Skip to main content

Contrasting effects of untreated textile wastewater onto the soil available nitrogen-phosphorus and enzymatic activities in aridisol

Abstract

Water shortage and soil qualitative degradation are significant environmental problems in arid and semi-arid regions of the world. The increasing demand for water in agriculture and industry has resulted in the emergence of wastewater use as an alternative in these areas. Textile wastewater is produced in surplus amounts which poses threat to the environment as well as associated flora and fauna. A 60-day incubation study was performed to assess the effects of untreated textile wastewater at 0, 25, 50, 75, and 100 % dilution levels on the physico-chemical and some microbial and enzymatic properties of an aridisol soil. The addition of textile wastewater provoked a significant change in soil pH and electrical conductivity and soil dehydrogenase and urease activities compared to the distilled-water treated control soil. Moreover, compared to the control treatment, soil phosphomonoesterase activity was significantly increased from 25 to 75 % application rates, but decreased at 100 % textile wastewater application rate. Total and available soil N contents increased significantly in response to application of textile wastewater. Despite significant increases in the soil total P contents after the addition of textile wastewater, soil available P content decreased with increasing concentration of wastewater. Changes in soil nutrient contents and related enzymatic activities suggested a dynamic match between substrate availability and soil N and P contents. Aridisols have high fixation and low P availability, application of textile wastewater to such soils should be considered only after careful assessment.

This is a preview of subscription content, access via your institution.

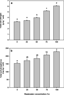
Fig. 1
Fig. 2
Fig. 3
Fig. 4
Fig. 5
Fig. 6

References

  • Al-Kdasi, A., Idris, A., Saed, K., & Guan, C. (2004). Treatment of textile wastewater by advanced oxidation processes-A review, Global Nest. International Journal, 6, 222–230.

    Google Scholar 

  • Almeida, L. C., Garcia-Segura, S., Arias, C., Bocchi, N., & Brillas, E. (2012). Electrochemical mineralization of the azo dye Acid Red 29(Chromotrope2R) by Photoelectro-Fenton process. Chemosphere, 89, 751–758.

    CAS  Article  Google Scholar 

  • APHA (American Public Health Association). (1995). Standard methods for the examination of water and wastewater (19th ed.). Washington D.C.: American Public Health Association.

    Google Scholar 

  • Arias, M., Barral, M. T., & Mejuto, J. C. (2002). Enhancement of copper and cadmium adsorption on kaolin by the presence of humic acids. Chemosphere, 48, 1081–1088.

    CAS  Article  Google Scholar 

  • Badiane, N. N. Y., Chotte, J. L., Pate, E., Masse, D., & Rouland, C. (2001). Use of soil enzyme activities to monitor soil quality in natural and improved fallows in semi-arid tropical regions. Applied Soil Ecology, 18, 229–238.

    Article  Google Scholar 

  • Bame, I. B., Hughes, J. C., Titshall, L. W., & Buckley, C. A. (2014). The effect of irrigation with anaerobic baffled reactor effluent on nutrient availability, soil properties and maize growth. Agricultural Water Management, 134, 50–59.

    Article  Google Scholar 

  • Bastida, F., Moreno, J. K., Hernandez, T., & Garcia, C. (2006). Microbiological degradation index of soils in a semiarid climate. Soil Biology and Biochemistry, 38, 3463–3473.

    CAS  Article  Google Scholar 

  • Bergstrom, D. W., Monreal, C. M., & King, D. J. (1998). Sensitivity of soil enzyme activities to conservation practices. Soil Science Society of America Journal, 62, 1286–1295.

    CAS  Article  Google Scholar 

  • Bremner, J. M., & Tabatabai, M. A. (1972). Use of an ammonia electrode for determination of ammonium in Kjeldahl analysis of soils. Communications in Soil Science and Plant Analysis, 3, 71–80.

    Article  Google Scholar 

  • Brzezinska, M., Tiwari, S. C., Stepniwska, Z., Nosalewicz, M., Bennicelli, R. P., & Samborska, A. (2006). Variation of enzyme activities, CO2 evolution and redox potential in an Eutric Histosol irrigated with wastewater and tap water. Biology and Fertility of Soils, 43, 131–135.

    Article  Google Scholar 

  • Casida, L. E., Klein, D. A., & Santoro, T. (1964). Soil dehydrogenase activity. Soil Science, 98, 371–376.

    CAS  Article  Google Scholar 

  • Cordovil, C. M. S., de Varennes, A., Pinto, R., & Fernandes, R. C. (2011). Changes in mineral nitrogen, soil organic matter fractions and microbial community level physiological profiles after application of digested pig slurry and compost from municipal organic wastes to burned soils. Soil Biology and Biochemistry, 43, 845–852.

