Skip to main content

Effects of human-induced environmental changes on benthic macroinvertebrate assemblages of wetlands in Lake Tana Watershed, Northwest Ethiopia

Abstract

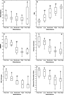
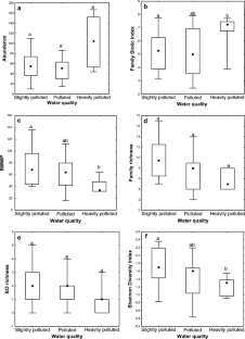
Wetlands of Lake Tana Watershed provide various ecological and socioeconomic functions. However, they are losing their vigor at alarming rate due to unwise management. Hence, there is an urgent need to monitor and assess these resources so as to identify the major drivers of its degradation and to provide information for management decisions. In this context, we aimed to assess the effects of human activities on macroinvertebrate assemblages of wetlands in Lake Tana Watershed. Biotic and abiotic data were collected from 46 sampling sites located in eight wetlands. A total of 2568 macroinvertebrates belonging to 46 families were recorded. Macroinvertebrate metrics such as Biological Monitoring Working Party score, Shannon diversity index, Ephemeroptera and odonata family richness, and total family richness portrayed a clear pattern of decreasing with increasing in human disturbances, whereas Family biotic index score, which is an indicator of organic pollution, increased with increasing in human disturbances. The regression analysis also revealed that livestock grazing, leather tanning, and eucalyptus plantation were important predictors of macroinvertebrate metrics (p < 0.05). In conclusion, human activities in and around the wetlands such as farming, leather tanning, solid waste dumping, and effluent discharges were contributed to the degradation of water quality and decreasing in the macroinvertebrate richness and diversity. These alterations could also reduce the availability of wetland products (sedges, craft materials, etc.) and the related ecosystem services. This in turn has an adverse effect on food security and poverty alleviation with considerable impact on communities who heavily depend on wetland products for their livelihood. Therefore, it is essential to formulate wetland policy for achieving wise use goals and necessary legal and institutional backup for sustainable wetland management in Ethiopia.

This is a preview of subscription content, access via your institution.

Fig. 1
Fig. 2
Fig. 3
Fig. 4

References

  • APHA. (1998). Standard methods for the analysis of wastewater (20th ed.). Washington, DC., USA: American Public Health Association.

    Google Scholar 

  • Adhilari, S., & Bajracharaya, S. (2009). A review of carbon dynamics and sequestration in wetlands. Journal of Wetland Ecology, 2, 2–46.

    Google Scholar 

  • Arimoro, F. O., & Muller, W. J. (2010). Mayfly (Insecta: Ephemeroptera) community structure as an indicator of the ecological status of a stream in the Niger Delta area of Nigeria. Environmental Monitoring and Assessment, 166, 581–594.

    CAS  Article  Google Scholar 

  • Atnafu, N., Dejen, E., & Vijverberg, J. (2011). Assessment of the ecological status and threats of Welala and Shesher wetlands, Lake tana Sub-Basin ( Ethiopia ). Journal of Water Resource and Protection, 3, 540–547.

    CAS  Article  Google Scholar 

  • Aynalem, S., & Bekele, A. (2008). Species composition, relative abundance and distribution of bird fauna of riverine and wetland habitats of Infranz and Yiganda at southern tip of Lake tana, Ethiopia. Tropical Ecology, 49, 199–209.

    Google Scholar 

  • Baldwin, D. S., Nielsen, D. L., Bowen, P. M., & Williams, J. (2005). Recommended Methods for Monitoring Floodplains and Wetlands. 1921038 20 9. (MDBC Publication No. 72/ 04)

  • Bouchard, R. W. (2012). Guide to Aquatic Invertebrate Families of Mongolia. Identification Manual for Students, Citizen Monitors, and Aquatic Resource Professionals. Minnesota, USA.

  • Cole, C. A. (2006). HGM and wetland functional assessment: Six degrees of separation from the data. Ecological Indicators, 6, 485–493.

    Article  Google Scholar 

  • Couceiro, S. R. M., Hamada, N., Luz, S. L. B., Forsberg, R. B., & Pimentel, T. P. (2007). Deforestation and sewage effects on aquatic macroinvertebrates in urban streams in Manaus, Amazonas, Brazil. Hydrobiologia, 575, 271–284.

