19), 47–70 [in Persian].

    Google Scholar 

  • Mohammadi, H., Fatahi, A., Shamsipour, A. A., & Akbari, M. (2013). The dynamical analysis of Sudanese air masses and heavy precipitation events in Southwest Iran. Applied Investigations of Geographic Sciences, 12(24), 7–24 [in Persian].

    Google Scholar 

  • Mohanty, S., Jha, M. K., Raul, S. K., Panda, R. K., & Sudheer, K. P. (2015). Using artificial neural network approach for simultaneous forecasting of weekly groundwater levels at multiple sites. Water Resources Management, 29, 5521–5532.

    Google Scholar 

  • Morrissey, P., Gill, L., Naughton, O., McCromack, T., & Johnston, P. (2018). Groundwater flood modelling in the karst lowlands of South Galway. Irish National Hydrology Conference, 2018, 100–115.

    Google Scholar 

  • Nassery, H. (1992). Hydrogeology study of karstic springs in Doroudzan dam basin. (master thesis), Shiraz University, Iran.

  • Nassery, H. R., Salami, H., & Bavani, A. M. (2016). Adaptation strategies in alluvial aquifer under future climate change (case study: Hamadan aquifer, west of Iran). 7th international Water resources management conference of ICWRS, Bochum, Germany.

  • Nielsen, R. H. (1987). Counterpropagation networks. Applied Optics, 26(23), 4979–4984.

    Google Scholar 

  • Nourani, V., Alami, M. T., & Vousoughi, F. D. (2015). Wavelet-entropy data pre-processing approach for ANN-based groundwater level modeling. Journal of Hydrology, 524, 255–269.

    Google Scholar 

  • Pla, C., Valdes-Abellan, J., Tenza-Abril, A. J., & Benavente, D. (2016). Predicting daily water table fluctuations in karstic aquifers from GIS-based modelling, climatic settings and extraction wells. Water Resources Management, 30(7), 2531–2545.

    Google Scholar 

  • Pollacco, J. A. P., Ugalde, J. M. S., Angulo-Jaramillo, R., Braud, I., & Saugier, B. (2008). A linking test to reduce the number of hydraulic parameters necessary to simulate groundwater recharge in unsaturated zone. Advances in Water Resources, 31(2), 355–369.

    Google Scholar 

  • Raghavan, S. V., Hur, J., & Liong, S. (2018). Evaluations of NASA NEX-GDDP data over Southeast Asia: present and future climates. Climatic Change, 148, 503–518.

    Google Scholar 

  • Refsgaard, J. C. (1996). Model and data requirements for simulation of runoff and land surface processes in relation to global circulation models. Global environmental change and land surface processes in hydrology: the trial and tribulations of modelling and measuring. In: Sorooshian, S., Gupta, H., & Rodda, J. (Eds.), NATO ASI, Springer-Verlag, New York, 1(46), 423–445.

    Google Scholar 

  • Sahoo, S., Russo, T. A., Elliott, J., & Foster, I. (2017). Machine learning algorithms for modeling groundwater level changes in agricultural regions of the U.S. Water Resources Research, 53, 3878–3895.

    Google Scholar 

  • Semenov, M. A., & Stratonovitch, P. (2015). Adapting wheat ideotypes for climate change: accounting for uncertainties in CMIP5 climate projections. Climate Research, 65, 123–139.

    Google Scholar 

  • Sheffield, J., Goteti, G., & Wood, E. F. (2006). Development of a 50-year high-resolution global dataset of meteorological forcings for land surface modeling. Journal of Climate, 19(13), 3088–3111.

    Google Scholar 

  • Smiatek, G., Kaspar, S., & Kunstmann, H. (2013). Hydrological climate change impact analysis for the Figeh spring near Damascus, Syria. Journal of Hydrometeorology, 14(2), 577–593.

    Google Scholar 

  • Sun, Y., Wendi, D., Kim, D. E., & Liong, S. Y. (2016). Technical note: application of artificial neural networks in groundwater level forecasting- a case study in a Singapore swamp forest. Hydrology and Earth System Sciences, 20, 1405–1412.

    Google Scholar 

  • Swingler, K. (1996). Applying neural networks: a practical guide. Morgan Kaufmann publishing 303p.

  • Tapoglou, E., Trichakis, I. C., Dokou, Z., Nikolos, I. K., & Karatzas, G. P. (2014). Groundwater-level forecasting under climate change scenarios using an artificial neural network trained with particle swarm optimization. Hydrological Sciences, 59(6), 1225–1239.

