Skip to main content

Investigating the effect of several factors on concentrations of bioaerosols in a well-ventilated hospital environment

Abstract

This study characterized and quantified the bacterial and fungal bioaerosols in nine wards of the Razavi Hospital (Mashhad, Iran) that is equipped with an advanced heating, ventilating, and air conditioning (HVAC) system including HEPA filters for air cleaning. In this study, 432 samples were taken from the indoor air of multiple hospital wards during the morning and afternoon shifts during summer and autumn. The particle number concentrations with sizes of > 0.3, > 0.5, > 1, > 2, > 5, and > 10 μm were measured using a 6-channel handheld particle counter. A greater diversity of bioaerosol types were observed during the morning shifts and during summer. The microbial load was not affected significantly by the temperature, relative humidity, working shift, season, and number of visitors, indicating the effectiveness of a well-designed ventilation system to eliminate site-specific variations. For microbial number concentrations, a significant correlation was only observed between the number of particles with a diameter of > 10 μm and the airborne microbial loading. Thus, passive sampling may not properly reflect the actual concentrations of smaller bioaerosols. In conclusion, HEPA filters in the HVAC system successfully decreased the bioaerosol concentrations in the hospital environment. Additionally, we recommend that active sampling be used in cases where a well-functioning HVAC system exists.

This is a preview of subscription content, access via your institution.

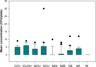
Fig. 1

References

  • Abdolahi, A., & Mehrazma, M. (2009). Concurrence of nosocomial infections with microorganisms spreading in the air of hospital wards (In Persian). Medical Laboratory Journal, 3(2), 1–9.

    Google Scholar 

  • Armadans-Gil, L., Rodríguez-Garrido, V., Campins-Martí, M., Gil-Cuesta, J., & Vaqué-Rafart, J. (2013). Particle counting and microbiological air sampling: results of the simultaneous use of both procedures in different types of hospital rooms. Enfermedades Infecciosas y Microbiología Clínica, 31(4), 217–221.

    Article  Google Scholar 

  • Bakhtiari, R., Hadei, M., Hopke, P. K., Shahsavani, A., Rastkari, N., Kermani, M., Yarahmadi, M., & Ghaderpoori, A. (2018). Investigation of in-cabin volatile organic compounds (VOCs) in taxis; influence of vehicle’s age, model, fuel, and refueling. Environmental Pollution, 237, 348–355. https://doi.org/10.1016/j.envpol.2018.02.063.

    CAS  Article  Google Scholar 

  • Blais-Lecours, P., Perrott, P., & Duchaine, C. (2015). Non-culturable bioaerosols in indoor settings: impact on health and molecular approaches for detection. Atmospheric Environment, 110, 45–53.

    CAS  Article  Google Scholar 

  • Bolookat, F., Hassanvand, M. S., Faridi, S., Hadei, M., Rahmatinia, M., & Alimohammadi, M. (2018). Assessment of bioaerosol particle characteristics at different hospital wards and operating theaters: a case study in Tehran. MethodsX, 5, 1588–1596. https://doi.org/10.1016/j.mex.2018.11.021.

    Article  Google Scholar 

  • Burge, H. A., & Hoyer, M. E. (1990). Focus on… indoor air quality. Applied Occupational and Environmental Hygiene, 5(2), 84–93.

    CAS  Article  Google Scholar 

  • Dehdashti, A., Sahranavard, N., Rostami, R., Barkhordari, A., & Banayi, Z. (2013). Survey of bioaerosols type and concentration in the ambient air of hospitals in Damghan, Iran. Occupational Medicine Quarterly Journal, 4(3), 41–51.

    Google Scholar 

  • Edwards, M. R., Bartlett, N. W., Hussell, T., Openshaw, P., & Johnston, S. L. (2012). The microbiology of asthma. Nature reviews. Microbiology, 10(7), 459–471.

    CAS  Article  Google Scholar 

  • Ekhaise, F., Ighosewe, O., & Ajakpovi, O. (2008). Hospital indoor airborne microflora in private and government owned hospitals in Benin City, Nigeria. World J Med Sci, 3(1), 19–23.

    Google Scholar 

  • Fang, Z., Ouyang, Z., Zheng, H., Wang, X., & Hu, L. (2007). Culturable airborne bacteria in outdoor environments in Beijing, China. Microbial Ecology, 54(3), 487–496.

    Article  Google Scholar 

  • Faridi, S., Naddafi, K., Kashani, H., Nabizadeh, R., Alimohammadi, M., Momeniha, F., et al. (2017). Bioaerosol exposure and circulating biomarkers in a panel of elderly subjects and healthy young adults. Science of the Total Environment, 593, 380–389.

    Article  Google Scholar 

  • French, M., Eitzen, H. E., Ritter, M., & Leland, D. S. (1980). Environmental control of microbial contamination in the operating room. Wound healing and wound infection, 2, 254–261.

  • Ghasemian, A., Khodaparast, S., Moghadam, F. S., Nojoomi, F., & Vardanjani, H. R. (2016). Types and levels of bioaerosols in healthcare and community indoor settings in Iran. Avicenna Journal of Clinical Microbiology and Infection, 4(1), 32–41.

