Skip to main content

Aquifer wise seasonal variations and spatial distribution of major ions with focus on fluoride contamination-Pandharkawada block, Yavatmal district, Maharashtra, India

Abstract

Seasonal variations in groundwater reveal lesser concentrations of major ions except NO3 during post-monsoon seasons in shallow aquifers as compared to deeper aquifers. The F concentration from deeper aquifers is high in both seasons and shows a moderate positive relationship with weathering depth and is >5 mg/L in compound lava flow. Groundwater is mainly a Ca-HCO3 type in shallow aquifers and mixed type in deeper aquifers. Fluoride shows a positive correlation with pH, Na+, HCO3 in shallow aquifers and an inverse correlation with Ca2+ and HCO3 from deeper aquifers in both seasons. Approximately 45 % of the samples are not suitable for drinking from both aquifers but suitable for irrigation purposes. Rock-water interaction, moderate alkalinity, sluggish movement, and higher residence time are the main causes for high F in deeper aquifers as compared to shallow aquifers. As recommendations, drinking water requirement may be met from shallow aquifers/surface water and fluoride rich groundwater for other purposes. Most effective defluoridation techniques like ion exchange and reverse osmosis may be adopted along with integrated fluorosis mitigation measures and rooftop rainwater harvesting. Supplementary calcium and phosphorous rich food should be provided to children and creating awareness about safe drinking water habits, side effects of high F, and NO3 rich groundwater, improving oral hygiene conditions are other measures.

This is a preview of subscription content, access via your institution.

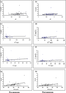
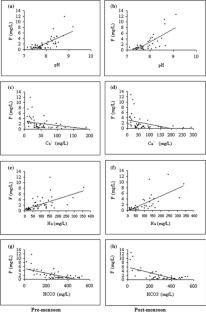
Fig. 1
Fig. 2
Fig. 3
Fig. 4
Fig. 5
Fig. 6
Fig. 7
Fig. 8
Fig. 9
Fig. 10

References

  • Agrawal, V., Vaish, A. K., & Vaish, P. (1997). Groundwater quality: focus on fluoride and fluorosis in Rajasthan. Current Science, 73(9), 743–746.

    CAS  Google Scholar 

  • Apambire, W. B., Boyle, D. R., & Michel, F. A. (1997). Geochemistry, genesis, and health implications of fluoriferous ground waters in the upper regions of Ghana. Environmental Geology, 33(1), 13–24.

    CAS  Article  Google Scholar 

  • APHA. (1998). Standard methods for the examination of water and waste water (20th ed., pp. 10–161). Washington, DC: American Public Health Association.

    Google Scholar 

  • Babu, P., Gonade, G., Bhai, H. Y., & Sinha, M. (2004). Fluoride contamination in groundwater in Ghatanji taluka, Yavatmal district, Maharashtra. Geological Survey India Special Publication, 83, 96–101.

    Google Scholar 

  • Barnes, C. J., Jacobson, G., & Smith, G. D. (1992). The origin of high nitrate ground waters in the Australian arid zone. Journal of Hydrology, 137, 181–197.

    CAS  Article  Google Scholar 

  • BIS. (2003). Drinking water-specification IS: 10500; 1991, Edition 2.1 (1993–01) Bureau of Indian Standards, New Delhi, p. 11.

  • Burjia, J. S., & Romani, S. (2003). Indian Journal of Public Adm, XLIX, 301–307.

  • CGWB. (1998). Ground water exploration in Maharashtra and Union Territory of Dadra Nagar and Haveli. Unpub. Report, Central Ground Water Board, Ministry of Water Resources, Government of India, Nagpur, Un pub. Report, 44–46.

  • CGWB. (1999). High fluoride groundwater in India: occurrences, genesis and remedies. Unpub. Report Central Ground Water Board, Ministry of Water Resources, Govt. of India, 29p.

  • Deshmukh, A. N., Wadaskar, P. M., & Malpe, D. B. (1995). Fluorine in environment: a review. Gondwana Geological Magazine, 9, 1–20.

    Google Scholar 

  • Gandhi, V. P., & Namboodari, N. V. (2009). Groundwater Irrigation in India: gains, costs and risks. W.P. No. 2009-03-08. Indian Institute of Management, Ahmadabad. p. 38.

  • Gibbs, R. J. (1970). Mechanism controlling world water chemistry. Science, 170(3962), 1088–1090.

    CAS  Article  Google Scholar 

  • Godfrey, S. (2007). Guidance manual on integrated fluorosis mitigation. NEERI, UNICEF, 98.