    CAS  Article  Google Scholar 

  • Dakouré, M. Y. S., Mermoud, A., Yacouba, H., & Boivin, P. (2013). Impacts of irrigation with industrial treated wastewater on soil properties. Geoderma, 200–201, 31–39.

    Google Scholar 

  • Dawei, M. A., Renbin, Z., Wei, D., JianJun, S., Yashu, L., & Li-Guang, S. (2011). Alkaline phosphatase activity in ornithogenic soils in polar tundra. Advances in Polar Science, 22, 92–100.

    Google Scholar 

  • DeLuca, T. H., Glanville, H. C., Harris, M., Emmett, B. A., Pingree, M. R. A., de Sosa, L. L., Cerdá-Moreno, C., & Jones, D. L. (2015). A novel biologically-based approach to evaluating soil phosphorus availability across complex landscapes. Soil Biology and Biochemistry, 88, 110–119.

    CAS  Article  Google Scholar 

  • Ensink, J. H. J., Mahmood, T., Van der Hoek, W., Raschid-Sally, L., & Amerasinghe, F. P. (2004). A nation-wide assessment of wastewater use in Pakistan: an obscure activity or a vitally important one? Water Policy, 6, 1–10.

    Google Scholar 

  • Garg, V. K., & Kaushik, P. (2006). Influence of short-term irrigation of textile mill wastewater on the growth of chickpea cultivars. Chemistry and Ecology, 22, 193–200.

    CAS  Article  Google Scholar 

  • Garg, V. K., & Kaushik, P. (2008). Influence of textile mill wastewater irrigation on the growth of sorghum cultivars. Applied Ecology and Environmental Research, 6, 1–12.

    Article  Google Scholar 

  • Gee, G. W., & Bauder, J. W. (1986). Particle-size analysis. In A. Klute (Ed.), Methods of Soil Analysis. Part 1—Physical and Mineralogical Methods (Vol. 2nd, pp. 383–411). Madison, WI: SSSA.

    Google Scholar 

  • Geisseler, D., Horwath, W. R., & Doane, T. A. (2009). Significance of organic nitrogen uptake from plant residues by soil microorganisms as affected by carbon and nitrogen availability. Soil Biology and Biochemistry, 41, 1281–1288.

    CAS  Article  Google Scholar 

  • Ghaly, A. E., Ananthashankar, R., Alhattab, M., & Ramakrishnan, V. V. (2014). Production, characterization and treatment of textile effluents: a critical review. Journal of Chemical Engineering & Process Technology, 5, 182. doi:10.4172/2157-7048.1000182.

    Google Scholar 

  • Grant, C. A., Flaten, D. N., Tomasiewicz, D. J., & Sheppard, S. C. (2001). The importance of early season phosphorus nutrition. Canadian Journal of Plant Science, 81, 211–224.

    CAS  Article  Google Scholar 

  • Henriksen, T. M., & Breland, T. A. (1999). Decomposition of crop residues in the field; evaluation of a simulation model developed from microcosm studies. Soil Biology and Biochemistry, 31, 1423–1434.

    CAS  Article  Google Scholar 

  • Hernández, T., Moral, R., Perez-Espinosa, J., Moreno-Caselles, M. D., & Garcia, C. (2002). Nitrogen mineralization potential in calcareous soils amended with sewage sludge. Bioresource Technology, 83, 213–219.

    Article  Google Scholar 

  • Kandeler, E., & Gerber, H. (1988). Short-term assay of soil urease activity using colorimetric determination of ammonium. Biology and Fertility of Soils, 6, 68–72.

    CAS  Article  Google Scholar 

  • Kandeler, E., Kampichler, C., & Horak, O. (1996). Influence of heavy metals on the functional diversity of soil microbial communities. Biology and Fertility of Soils, 23, 299–306.

    CAS  Article  Google Scholar 

  • Kaushik, P., Garg, V. K., & Singh, B. (2005). Effect of textile effluent on growth performance of wheat cultivars. Bioresource Technology, 96, 1189–1193.

    CAS  Article  Google Scholar 

  • Kayikcioglu, H. H. (2012). Short-term effects of irrigation with treated wastewater on microbiological activity of a Vertic xerofluvent soil under Mediterranean conditions. Journal of Environmental Management, 102, 108–114.

    CAS  Article  Google Scholar 

  • Kiziloglu, F. M., Turan, M., Sahin, U., Kuslu, Y., & Dursun, A. (2008). Effects of untreated and treated wastewater irrigation on some chemical properties of cauliflower (Brassica olerecea L. var. botrytis) and red cabbage (Brassica olerecea L. var. rubra) grown on calcareous soil in Turkey. Agric. Water Manage, 95, 716–724.

