Skip to main content

Estimation of monthly surface air temperatures from MODIS LST time series data: application to the deserts in the Sultanate of Oman

Abstract

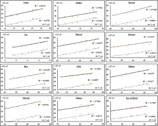
Air temperature records in remote deserts and inaccessible mountainous regions rely upon data acquired from the nearest meteorological stations, which could be at tens of kilometers apart. The present study provides a reliable approach to extract air temperatures for any distant region using thermal data of satellite images. The study postulates that if there is a strong correlation between land surface temperatures (LST) from satellite images and air temperature records from ground meteorological stations, hence, air temperatures (day/night) could be directly extrapolated from regression equations with high confidence results. Data utilized in this study were obtained from 12 meteorological stations settled and distributed upon different physiographic units of Oman. Satellite images were acquired from the Moderate Resolution Imaging Spectroradiometer (MODIS) LST product. Regression analysis of max and min air temperatures from weather stations was conducted versus day and night LST from MODIS Aqua LST (MYD11A2) images. Results showed that the regression coefficients for the selected locations are strong for the night/min (R2 = 0.81–0.94) and day/max (R2 = 0.72–0.92) correlations of the 12 stations. The root mean square errors (RMSE) of the statistical models are 0.97 and 1.98 for the night and day temperatures, respectively. Moreover, the association between each pair of the data is significant at the 99% level (p < 0.01). As MODIS data cover large geographic extents, it was possible to produce national diurnal and annual air temperature maps of accurate records with considering the variation of the physiographic setting.

This is a preview of subscription content, access via your institution.

Fig. 1
Fig. 2
Fig. 3
Fig. 4
Fig. 5
Fig. 6
Fig. 7
Fig. 8

References

  • Al Hatmi, Y., Tan, C. S., Al Badi, A., & Charabi, Y. (2014). Assessment of the consciousness levels on renewable energy resources in the Sultanate of Oman. Renewable and Sustainable Energy Reviews, 40, 1081–1089.

    Article  Google Scholar 

  • Al-Hatrushi, S. (2012). Climate of the Sultanate of Oman: scientific basis approach and detection of the main indicators of climate change. The Egyptian Journal of Climate Change, 4, 8–19.

  • Aw, J., & Kleeman, M. J. (2003). Evaluating the first-order effect of intraannual temperature variability on urban air pollution. Journal of Geophysical Research, [Atmospheres], 108 (D12), 4365. https://doi.org/10.1029/2002JD002688

  • Bailey, R. G. (1996). Ecosystem geography. New York: Springer. https://doi.org/10.1007/978-1-4612-2358-0.

    Book  Google Scholar 

  • Bechtel, B., Zakšekb, K., Oßenbrüggea, J., Kaveckisa, G., & Böhnera, J. (2017). Towards a satellite based monitoring of urban air temperatures. Sustainable Cities and Society, 34, 22–31.

    Article  Google Scholar 

  • Benali, A., Carvalho, A., Nunes, J., Carvalhais, N., & Santos, A. (2012). A estimating air surface temperature in Portugal using MODIS LST data. Remote Sensing of Environment, 124, 108–121.

    Article  Google Scholar 

  • Bustos, E., & Meza, F. J. (2015). A method to estimate maximum and minimum air temperature using MODIS surface temperature and vegetation data: application to the Maipo Basin, Chile. Theoretical and Applied Climatology, 120, 211–226.

    Article  Google Scholar 

  • Charabi, Y., & Al-Hatrushi, S. (2010). Synoptic aspects of winter rainfall variability in Oman. Atmospheric Research, 95, 470–486.

    Article  Google Scholar 

  • Charabi, Y., Gastli, A., & Al-Yahyai, S. (2016). Production of solar radiation bankable datasets from high-resolution solar irradiance derived with dynamical downscaling Numerical Weather prediction model. Energy Reports, 2, 67–73.

    Article  Google Scholar 

  • Chen, Y., Sun, H., & Li, J. (2016). Estimating daily maximum air temperature with MODIS data and a daytime temperature variation model in Beijing urban area. Remote Sensing Letters, 7(9), 865–874.

    Article  Google Scholar 

  • Flores, F., & Lillo, M. (2010). Simple air temperature estimation method from MODIS satellite images on a regional scale. Chilean Journal of Agricultural Research, 70, 436–445.

    Google Scholar 

  • Futcher, J. A., Kershaw, T., & Mills, G. (2013). Urban form and function as building performance parameters. Building and Environment, 62, 112–123.

    Article  Google Scholar 

  • Hereher, M. (2010). Sand movement patterns in the Western Desert of Egypt: an environmental concern. Environmental Earth Sciences, 59, 1119–1127.

    Article  Google Scholar 

  • Hereher, M. (2017). Retrieving spatial variations of land surface temperatures from satellite data–Cairo region, Egypt. Geocarto International, 32, 556–568.

    Article  Google Scholar 

  • Justice, C., Townshend, J., Vermote, E., Masuoka, E., Wolfe, R., Saleous, N., Roy, D., & Morisette, J. (2002). An overview of MODIS land data processing and product status. Remote Sensing of Environment, 83, 3–15.

    Article  Google Scholar 

  • Kwarteng, A., Dorvlob, A., & Kumara, G. (2009). Analysis of a 27-year rainfall data (1977–2003) in the Sultanate of Oman. International Journal of Climatology, 29, 605–617.

