Abstract
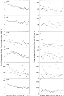
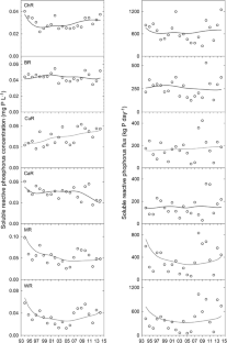
Long-term trends in tributaries provide valuable information about temporal changes in inputs of nutrients and sediments to large rivers. Data collected from 1991 to 2014 were used to investigate trends in total nitrogen (TN), total phosphorus (TP), nitrate (NO3–N), soluble-reactive P (SRP), and total suspended solids (TSS) in the following six tributaries of the upper Mississippi River: Cannon (CaR; Minnesota (MN)), Maquoketa (MR; Iowa (IA)), Wapsipinicon (WR; IA), Cuivre (CuR; Missouri (MO)), Chippewa (ChR; Wisconsin (WI)), and Black (BR; WI) rivers. Weighted regression on time discharge and season was used to statistically remove effects of random variation in discharge from estimated trends in flow-normalized concentrations and flux. Concentration and flux of TSS declined in all six rivers. Concentration of P declined in four of the rivers, and P flux declined in five rivers. Concentration and flux of N exhibited small changes relative to TP. TN concentration and flux did not change substantially in four of the rivers and decreased in two (ChR, CuR). Nitrate concentration and flux increased in three rivers (ChR, BR, CaR) and remained relatively constant in the other three rivers. General declines in P and TSS suggest that improvements in agricultural land management, such as the adoption of conservation tillage and enrollment of vulnerable acreage into the Conservation Reserve Program, may have reduced surface runoff; similar reductions in N were not observed.









Similar content being viewed by others
Explore related subjects
Discover the latest articles, news and stories from top researchers in related subjects.References
Alexander, R. B., Smith, R. A., & Schwartz, G. E. (2000). Effect of stream channel size on the delivery of nitrogen to the Gulf of Mexico. Nature, 403, 758–761. doi:10.1038/35001562.
Alexander, R. B., Smith, R. A., Schwartz, G. E., Boyer, E. W., Nolan, J. V., & Brakebill, J. W. (2008). Differences in phosphorus and nitrogen delivery to the Gulf of Mexico from the Mississippi River basin. Environmental Science and Technology, 42, 822–830. doi:10.1021/es0716103.
Alvarez-Cobelas, M., Angeler, D. G., & Sanchez-Carrillo, S. (2008). Export of nitrogen from catchments: a worldwide analysis. Environmental Pollution, 156, 261–269. doi:10.1016/j.envpol.2008.02.016.
Alvarez-Cobelas, M., Sanchez-Carrillo, S., Angeler, D. G., & Sanchez-Andres, R. (2009). Phosphorus export from catchments: a global view. Journal of the North American Benthological Society, 28, 805–820. doi:10.1899/09-073.1.
APHA (American Public Health Association) (1989). Standard methods for the examination of water and wastewater (17th ed.). Washington, DC: American Public Health Association.
Baker, N. T. (2011). Tillage practices in the conterminous United States, 1989–2004: Datasets aggregated by watershed. U.S. Geological Survey Data Series 573. Reston, Virginia.
Belby, C. (2009). Human impacts of sedimentation and nutrient sequestration in the Upper Mississippi River floodplain. Ph.D. dissertation. Madison: University of Wisconsin.
Bilotta, G. S., & Brazier, R. E. (2008). Understanding the influence of suspended solids on water quality and aquatic biota. Water Research, 42, 2849–2861. doi:10.1016/j.watres.2008.03.018.
Blann, K. L., Anderson, J. L., Sands, G. R., & Vondracek, B. (2009). Effects of agricultural drainage on aquatic ecosystems: a review. Critical Reviews in Environmental Science and Technology, 39, 909–1001. doi:10.1080/10643380801977966.
Blesh, J., & Drinkwater, L. E. (2013). The impact of nitrogen source and crop rotation on nitrogen mass balances in the Mississippi River basin. Ecological Applications, 23, 1017–1035. doi:10.1890/12-0132.1.
Broussard, W., & Turner, R. E. (2009). A century of changing land-use and water-quality relationships in the continental US. Frontiers in Ecology and the Environment, 7, 302–307. doi:10.1890/080085.