  • GSI. (2001). District resource map of Yavatmal district, Maharashtra. Geological Survey of India, Central Region, Nagpur.

  • Gupta, S. K. & Sharma, P. (1995). An approach to tackling fluoride problem in drinking water. Current Science, 68(8), 774

  • Handa, B. K. (1987). High potassium content ground waters in India. A probe into their source. Bhu-Jal News. Quarterly Journal Central Ground Water Board, 2(1), 10–15.

    Google Scholar 

  • Hem, J. D. (1991). Study and interpretation of chemical characteristics of natural waters. Scientific pub.Jodhapur, India, p. 339.

  • Holz, G. K. (2009). Seasonal variation of groundwater levels and quality under intensive drained and grazed pastures in Montagu catchment, NW Tasmania. Journal of Agricultural Water Management, 96(12), 255–256.

    Article  Google Scholar 

  • Jacks, G., Bhattacharya, P., Chaudhary, V., & Singh, K. P. (2005). Controls on the genesis of some high-fluoride ground waters in India. Applied Geochemistry, 20, 221–228.

    CAS  Article  Google Scholar 

  • Karanth, K. R. (1987). Ground water assessment: development and management. Tata McGraw-Hill Education, p. 720.

  • Krisnaraj, C., Mathai, K. J., & Kumar, A. (2013). Studies on seasonal variations of ground water quality in major cities of southern parts of India (Chennai, Bangalore and Hyderabad). Journal of Modern Biotechnology, 2(3), 77–81.

    Google Scholar 

  • Kross, B. C., Hallberg, G. R., Bruner, D. R., Sherry Holmes, K., & Johnson, J. K. (1993). The nitrate contamination of private well water in Iowa. American Journal of Public Health, 83, 270–272.

    CAS  Article  Google Scholar 

  • Kruse, E., & Ainchil, J. (2003). Fluoride variations in groundwater of an area in Buenos Aires Province, Argentina. Environmental of Geology, 44, 86–89.

    CAS  Google Scholar 

  • Kundu, N., Panigrahi, M. K., Tripathy, S., Munshi, S., Powell, M. A., & Hart, B. R. (2001). Geochemical appraisal of fluoride contamination of groundwater in the Nayagarh District of Orissa, India. Environmental Geology, 41(3–4), 451–460.

    CAS  Google Scholar 

  • Madhnure, P., Sirsikar, D. Y., Tiwari, A. N., Ranjan, B., & Malpe, D. B. (2007). Occurrence of fluoride in the groundwaters of Pandharkawada area, Yavatmal district, Maharashtra, India. Current Science, 92(5), 675–679.

    CAS  Google Scholar 

  • Madhnure, P., Malpe, D. B., & Rao, N. V. C. (2011). Electron probe micro analyzer (EPMA) studies of basalt rock from fluoride rich groundwater areas of Pandharkawada Taluka, Yavatmal district, Maharashtra. Journal of Applied Geochemistry, 13(2), 192–197.

    CAS  Google Scholar 

  • Mukherjee, S., & Pandey, D. S. (1994). Nitrate pollution in ground water at Jaunpur and its environs, Uttar Pradesh. Bhu-Jal News. Quarterly Journal Central Ground Water Board, 9(2), 22–25.

    Google Scholar 

  • Pathak, H., & Limaye, S. N. (2011). Study of seasonal variation in groundwater quality of Sagar city (India) by principal component analysis. E-Journal of Chemistry, 8(4), 2000–2009.

    CAS  Article  Google Scholar 

  • PHC. (2001). Details of fluorosis. Primary Health Centre, Pahaphal, Panchayat Samithee, Pandharkawada, District, Yavatmal, p. 9.

  • Piper, A. M. (1944). A graphic procedure in the geochemical interpretation of water analysis. Translations of the American Geophysical Union, 25, 914–923.

    Article  Google Scholar 

  • Piskin, R. (1973). Evaluation of nitrate content of groundwater in Hall County, Nebraska. Ground Water, 11(6), 4–13.

    Article  Google Scholar 

  • Ramamohana Rao, N. V., Rao, N., Surya Prakash Rao, K., & Schuiling, R. D. (1993). Fluorine distribution in waters of Nalgonda District, Andhra Pradesh, India. Journal of Environmental Geology, 21, 84–89.

    Article  Google Scholar 

  • Ramesam, V., & Rajagopalan, K. (1985). Fluoride ingestion into the natural waters of hard-rock areas, Peninsular India. Journal of the Geological Society of India, 26, 125–132.