    Google Scholar 

  • Taylor, R. G., Scanlon, B., Döll, P., Rodell, M., Beek, R. V., Wada, Y., Longuevergne, L., LeBlanc, M., Famiglietti, J., Edmunds, M., Konikow, L., Green, T. R., Chen, J., Taniguchi, M., Birkens, M. F. P., Macdonald, A., Fan, Y., Maxwell, R. M., Yechieli, Y., Gurdak, J. J., Allen, D. M., Shamsudduha, M., Hiscock, K., Yeh, P. J. F., Holman, I., & Treidel, H. (2013). Groundwater and climate change. Nature Climate Change, 3(4), 322–329.

    Google Scholar 

  • Thrasher, B., & Nemani, R. (2015). NEX-GDDP technical note version 1. Washington D. C.

  • Thrasher, B., Maurer, E. P., McKellar, C., & Duffy, P. B. (2012). Technical note: bias correcting climate model simulated daily temperature extremes with quantile mapping. Hydrology and Earth System Sciences, 16, 3309–3314.

    Google Scholar 

  • Toth, E., Brath, A., & Montanari, A. (2000). Comparison of short-term rainfall prediction models for real-time flood forecasting. Journal of Hydrology, 239(1–4), 132–147.

    Google Scholar 

  • Trichakis, I. C., Nikolos, I. K., & Karatzas, G. P. (2011). Artificial neural network (ANN) based modeling for karstic groundwater level simulation. Water Resources Management, 25(4), 1143–1152.

    Google Scholar 

  • Trotochaud, J., Flanagan, D. C., & Engel, B. A. (2016). A simple technique for obtaining future climate data inputs for natural resource models. Applied Engineering in Agriculture, 32, 371–381.

    Google Scholar 

  • Tsanis, I. K., Coulibaly, P., & Daliakopoulos, I. N. (2008). Improving groundwater level forecasting with a feedforward neural network and linearly regressed projected precipitation. Journal of Hydroinformatics, 10(4), 317–330.

    Google Scholar 

  • Uddameri, V. (2007). Using statistical and artificial neural network models to forecast potentiometric levels at a deep well in South Texas. Environmental Geology, 51(6), 885–895.

    Google Scholar 

  • Wilby, R. L., & Wigley, T. (1997). Downscaling general circulation model output: a review of methods and limitations. Progress in Physical Geography, 21, 530–548.

    Google Scholar 

  • Wilby, R. L., Troni, J., Biot, Y., Tedd, L., Hewitson, B. C., Smith, D. M., & Sutton, R. T. (2009). A review of climate risk information for adaptation and development planning. International Journal of Climatology: A Journal of the Royal Meteorological Society, 29, 1193–1215.

    Google Scholar 

  • Wood, A. W., Maurer, E. P., Kumar, A., & Lettenmaier, D. P. (2002). Long-range experimental hydrologic forecasting for the eastern United States. Journal of Geophysical Research, 107 (D20).

  • Wood, A. W., Leung, L. R., Sridhar, V., & Lettenmaier, D. P. (2004). Hydrologic implications of dynamical and statistical approaches to downscaling climate model outputs. Climatic Change, 15, 189–216.

  • Yoon, H., Hyun, Y., Ha, K., Lee, K., & Kim, G. (2016). A method to improve the stability and accuracy of ANN-and SVM-based time series models for longterm groundwater level predictions. Computers and Geosciences. https://doi.org/10.1016/j.cageo.2016.03.002.

Download references

Acknowledgments

The authors would like to thank Khouzestan Water and Power Authority for providing Bibitarkhoun spring data. We thank the editor and three anonymous reviewers for their constructive comments on the earlier manuscript, which lead to the improvement of the article.

Author information

Affiliations

Authors

Corresponding author

Correspondence to Hamid Reza Nassery.

Additional information

Publisher’s note

Springer Nature remains neutral with regard to jurisdictional claims in published maps and institutional affiliations.

Rights and permissions

Reprints and Permissions

About this article

Verify currency and authenticity via CrossMark

Cite this article

Zeydalinejad, N., Nassery, H.R., Shakiba, A. et al. Prediction of the karstic spring flow rates under climate change by climatic variables based on the artificial neural network: a case study of Iran. Environ Monit Assess 192, 375 (2020). https://doi.org/10.1007/s10661-020-08332-z

Download citation

  • Received:

  • Accepted:

  • Published:

  • DOI: https://doi.org/10.1007/s10661-020-08332-z

Keywords

  • NEX-GDDP
  • Climate change
  • Bibitarkhoun karstic spring
  • ANN