    Article  Google Scholar 

  • Li, Q., Zhang, H., Liu, X., & Huang, J. (2004). Urban heat island effect on annual mean temperature during the last 50 years in China. Theoretical and Applied Climatology, 79, 165–174.

    Article  Google Scholar 

  • Marquínez, J., Lastra, J., & García, P. (2003). Estimation models for precipitation in mountainous regions: the use of GIS and multivariate analysis. Journal of Hydrology, 270, 1–11.

    Article  Google Scholar 

  • Mayer, H. (1999). Air pollution in cities. Atmospheric Environment, 33, 4029–4037.

    CAS  Article  Google Scholar 

  • Monteith, J. L. (1981). Evaporation and surface temperature. Quaternary Journal of the Royal Meteorological Society, 107, 1–27.

    Article  Google Scholar 

  • Mutiibwa, D., Strachan, S., & Albright, T. (2015). Land surface temperature and surface air temperature in complex terrain. IEEE Journal of Selected Topics in Applied Earth Observations and Remote Sensing, 8, 4762–4774.

    Article  Google Scholar 

  • Noi, F., Kappas, M., & Degener, J. (2016). Estimating daily maximum and minimum land air surface temperature using MODIS land surface temperature data and ground truth data in northern Vietnam. Remote Sensing, 8, 1002 (24 p.).

    Article  Google Scholar 

  • Prihodko, L., & Goward, S. N. (1997). Estimation of air temperature from remotely sensed surface observations. Remote Sensing of Environment, 60(3), 335–346.

    Article  Google Scholar 

  • Snyder, W. C., Wan, Z., Zhang, Y., & Feng, Y. Z. (1998). Classification-based emissivity for land surface temperature measurement from space. International Journal of Remote Sensing, 19(14), 2753–2774.

    Article  Google Scholar 

  • Tucker, C. (1979). Red and photographic infrared linear combination for monitoring green vegetation. Remote Sensing of Environment, 8, 127–150.

    Article  Google Scholar 

  • Vancutsem, C., Ceccato, P., Dinku, T., & Connor, S. J. (2010). Evaluation of MODIS land surface temperature data to estimate air temperature in different ecosystems over Africa. Remote Sensing of Environment, 114, 449–465.

    Article  Google Scholar 

  • Vogt, J. V., Viau, A. A., & Paquet, F. (1997). Mapping regional air temperature fields using satellite-derived surface skin temperatures. International Journal of Climatology, 17, 1559–1579.

    Article  Google Scholar 

  • Wan, Z., & Dozier, J. (1996). A generalized split-window algorithm for retrieving land surface temperature from space. IEEE Transactions on Geoscience and Remote Sensing, 34, 892–905.

    Article  Google Scholar 

  • Wenbin, Z., Aifeng, L., & Shaofeng, J. (2013). Estimation of dailymaximum andminimumair temperature using MODIS land surface temperature products. Remote Sensing of Environment, 130, 62–73.

    Article  Google Scholar 

  • Yang, Y., Cai, W., & Yang, J. (2017). Evaluation of MODIS land surface temperature data to estimate near-surface air temperature in Northeast China. Remote Sensing, 9, 410.

    Article  Google Scholar 

  • Yoo, C., Im, J., Park, S., & Quackenbush, L. (2018). Estimation of daily maximum and minimum air temperatures in urban landscapes using MODIS time series satellite data. ISPRS Journal of Photogrammetry and Remote Sensing, 137, 149–162.

    Article  Google Scholar 

  • Zhang, H., Zhang, F., Zhang, G., Ma, Y., Yang, K., & Ye, M. (2018). Daily air temperature estimation on glacier surfaces in the Tibetan Plateau using MODIS LST data. Journal of Glaciology, 64(243), 132–147.

    Article  Google Scholar 

  • Zhu, W., Lu, A., & Jia, S. (2013). Estimation of daily maximum and minimum air temperature using MODIS land surface temperature products. Remote Sensing of Environment, 130, 62–73.

    Article  Google Scholar 

Download references

Acknowledgments

The author would like to thank Dr. Yassine Al Charaabi, Geography Dept., Sultan Qaboos University, Oman for providing temperature records of the weather stations utilized in this study. The author also appreciates the revisions of two anonymous reviewers for the comments and notes they provided to improve the manuscript.

Funding

This research is financially supported by the Sultan Qaboos University, Sultanate of Oman, HM Project # SR/ART/GEOG/17/01.

Author information

Affiliations

Authors

Corresponding author

Correspondence to Mohamed E. Hereher.

Additional information

Publisher’s note

Springer Nature remains neutral with regard to jurisdictional claims in published maps and institutional affiliations.

Rights and permissions

Reprints and Permissions

About this article

Verify currency and authenticity via CrossMark

Cite this article

Hereher, M.E. Estimation of monthly surface air temperatures from MODIS LST time series data: application to the deserts in the Sultanate of Oman. Environ Monit Assess 191, 592 (2019). https://doi.org/10.1007/s10661-019-7771-y

Download citation

  • Received:

  • Accepted:

  • Published:

  • DOI: https://doi.org/10.1007/s10661-019-7771-y

Keywords

  • Oman
  • Air temperatures
  • MODIS
  • LST