    Article  Google Scholar 

  • Khalid, A., Saba, B., Kanwal, H., Nazir, A., & Arshad, M. (2013). Responses of pea and wheat to textile wastewater reclaimed by suspended sequencing batch bioreactors. International Biodeterioration & Biodegradation, 85, 550–555.

    CAS  Article  Google Scholar 

  • Khan, K. S., & Joergensen, R. G. (2009). Changes in microbial biomass and P fractions in biogenic household waste compost amended with inorganic P fertilizers. Bioresource Technology, 100, 303–309.

    CAS  Article  Google Scholar 

  • Khorsandi, N., & Nourbakhsh, F. (2007). Effect of amendment of manure and corn residues on soil N mineralization and enzyme activity. Agronomy for Sustainable Development, 27, 139–143.

    CAS  Article  Google Scholar 

  • Knechtel, R. J. (1978). A more economical method for the determination of chemical oxygen demand. Water Pollution Control, 166, 25–29.

    Google Scholar 

  • Liang, Q., Gao, R. T., Xi, B. D., Zhang, Y., & Zhang, H. (2014). Long term effects of irrigation using water from the river receiving treated industrial wastewater on soil organic carbon fractions and enzyme activities. Agricultural Water Management, 135, 100–108.

    Article  Google Scholar 

  • Marín-Benito, J. M., Andrades, M. S., Sánchez-Martín, M. J., & Rodríguez-Cruz, M. S. (2012). Dissipation of fungicides in a vineyard soil amended with different spent mush-room substrates. Journal of Agricultural and Food Chemistry, 60, 6936–6945.

    Article  Google Scholar 

  • Mekki, A., Dhouib, A., Aloui, F., & Sayadi, S. (2006). Olive wastewater as an ecological fertilizer. Agronomy for Sustainable Development, 26, 61–67.

    CAS  Article  Google Scholar 

  • Mohawesh, O., Mahmoud, M., Janssen, M., & Lennartz, B. (2014). Effect of irrigation with olive mill wastewater on soil hydraulic and solute transport properties. International Journal of Environmental Science and Technology, 11, 927–934.

    CAS  Article  Google Scholar 

  • Morugán-Coronado, A., García-Orenes, F., Mataix-Solera, J., Arcenegui, V., & Mataix-Beneyto, J. (2011). Short-term effects of treated wastewater irrigation on Mediterranean calcareous soil. Soil & Tillage Research, 112, 18–26.

    Article  Google Scholar 

  • Mosse, K. P. M., Patti, A. F., Smernik, R. J., Christen, E. W., & Cavagnaro, T. R. (2012). Physicochemical and microbiological effects of long and short-term winery wastewater application to soils. Journal of Hazardous Materials, 201–202, 219–228.

    Article  Google Scholar 

  • Motta, S. R., & Maggiore, T. (2013). Evaluation of nitrogen management in maize cultivation grows on soil amended with sewage sludge and urea. European Journal of Agronomy, 45, 59–67.

    CAS  Article  Google Scholar 

  • Murphy, J., & Riley, J. P. (1962). A modified single solution method for determination of phosphate in natural waters. Analytica Chimica Acta, 27, 31–36.

    CAS  Article  Google Scholar 

  • Nannipieri, P., Kandeler, E., & Ruggiero, P. (2002). Enzyme activities and microbiological and biochemical processes in soil. In R. G. Burns & R. Dick (Eds.), Enzymes in the environment (pp. 1–33). New York: Marcel Dekker.

    Google Scholar 

  • Olsen, S. R., Cole, C. V., Watanabe, F. S., & Dean, L. A. (1954). Estimation of available phosphorus in soils by extraction with sodium bicarbonate. Washington: USDA. Circular / United States Department of Agriculture (no. 939).

    Google Scholar 

  • Pak-SCEA. (2006). Strategic country environmental assessment report: Rising to the challenges. Pakistan: Pak-SCEA.

    Google Scholar 

  • Rhee, H. P., Yoon, C. G., Son, Y. K., & Jang, J. H. (2011). Quantitative risk assessment for reclaimed wastewater irrigation on paddy rice field in Korea. Paddy and Water Environment, 9, 183–191.

    Article  Google Scholar 

  • Riaz, M., Mian, I. A., & Cresser, M. S. (2012). How much does NH4 +-N contribute to mineral-N losses in N-impacted acid soils under grassland in the UK? A microcosm study. Chemistry and Ecology, 28, 25–36.

    CAS  Article  Google Scholar 

  • Rodríguez-Liébana, J. A., ElGouzi, S., Mingorance, M. D., Castillo, A., & Pena, A. (2014). Irrigation of a Mediterranean soil under field conditions with urban wastewater: Effect on pesticide. Agriculture, Ecosystems & Environment, 185, 176–185.