    Article  Google Scholar 

  • Ghosh, B., Lal, H., & Srivastava, A. (2015). Review of bioaerosols in indoor environment with special reference to sampling, analysis and control mechanisms. Environment International, 85, 254–272.

    Article  Google Scholar 

  • Goudarzi, G., Soleimani, Z., Sadeghinejad, B., Alighardashi, M., Latifi, S. M., & Moradi, M. (2017). Visiting hours impact on indoor to outdoor ratio of fungi concentration at Golestan University Hospital in Ahvaz, Iran. Environment and Pollution, 6(1), 62.

    CAS  Article  Google Scholar 

  • Hadei, M., Hopke, P. K., Rafiee, M., Rastkari, N., Yarahmadi, M., Kermani, M., & Shahsavani, A. (2018). Indoor and outdoor concentrations of BTEX and formaldehyde in Tehran, Iran: effects of building characteristics and health risk assessment. Environmental Science and Pollution Research, 25(27), 27423–27437. https://doi.org/10.1007/s11356-018-2794-4.

    CAS  Article  Google Scholar 

  • Haig, C., Mackay, W., Walker, J., & Williams, C. (2016). Bioaerosol sampling: sampling mechanisms, bioefficiency and field studies. Journal of Hospital Infection, 93(3), 242–255.

    CAS  Article  Google Scholar 

  • Hansen, D., Blahout, B., Benner, D., & Popp, W. (2008). Environmental sampling of particulate matter and fungal spores during demolition of a building on a hospital area. J Hosp Infect, 70(3), 259–264. https://doi.org/10.1016/j.jhin.2008.07.010.

    CAS  Article  Google Scholar 

  • He, C., Mackay, I. M., Ramsay, K., Liang, Z., Kidd, T., Knibbs, L. D., et al. (2017). Particle and bioaerosol characteristics in a paediatric intensive care unit. Environment International, 107, 89–99.

    CAS  Article  Google Scholar 

  • Heshmatollah Nourmoradi, M. N., Amin, M. M., & Hatamzadeh, M. (2011). An investigation on bio-aerosol concentrations in the different wards of hospitals of Isfahan University of Medical Sciences. Journal of Isfahan Medical School, 29(149), 65–71.

    Google Scholar 

  • Hinds, W. C. (2012). Aerosol technology: properties, behavior, and measurement of airborne particles. United States. Hoboken: John Wiley & Sons.

    Google Scholar 

  • Huang, P.-Y., Shi, Z.-Y., Chen, C.-H., Den, W., Huang, H.-M., & Tsai, J.-J. (2013). Airborne and surface-bound microbial contamination in two intensive care units of a medical center in central Taiwan. Aerosol Air Qual. Res, 13, 1060–1069.

    Article  Google Scholar 

  • Hwang, S. H., Park, D. U., Ha, K. C., Cho, H. W., & Yoon, C. S. (2011). Airborne bacteria concentrations and related factors at university laboratories, hospital diagnostic laboratories and a biowaste site. Journal of Clinical Pathology, 64(3), 261–264. https://doi.org/10.1136/jcp.2010.084764.

    Article  Google Scholar 

  • Iran’s Environmental and Occupational Health Center. (2014). Manual of ventilation system in hospitals. Tehran. In Iran: Ministry of Health and Medicine Education.

    Google Scholar 

  • Kim, K.-Y., Kim, H.-T., Kim, D., Nakajima, J., & Higuchi, T. (2009). Distribution characteristics of airborne bacteria and fungi in the feedstuff-manufacturing factories. Journal of Hazardous materials, 169(1), 1054–1060.

    CAS  Article  Google Scholar 

  • King, M. F., Noakes, C. J., Sleigh, P. A., & Camargo-Valero, M. A. (2013). Bioaerosol deposition in single and two-bed hospital rooms: a numerical and experimental study. Building and Environment, 59, 436–447. https://doi.org/10.1016/j.buildenv.2012.09.011.

    Article  Google Scholar 

  • Malakootian, M., & Gharghani, M. A. (2016). Investigation of type and density of bio-aerosols in air samples from educational hospital wards of Kerman city, 2014. Environmental Health Engineering and Management Journal, 2(4), 12–19.

    Google Scholar 

  • Mirhoseini, S. H., Nikaeen, M., Khanahmd, H., Hatamzadeh, M., & Hassanzadeh, A. (2015). Monitoring of airborne bacteria and aerosols in different wards of hospitals-particle counting usefulness in investigation of airborne bacteria. Annals of agricultural and environmental medicine: AAEM, 22(4), 670–673.

    CAS  Article  Google Scholar 

  • Nasir, Z. A., & Taylor, J. (2014). Bioaerosols and hospital infections. Aerosol Science: Technology and Applications, 271–289.

  • New York City Department of Health and Mental Hygiene. (2008). Guidelines on assessment and remediation of fungi in indoor environments. In United States New York City Department of Health and Mental Hygiene.