    CAS  Article  Google Scholar 

  • Croel, R. C., & Kneitel, J. M. (2011). Cattle waste reduces plant diversity in vernal pool mesocosms. Aquatic Botany, 95, 140–145.

    Article  Google Scholar 

  • Cross, W. F., Wallace, J. B., Rosemond, A. D., & Eggert, S. L. (2006). Whole-system nutrient enrichment increases secondary productivity in a detritus-based ecosystem. Ecology, 87, 1556–1565.

    CAS  Article  Google Scholar 

  • Day, J. W., Westphal, A., Pratt, R., Hyfield, E., Rubczyk, J., Kemp, G. P., Day, J. N., & Marx, B. (2006). Effects of long-term municipal effluent discharge on the nutrient dynamics, production and benthic community structure of a tidal freshwater forested wetland in Louisiana. Ecological Engineering, 27, 242–257.

    Article  Google Scholar 

  • De Troyer, N., Mereta, S., Goethals, P., & Boets, P. (2016). Water quality assessment of streams and wetlands in a fast growing east African City. Water, 8(4), 123.

    Article  Google Scholar 

  • Dixon, A. B., & Wood, A. P. (2007). Local institutions for wetland management in Ethiopia: Sustainability and state intervention. In B. van Koppen, M. Giordano, & J. Butterworth (Eds.), Community-based water law and water resources management reform in developing countries. Comprehensive assessment of water Management in Agriculture Series 5. Wallingford, UK: CABI International.

    Google Scholar 

  • Feio, M. J., Almeida, S. F. P., Craveiro, S. C., & Calado, A. J. (2007). Diatoms and macroinvertebrates provide consistent and complimentary information on environmental quality. Hydrobiologia, 169, 247–258.

    Google Scholar 

  • Finlayson, C. M., & D’Cruz, R. (2005). Inland water Systems in Millennium Ecosystem Assessment, conditions and trends. Washington, D.C., USA: Island Press.

    Google Scholar 

  • Foote, A. L., & Hornung, C. L. R. (2005). Odonates as biological indicators of grazing effects on Canadian prairie wetlands. Ecological Entomology, 30, 273–283.

    Article  Google Scholar 

  • Gabriels, W., Lock, K., Pauw, N. D., & Goethals, P. L. M. (2010). Multimetric macroinvertebrate index Flanders ( MMIF ) for biological assessment of rivers and lakes in Flanders ( Belgium ). Limnologica, 40(3), 199–207.

    Article  Google Scholar 

  • Getachew, M., Ambelu, A., Tiku, S., Legesse, W., Adugna, A., & Kloos, H. (2012). Ecological assessment of Cheffa wetland in the Borkena Valley, Northeast Ethiopia: Macroinvertebrate and bird communities. Ecological Indicators, 15(1), 63–71.

    Article  Google Scholar 

  • Habib, S., & Yousuf, A. R. (2015). Effect of macrophytes on Phytophilous macroinvertebrate community: A review. Journal of Entomology and Zoology Studies, 3(6), 377–384.

    Google Scholar 

  • Hepp, L. U., & Santos, S. (2009). Benthic communities of streams related to different land uses in a hydrographic basin in southern Brazil. Enivironmental monitoring and Assessment, 157, 305–318.

    Article  Google Scholar 

  • Hepp, L. U., Milesi, S. V., Biasi, C., & Restello, R. M. (2010). Effects of agricultural and urban impacts on macroinvertebrates assemblages in streams (Rio Grande do Sul, Brazil ). Zoologia, 27(1), 106–113.

    Article  Google Scholar 

  • Hilsenhoff, W. L. (1988). Rapid field assessment of organic pollution with a family-level biotic index. Journal of the North American Benthological Society, 7(1), 65–68.

    Article  Google Scholar 

  • Hruby, T. (2004). Washington State wetland rating system for eastern Washington. Washington state department of ecology publication No 04–06-15.

  • Jacobs, A., Rogerson, A., Fillis, D., & Bason, C. (2009). Wetland condition of the inland bays watershed (Vol. 1). Dover, Delaware, USA: Delaware Department of Natural Resources and Environmental Control, Watershed Assessment Section.