Carey, R. O., Hochmuth, G. J., Martinez, C. J., Boyer, T. H., Dukes, M. D., Toor, G. S., & Cisar, J. L. (2013). Evaluating nutrient impacts in urban watersheds: challenges and research opportunities. Environmental Pollution, 173, 138–149. doi:10.1016/j.envpol.2012.10.004.
David, M. B., Drinkwater, L. E., & McIsaac, G. F. (2010). Sources of nitrate yields in the Mississippi River basin. Journal of Environmental Quality, 39, 1657–1667. doi:10.2134/jeq2010.0115.
Donner, S. D., & Kucharik, C. J. (2008). Corn-based ethanol production compromises goal of reducing nitrogen export by the Mississippi River. Proceedings of the National Academy of Sciences, 105, 4513–4518. doi:10.1073/pnas.0708300105.
Fry, J., Xian, G., Jin, S., Dewitz, J., Homer, C., Yang, L., Barnes, C., Herold, N., & Wickham, J. (2011). Completion of the 2006 national land cover database for the conterminous United States. Photogrammetric Engineering and Remote Sensing, 77, 858–864.
Garrett, J. D. (2012). Concentrations, loads, and yields of select constituents from major tributaries of the Mississippi and Missouri Rivers in Iowa, water years 2004–2008. U.S. Geological Survey Scientific Investigations Report 2012–5240. Reston, Virginia.
Heimann, D. C., Sprague, L. A., & Blevins, D. W. (2011). Trends in suspended-sediment loads and concentrations in the Mississippi River Basin, 1950–2009. U.S. Geological Survey Scientific Investigations Report 2011–5200. Reston, Virginia.
Hilton, J., O’Hare, M., Bowes, M. J., & Jones, J. I. (2006). How green is my river? A new paradigm of eutrophication in rivers. Science of the Total Environment, 365, 66–83. doi:10.1016/j.scitotenv.2006.02.055.
Hirsch, R. M., Moyer, D. L., & Archfield, S. A. (2010). Weighted regressions on time, discharge, and season (WRTDS) with an application to Chesapeake Bay river inputs. Journal of the American Water Resources Association, 46, 857–880. doi:10.1111/j.1752-1688.2010.00482.x.
Houser, J. N., Bierman, D. W., Burdis, R. M., & Soeken-Gittinger, L. A. (2010). Longitudinal trends and discontinuities in nutrients, chlorophyll, and suspended solids in the upper Mississippi River: implications for transport, processing, and export by large rivers. Hydrobiologia, 651, 127–144. doi:10.1007/s10750-010-0282-z.
Houser, J. N., Giblin, S. M., James, W. F., Langrehr, H. A., Rogala, J. T., Sullivan, J. F., & Gray, B. R. (2013). Nutrient cycling, connectivity and free-floating plant abundance in backwater lakes of the upper Mississippi River. River Systems, 21, 71–89. doi:10.1127/1868-5749/2013/0080.
Jacobson, L. M., David, M. B., & Drinkwater, L. E. (2011). A spatial analysis of phosphorus in the Mississippi River basin. Journal of Environmental Quality, 40, 931–941. doi:10.2134/jeq2010.0386.
Johnson, H. O., Gupta, S. C., Vecchia, A. V., & Zvomuya, F. (2009). Assessment of water quality trends in the Minnesota River using non-parametric and parametric methods. Journal of Environmental Quality, 38, 1018–1030. doi:10.2134/jeq2008.0250.
Jones, C. S., & Schilling, K. E. (2011). From agricultural intensification to conservation: sediment transport in the Raccoon River, Iowa, 1916-2009. Journal of Environmental Quality, 40, 1911–1923. doi:10.2134/jeq2010.0507.
King, K. W., Williams, M. R., Macrae, M. L., Fausey, N. R., Frankenberger, J., Smith, D. R., Kleinman, P. J. A., & Brown, L. C. (2015). Phosphorus transport in agricultural subsurface drainage: a review. Journal of Environmental Quality, 44, 467–485. doi:10.2134/jeq2014.04.0163.
Lafrancois, B. M., Magdalene, S., Johnson, D. K., VanderMuelen, D., & Engstrom, D. (2013). Water quality conditions and trends in the Mississippi National River and Recreational Area: 1976–2005. Natural Resource Technical Report NPS/GLKN/NRTR-2013/691. Fort Collins, Colorado.
Li, D., Kung-Sik, C., & Schilling, K. E. (2013). Nitrate concentration trends in Iowa’s rivers, 1998 to 2012: what challenges await nutrient reduction initiatives? Journal of Environmental Quality, 42, 1822–1828. doi:10.2134/jeq2013.03.0111.