    Article  Google Scholar 

  • Schimel, J. P., & Weintraub, M. N. (2003). The implications of exoenzyme activity on microbial carbon and nitrogen limitation in soil: a theoretical model. Soil Biology and Biochemistry, 35, 549–563.

    CAS  Article  Google Scholar 

  • Seshadri, B., Kunhikrishnan, A., Bolan, N., & Naidu, R. (2014). Effect of industrial waste products on phosphorus mobilization and biomass production in abattoir wastewater irrigated soil. Environmental Science and Pollution Research, 21, 10013–10021.

    CAS  Article  Google Scholar 

  • Sierra, J., Martí, E., Garau, M. A., & Cruañas, R. (2007). Effects of the agronomic use of olive oil mill wastewater: field experiment. The Science of the Total Environment, 378, 90–94.

    CAS  Article  Google Scholar 

  • Sinsabaugh, R. L., & Moorhead, D. L. (1994). Resource allocation to extracellular enzyme production: a model for nitrogen and phosphorus control of litter decomposition. Soil Biology and Biochemistry, 26, 1305–1311.

    Article  Google Scholar 

  • Subbiah, B. V., & Asija, G. L. (1956). A rapid procedure for the determination of available nitrogen in soils. Current Science, 31, 196–196.

    Google Scholar 

  • Tabatabai, M. A., & Bremner, J. M. (1969). Use of nitrophenyl phosphate assay of soil phosphatase activity. Soil Biology and Biochemistry, 1, 301–307.

    CAS  Article  Google Scholar 

  • Thapliyal, A., Vasudevan, P., Dastidar, M. G., Tandon, M., & Mishra, S. (2013). Effects of irrigation with domestic wastewater on productivity of green chili and soil status. Communications in Soil Science and Plant Analysis, 44, 2327–2343.

    CAS  Article  Google Scholar 

  • Tilman, D., Cassman, K. G., Matson, P. A., Naylor, R., & Polasky, S. (2002). Agricultural sustainability and intensive production practices. Nature, 418, 671–677.

    CAS  Article  Google Scholar 

  • Turner, S., Schippers, A., Meyer-Stüve, S., Guggenberger, G., Gentsch, N., Dohrmann, R., Condron, L. M., Eger, A., Almond, P. C., Peltzer, D. A., Richardson, S. J., & Mikutta, R. (2014). Mineralogical impact on long-term patterns of soil nitrogen and phosphorus enzyme activities. Soil Biology and Biochemistry, 68, 31–43.

    CAS  Article  Google Scholar 

  • UN WWAP. (2009). United Nations World Water Assessment Programme. The World Water Development Report 3: Water in a Changing World. Paris, France: UNESCO. Retrieved 05 January, 2016 from http://www.unwater.org/wwd10/downloads/WWD2010_Facts_web.pdf.

    Google Scholar 

  • Walkley, A., & Black, I. A. (1934). An examination of the degtjareff method for determining soil organic matter, and a proposed modification of the chromic acid titration method. Soil Science, 37, 29–38.

    CAS  Article  Google Scholar 

  • Yim, M. W., & Tam, N. F. Y. (1999). Effects of wastewater-borne heavy metals on mangrove plants and soil microbial activities. Marine Pollution Bulletin, 39, 179–186.

    CAS  Article  Google Scholar 

  • Zhang, L., Wang, S., & Imai, A. (2015). Spatial and temporal variations in sediment enzyme activities and their relationship with the trophic status of Erhai Lake. Ecological Engineering, 75, 365–369.

    Article  Google Scholar 

  • Zhao, D., Li, F., & Wang, R. (2012). The effects of different urban land use patterns on soil microbial biomass nitrogen and enzyme activities in urban area of Beijing, China. Acta Ecologica Sinica, 32, 144–149.

    Article  Google Scholar 

Download references

Acknowledgements

This work is supported financially by the Higher Education Commission (HEC), Pakistan. The results presented in this paper are a part of M. Phil studies of Mr. Akhtar Rasool.

Author information

Affiliations

Authors

Corresponding author

Correspondence to Muhammad Saleem Arif.

Rights and permissions

Reprints and Permissions

About this article

Verify currency and authenticity via CrossMark

Cite this article

Arif, M.S., Riaz, M., Shahzad, S.M. et al. Contrasting effects of untreated textile wastewater onto the soil available nitrogen-phosphorus and enzymatic activities in aridisol. Environ Monit Assess 188, 102 (2016). https://doi.org/10.1007/s10661-016-5112-y

Download citation

  • Received:

  • Accepted:

  • Published:

  • DOI: https://doi.org/10.1007/s10661-016-5112-y

Keywords

  • Textile wastewater
  • Soil nitrogen
  • Soil phosphorus
  • Soil enzymes
  • Aridisol