    Google Scholar 

  • Justus, B. G., Petersen, J. C., Femmer, S. R., Davis, J. V., & Wallace, J. E. (2010). A comparison of algal, macroinvertebrate, and fish assemblage indices for assessing low-level nutrient enrichment in wadeable Ozark streams. Ecological Indicators, 10, 627–638.

    CAS  Article  Google Scholar 

  • Karr, J. R., & Chu, E. W. (1999). Restoring life in running waters: Better biological monitoring. Washington, DC: Island Press.

    Google Scholar 

  • Kasangaki, A., Babaasa, D., Efitre, J., Mcneilage, A., & Bitariho, R. (2006). Links between anthropogenic perturbations and benthic macroinvertebrate assemblages in Afromontane forest streams in Uganda. Hydrobiologia, 563, 231–245.

    Article  Google Scholar 

  • Kasangaki, A., Chapman, L. J., & Balirwa, J. (2008). Land use and the ecology of benthic macroinvertebrate assemblages of high-altitude rainforest streams in Uganda. Freshwater Biology, 53, 681–697.

    Article  Google Scholar 

  • Lücke, J. D., & Johnson, R. K. (2009). Detection of ecological change in stream macroinvertebrate assemblages using single metric, multimetric or multivariate approach. Ecological Indicators, 9, 659–669.

    Article  Google Scholar 

  • Lunde, K. B., & Resh, V. H. (2012). Development and validation of a macroinvertebrate index of biotic integrity ( IBI ) for assessing urban impacts to northern California freshwater wetlands. Eniveronmental monitoring and Assessment, 184, 3653–3674.

    CAS  Article  Google Scholar 

  • Marquardt, D. W. (1970). Generalized inverses, ridge regression, biased linear estimation, and nonlinear estimation. Technometrics, 12, 591–612.

    Article  Google Scholar 

  • McCartney, M., Rebelo, L. M., Sellamuttu, S., & de Silva, S. (2010). Wetlands, agriculture and poverty reduction. Colombo, Sri Lanka: International Water Management Institute, pp 39. (IWMI Research Report 137). doi:10.5337/2010.230.

  • MEA. (2005). Ecosystem and human well-being: Wetland and water synthesis. Washington, DC: World water resources Institute.

    Google Scholar 

  • Mereta, S. T., Boets, P., Ambelu, A., Malu, A., Ephrem, Z., Sisay, A., et al. (2012). Analysis of environmental factors determining the abundance and diversity of macroinvertebrate taxa in natural wetlands of Southwest Ethiopia. Ecological Informatics, 7, 52–61.

    Article  Google Scholar 

  • Mereta, S. T., Boets, P., Meester, L. D., & Goethals, P. L. M. (2013). Development of a multimetric index based on benthic macroinvertebrates for the assessment of natural wetlands in Southwest Ethiopia. Ecological Indicators, 29, 510–521.

    CAS  Article  Google Scholar 

  • Mitsch, W. J., & Gosselink, J. G. (2000). Wetlands (Third ed.p. 920). New York, USA: Wiley.

    Google Scholar 

  • Mwinyihija, M., Strachan, N. J. C., Dawson, J., Meharg, A., & Killham, K. (2006). An ecotoxicological approach to assessing the impact of tanning industry effluent on river health. Archives of Environmental Contamination and Toxicology, 50, 316–324.

    CAS  Article  Google Scholar 

  • Prati, L., Pavanello, R., & Pesarin, F. (1971). Assessment of surface water quality by a single index of pollution. Water Resources, 5, 741–751.

    CAS  Google Scholar 

  • Rader, R. B., & Shiozawa, D. K. (2001). General principles of establishing a bioassessment program (Chapter 2, pages 13-44) in RB Rader, DP Batzer and SA Wissinger (eds.) Bioassessment and management of North American Freshwater Wetlands. 115 Fifth Avenue, New York, NY, 10003: John Wiley and Sons publishers.

  • Roy, A. H., Rosemond, A. D., Paul, M. J., Leigh, D. S., & Wallace, J. B. (2003). Stream macroinvertebrate response to catchment urbanisation (Georgia, U.S.a.) Freshwater Biology, 48(2), 329–346.

    Article  Google Scholar 

  • Saloom, M. E., & Duncan, R. S. (2005). Low dissolved oxygen levels reduce anti-predator behaviors of the freshwater clam Corbicula fluminea. Freshwater Biology, 50, 1233–1238.