Lorenz, D. L., Robertson, D. M., Hall, D. W., & Saad, D. A. (2009). Trends in streamflow and nutrient and suspended-sediment concentrations and loads in the Upper Mississippi River, Ohio, Red, and Great Lakes River Basins, 1975–2004. U.S. Geological Survey Scientific Investigations Report 2008–5213. Reston, Virginia.
Maetens, W., Poesen, J., & Vanmaercke, M. (2012). How effective are soil conservation techniques in reducing plot runoff and soil loss in Europe and the Mediterranean? Earth-Science Reviews, 115, 21–36. doi:10.1016/j.earscirev.2012.08.003.
Mainstone, C. P., & Parr, W. (2002). Phosphorus in rivers—ecology and management. Science of the Total Environment, 282-283, 25–47. doi:10.1016/S0048-9697(01)00937-8.
Makarewicz, J. C., Lewis, T. W., Bosch, I., Noll, M. R., Herendeen, N., Simon, R. D., Zollweg, J., & Vodacek, A. (2009). The impact of agricultural best management practices on downstream systems: soil loss and nutrient chemistry and flux to Conesus Lake, New York, USA. Journal of Great Lakes Research, 35, 23–36. doi:10.1016/j.jglr.2008.10.006.
Markus, M., Demissie, M., Short, M. B., Verma, S., & Cooke, R. A. (2014). Sensitivity analysis of annual nitrate loads and the corresponding trends in the lower Illinois River. Journal of Hydrologic Engineering, 19, 533–543. doi:10.1061/(asce)he.1943-5584.
McIsaac, G. F., David, M. B., & Gertner, G. Z. (2016). Illinois River nitrate-N concentrations and loads: long term variation and association with watershed N inputs. Journal of Environmental Quality. doi:10.2134/jeq2015.10.0531.
Meals, D. W., Dressing, S. A., & Davenport, T. E. (2010). Lag time in water quality response to best management practices: a review. Journal of Environmental Quality, 39, 85–96. doi:10.2134/jeq2009.0108.
Meinikmann, K., Hupfer, M., & Lewandowski, J. (2015). Phosphorus in groundwater discharge—a potential for lake eutrophication. Journal of Hydrology, 524, 214–226. doi:10.1016/j.jhydrol.2015.02.031.
Moore, M., Romano, S. P., & Cook, T. (2010). Synthesis of upper Mississippi River system submersed and emergent aquatic vegetation: past, present, and future. Hydrobiologia, 640, 103–114. doi:10.1007/s10750-009-0062-9.
MPCA (Minnesota Pollution Control Agency). (2013). Nitrogen in Minnesota surface waters. MPCA Document wq-s6-26a. St. Paul, Minnesota.
Pellerin, B. A., Bergamaschi, B. A., Gilliom, R. J., Crawford, C. G., Saraceno, J. F., Frederick, C. P., Downing, B. D., & Murphy, J. C. (2014). Mississippi River nitrate loads from high frequency sensor measurements and regression-based load estimation. Environmental Science and Technology, 48, 12612–12619. doi:10.1021/es504029c.
Randall, G. W., & Mulla, D. J. (2001). Nitrate nitrogen in surface waters as influenced by climatic conditions and agricultural practices. Journal of Environmental Quality, 30, 337–344. doi:10.2134/jeq2001.302337x.
Restrepo, J. D., Kjerfve, B., Hermelin, M., & Restrepo, J. C. (2006). Factors controlling sediment yield in a major south American drainage basin: the Magdalena River, Colombia. Journal of Hydrology, 316, 213–232. doi:10.1016/j.jhydrol.2005.05.002.
Ryan, P. A. (1991). Environmental effects of sediment on New Zealand streams: a review. New Zealand Journal of Marine and Freshwater Research, 25, 207–221. doi:10.1080/00288330.1991.9516472.
Saad, D. A. (2008). Agriculture-related trends in groundwater quality of the glacial deposits aquifer, Central Wisconsin. Journal of Environmental Quality, 37, S209–S225. doi:10.2134/jeq2007.0053.
SAS Institute, Inc. (2013). Step-by-step programming with base SAS 9.4. Cary, NC: SAS Inst.
Scavia, D., & Donnelly, K. A. (2007). Reassessing hypoxia forecasts for the Gulf of Mexico. Environmental Science and Technology, 41, 8111–8117. doi:10.1021/es0714235.