    Google Scholar 

  • Nimra, A., Ali, Z., Khan, M., Gulshan, T., Sidra, S., Gardezi, J., et al. (2015). Comparative ambient and indoor particulate matter analysis of operation theatres of government and private (trust) hospitals of Lahore, Pakistan. Journal of Animal and Plant Sciences, 25(3), 628–635.

    Google Scholar 

  • Obbard, J. P., & Fang, L. S. (2003). Airborne concentrations of bacteria in a hospital environment in Singapore. Water, Air, and Soil Pollution, 144(1), 333–341. https://doi.org/10.1023/A:1022973402453.

    CAS  Article  Google Scholar 

  • Park, D.-U., Yeom, J.-K., Lee, W., & Lee, K.-M. (2013). Assessment of the levels of airborne bacteria, gram-negative bacteria, and fungi in hospital lobbies. International Journal of Environmental Research and Public Health, 10(2), 541–555.

    Article  Google Scholar 

  • Pasquarella, C., Pitzurra, O., & Savino, A. (2000). The index of microbial air contamination. Journal of Hospital Infection, 46(4), 241–256.

    CAS  Article  Google Scholar 

  • Perrino, C., & Marcovecchio, F. (2016). A new method for assessing the contribution of primary biological atmospheric particles to the mass concentration of the atmospheric aerosol. Environment International, 87, 108–115.

    CAS  Article  Google Scholar 

  • Qudiesat, K., Abu-Elteen, K., Elkarmi, A., Hamad, M., & Abussaud, M. (2009). Assessment of airborne pathogens in healthcare settings. African Journal of Microbiology Research, 3(2), 66–76.

    Google Scholar 

  • Ritu Vishwakarma, L. B. (2010). Hospital indoor airborne microflora in private and government owned hospitals in Sagar City, India. World Journal of Medical Sciences, 5(3), 65–70.

    Google Scholar 

  • Sautour, M., Sixt, N., Dalle, F., L’Ollivier, C., Calinon, C., Fourquenet, V., et al. (2007). Prospective survey of indoor fungal contamination in hospital during a period of building construction. Journal of Hospital Infection, 67(4), 367–373.

    CAS  Article  Google Scholar 

  • Shams, A. A., Niknam, N., Jabbari, A., Zadeh, A. H., Mengelizadeh, N., Ayoub, G. S., et al. (2014). Assessment of safety management in different wards of AL Zahra hospital in Isfahan city in 2013. Journal of Health Management and Informatics, 1(4), 17–24.

    Google Scholar 

  • Sudharsanam, S., Srikanth, P., Sheela, M., & Steinberg, R. (2008). Study of the indoor air quality in hospitals in South Chennai, India—microbial profile. Indoor and Built Environment, 17(5), 435–441.

    Article  Google Scholar 

  • Verde, S. C., Almeida, S. M., Matos, J., Guerreiro, D., Meneses, M., Faria, T., et al. (2015). Microbiological assessment of indoor air quality at different hospital sites. Research in Microbiology, 166(7), 557–563.

    Article  Google Scholar 

  • WHO. (1988). Indoor air quality: biological contaminants. In World Health Organization. Copenhagen: Denmark.

    Google Scholar 

  • WHO. (2009). WHO guidelines on hand hygiene in health care. In Technical report. Geneva: World Health Organization.

    Google Scholar 

  • Yarahmadi, M., Yunesian, M., Pourmand, M. R., Shahsavani, A., Mubedi, I., Nomanpour, B., et al. (2012). Evaluating the efficiency of lettuce disinfection according to the official protocol in Iran. Iranian Journal of Public Health, 41(3), 95–103.

    CAS  Google Scholar 

  • Yu, Y., Yin, S., Kuan, Y., Xu, Y., & Gao, X. (2015). Characteristics of airborne micro-organisms in a neurological intensive care unit: results from China. Journal of International Medical Research, 43(3), 332–340.

    Article  Google Scholar 

Download references

Acknowledgments

The authors wish to thank Shahid Beheshti University of Medical Sciences and Razavi Hospital for their cooperation.

Funding

This study was funded by Shahid Beheshti University of Medical Sciences (grant number 10609).

Author information

Affiliations

Authors

Corresponding author

Correspondence to Abbas Shahsavani.

Ethics declarations

Conflict of interest

The authors declare that they have no conflict of interest.

Additional information

Publisher’s note

Springer Nature remains neutral with regard to jurisdictional claims in published maps and institutional affiliations.

Rights and permissions

Reprints and Permissions

About this article

Verify currency and authenticity via CrossMark

Cite this article

Mousavi, M.S., Hadei, M., Majlesi, M. et al. Investigating the effect of several factors on concentrations of bioaerosols in a well-ventilated hospital environment. Environ Monit Assess 191, 407 (2019). https://doi.org/10.1007/s10661-019-7559-0

Download citation

  • Received:

  • Accepted:

  • Published:

  • DOI: https://doi.org/10.1007/s10661-019-7559-0

Keywords

  • Indoor air pollution
  • Nosocomial infections
  • Fungi
  • Bacteria
  • Particulate matter
  • CCU