    Article  Google Scholar 

  • Setegn, S. G., Srinivasan, R., & Dargahi, B. (2008). Hydrological modelling in the Lake Tana Basin, Ethiopia using SWAT model. The open Hydrology Journal, 2(1), 49–62.

    Article  Google Scholar 

  • Shelly, S. Y., Mirza, Z. B., & Bashir, S. (2011). Comparative ecological study of aquatic macroinvertebrates of Mangla dam and Chashma barrage wetland areas. Journal of Animal and Plant Sciences, 21, 340–350.

    Google Scholar 

  • Silver, C. A., & Vamosi, S. M. (2012). Macroinvertebrate community composition of temporary prairie wetlands: A preliminary test of the effect of rotational grazing. Wetlands, 32, 185–197.

    Article  Google Scholar 

  • Steinman, A. D., Conklin, J., Bohlen, P. J., & Uzarski, D. G. (2003). Influence of cattle grazing and pasture land use on macroinvertebrate communities in freshwater wetlands. Wetlands, 23(4), 877–889.

    Article  Google Scholar 

  • Teferi, E., Uhlenbrook, S., Bewket, W., Wenninger, J., & Simane, B. (2010). The use of remote sensing to quantify wetland loss in the Choke Mountain range, upper Blue Nile basin, Ethiopia. Hydrology and Earth System Sciences, 14(12), 2415–2428.

    Article  Google Scholar 

  • ter Braak, C. J. F., & Šmilauer, P. (2002). CANOCO reference manual and Canoco Draw for windows user’s guide: Software for canonical community ordination (version 4.5) pp 500. Ithaca, NY, USA.

  • Von Bertrab, G. M., Von Krein, A., Stendera, S., Thielen, F., & Hering, D. (2013). Is fine sediment deposition a main driver for the composition of benthic macroinvertebrate assemblages ? Ecological Indicators, 24, 589–598.

    CAS  Article  Google Scholar 

  • Wolfson, L., Mokma, D., Schultink, G., & Dersch, E. (2002). Development and use of a wetlands information system for assessing wetland functions. Lakes and Reservoirs: Research and Management, 7, 207–216.

    Article  Google Scholar 

  • Wondie, A. (2010). Improving management of shoreline and riparian wetland ecosystems: The case of Lake tana catchment. Ecohydrology and Hydrobiology, 10, 123–131.

    CAS  Article  Google Scholar 

  • Xu, C., Sheng, S., Zhou, W., Cui, L., & Liu, M. (2011). Characterizing wetland change at landscape scale in Jiangsu Province, China. Environmental Monitoring and Assessment, 179, 279–292.

    Article  Google Scholar 

  • Yimer, D. H., & Mengistou, S. (2009). Water quality parameters and macroinvertebrates index of biotic integrity of the Jimma wetlands, southwestern Ethiopia. Wetlands, 3, 77–93.

    Google Scholar 

Download references

Acknowledgements

The authors would like to acknowledge the Jimma University and Bahir Dar University for providing financial assistance for this study. The authors wish to thank all people who helped with laboratory and fieldwork. The study area map was digitized by Mr. Biniam Sisheber from the department of Geography, Bahir Dar University. We are grateful for the anonymous reviewers who commented on the earlier draft of the manuscript.

Author contributions

Ayenew Gezie has conceived the main idea of the paper, collected the data, and has written the paper. Wassie Anteneh and Eshete Dejen have been helping in writing and reading the paper. Seid Tiku Mereta has been helping with data analysis and writing the paper.

Author information

Affiliations

Authors

Corresponding author

Correspondence to Seid Tiku Mereta.

Ethics declarations

Conflict of interest

The authors declare that they have no conflict of interest.

Rights and permissions

Reprints and Permissions

About this article

Verify currency and authenticity via CrossMark

Cite this article

Gezie, A., Anteneh, W., Dejen, E. et al. Effects of human-induced environmental changes on benthic macroinvertebrate assemblages of wetlands in Lake Tana Watershed, Northwest Ethiopia. Environ Monit Assess 189, 152 (2017). https://doi.org/10.1007/s10661-017-5853-2

Download citation

  • Received:

  • Accepted:

  • Published:

  • DOI: https://doi.org/10.1007/s10661-017-5853-2

Keywords

  • Family richness
  • Human disturbance
  • Leather tanning
  • Macroinvertebrates
  • Wetlands