Sharpley, A., Jarvie, H. P., Buda, A., May, L., Spears, B., & Kleinman, P. (2013). Phosphorus legacy: overcoming the effects of past management practices to mitigate future water quality impairment. Journal of Environmental Quality, 42, 1308–1326. doi:10.2134/jeq2013.03.0098.
Smil, V. (2000). Phosphorus in the environment: natural flows and human interferences. Annual Review of Energy and the Environment, 25, 53–88. doi:10.1146/annurev.energy.25.1.53.
Sprague, L. A., Hirsch, R. M., & Aulenbach, B. T. (2011). Nitrate in the Mississippi River and its tributaries, 1980 to 2008: are we making progress? Environmental Science and Technology, 45, 7209–7216. doi:10.1021/es201221s.
Strauss, E. A., Richardson, W. B., Bartsch, L. A., & Cavanaugh, J. C. (2011). Effect of habitat type on in-stream nitrogen loss in the Mississippi River. River Systems, 19, 261–269. doi:10.1127/1868-5749/2011/019-0021.
Tesoriero, A. J., Duff, J. H., Saad, D. A., Spahr, N. E., & Wolock, D. M. (2013). Vulnerability of streams to legacy nitrate sources. Environmental Science and Technology, 47, 3623–3629. doi:10.1021/es305026x.
Tomer, M. D., & Locke, M. A. (2011). The challenge of documenting water quality benefits of conservation practices: a review of USDA-ARS’s conservation effects assessment project watershed studies. Water Science and Technology, 64, 300–310. doi:10.2166/wst.2011.555.
USDA (2001). 1997 National resources inventory. Washington, DC: Natural Resources Conservation Service.
USDA. (2012). Assessment of the effects of conservation practices on cultivated cropland in the Upper Mississippi River basin. Resource Document. U.S. Department of Agriculture. http://www.nrcs.usda.gov/Internet/FSE_DOCUMENTS/stelprdb1042093.pdf. Accessed 16 June 2015.
Vogelmann, J. E., Howard, S. M., Yang, L., Larson, C. R., Wylie, B. K., & Van Driel, J. N. (2001). Completion of the 1990’s national land cover data set for the conterminous United States. Photogrammetric Engineering and Remote Sensing, 67, 650–662.
Walter, T., Dosskey, M., Khanna, M., Miller, J., Tomer, M., & Weins, J. (2007). The science of targeting within landscapes and watersheds to improve conservation effectiveness. In M. Schnepf & C. Cox (Eds.), Managing agricultural landscapes for environmental quality: strengthening the science base (pp. 63–89). Iowa: Soil and Water Conservation Society.
Withers, P. J. A., & Jarvie, H. P. (2008). Delivery and cycling of phosphorus in rivers: a review. Science of the Total Environment, 400, 379–395. doi:10.1016/j.scitotenv.2008.08.002.
Wood, P. J., & Armitage, P. D. (1997). Biological effects of fine sediment in the lotic environment. Environmental Management, 21, 203–217. doi:10.1007/s002679900019.
Acknowledgments
Data presented here were collected as part of the LTRM element of the UMRR Program which also supported the authors’ work on this manuscript. We thank the staff of the Minnesota DNR Lake City Field Station, the Wisconsin DNR La Crosse Field Station, the IA DNR Bellevue Field Station, and the Illinois Natural History Survey field station located at the National Great Rivers Research and Education Center for their extraordinary efforts in sample and data collection. JC Nelson provided graphical and GIS assistance, and other staff at the USGS Upper Midwest Environmental Sciences Center processed samples and provided data management support. Lori Sprague generously provided initial guidance regarding the use of WRTDS and a review of an early draft manuscript. This manuscript was also improved by reviews from John Barko, Barry Johnson, and two anonymous reviewers. Any use of trade, product, or firm names is for descriptive purposes only and does not imply endorsements by the US Government.
Author information
Authors and Affiliations
Corresponding author
Electronic supplementary material
ESM 1
Additional details on the sampling schedule throughout the period of study, the Maquoketa River TSS analysis, and the effects of discharge on concentrations through time can be found in the supplemental online resource. (DOC 2934 kb)
Rights and permissions
About this article
Cite this article
Kreiling, R.M., Houser, J.N. Long-term decreases in phosphorus and suspended solids, but not nitrogen, in six upper Mississippi River tributaries, 1991–2014. Environ Monit Assess 188, 454 (2016). https://doi.org/10.1007/s10661-016-5464-3
Received:
Accepted:
Published:
DOI: https://doi.org/10.1007/s10661-016-5464-3