    CAS  Google Scholar 

  • Reddy, A. G. S. (2014). Geochemical evaluation of nitrate and fluoride contamination in varied hydrogeological environs of Prakasam district, Southern India. Journal of Environmental Earth Sciences, 71(10), 4473–4495. doi:10.1007/s12665-013-2841-x.

    CAS  Article  Google Scholar 

  • Reddy, D. V., Nagabhushanam, P., Sukhija, B. S., Reddy, A. G. S., & Smedley, P. L. (2009). Fluoride dynamics in the granite aquifer of the Wailapally watershed Nalgonda District, India. doi:10.1016/j.chemgeo.2009.10.003, 12.

  • RGNDWM (1993). Prevention and control of fluorosis in India: health aspects. Rajiv Gandhi National Drinking Water Mission, Ministry of Rural Development, Govt. of India, New Delhi, v.1.

  • Ritter, W. F., & Chirnside, A. E. M. (1984). Impact of land use on groundwater quality in Southern Delaware. Ground Water, 22(1), 38–47.

    CAS  Article  Google Scholar 

  • Rukah, Y. A., & Alsokhny, K. (2003). Geochemical assessment of groundwater contamination with special emphasis on fluoride concentration, North Jordan. Chemie der Erde, 64, 171–181.

    Article  Google Scholar 

  • Sahu, N. K., & Karim, M. A. (1989). Fluoride incidence in natural waters in Amreli district, Gujarat. Journal of the Geological Society of India, 33, 450–456.

    CAS  Google Scholar 

  • Saxena, V., & Ahmed, S. (2001). Dissolution of fluoride in groundwater: a water-rock interaction study. Environmental Geology Journal, 40(9), 1084–1087. doi:10.1007/s002540100290.

    CAS  Article  Google Scholar 

  • Shirazi, S. M., Zardari, N. H., Yusop, Z., & Ismail, Z. (2014). Groundwater quality assesmnentfor potential source of irrigation at Karimganj basin in Bangladesh. Journal of Environemental protection and Ecology, 15(3), 860–869.

    CAS  Google Scholar 

  • Shrott, H. E., Merobert, G. R., Barnald, T. W., & Nayar, A. S. M. (1937). Endemic fluorosis in the Madras presidency. Indian Journal of Medical Research, 25, 553–561.

    Google Scholar 

  • Subba Rao, N. (2006). Seasonal variation of groundwater quality in a part of Guntur District, Andhra Pradesh, India. Environmental Geology, 49, 413–429. doi:10.1007/s00254-005-0089-9.

    Article  Google Scholar 

  • Subba Rao, N., & Rao, A. T. (2003). Fluoride in groundwater in a developing area of Guntur district, Andhra Pradesh, India. Journal of Applied Geochemistry, 5(2), 94–100.

    Google Scholar 

  • Sujatha, D. (2003). Fluoride levels in the groundwater of the south-eastern part of Rangareddy district, Andhra Pradesh, India. Environmental Geology, 44(5), 587–591. doi:10.1007/s00254-003-0795-0.

    CAS  Article  Google Scholar 

  • Susheela, A. K. (2003). A treatise on fluorosis. Revised second edition, 137p.

  • Tamta, S. R. (1996). Impact of land use environment on distribution of potassium in ground water- Karnataka case. Bhu-Jal News. Quarterly Journal Central Ground Water Board, 11(3&4), 4–10.

    Google Scholar 

  • U.S. Salinity Laboratory Staff. (1954). Diagnosis and improvement of saline and alkali soils. US Department of Agriculture, Handbook No. 60.

  • UNICEF. (1999). State of art report on the extent of fluoride in drinking water and the resulting endemicity in India. New Delhi: UNICEF.

    Google Scholar 

  • WHO. (1984). Guidelines for drinking water quality. Vol.2. Health criteria and other supporting information. World Health Organization, Geneva.

  • Wodeyar, B. K., & Sreenivasan, G. (1996). Occurrence of fluoride in the ground waters and its impact in Peddavankahalla Basin, Bellary District, Karnataka—a preliminary study. Journal Current Science, 70(1), 71–74.

    CAS  Google Scholar 

Download references

Acknowledgments

The Authors thank Shri K.B. Biswas, Chairman, and Sri. K.C. Naik, Member (TT and WQ) of the Central Ground Water Board, Govt. of India for according permission to submit the paper. First author thanks the Head of the Geology Department, RTMNU Nagpur for providing the facilities while carrying out the research work. The other agencies’ work, like Ground Water Surveys and Development Agency, Govt of Maharashtra, is duly acknowledged.

Author information

Affiliations

Authors

Corresponding author

Correspondence to Madhnure Pandith.

Rights and permissions

Reprints and Permissions

About this article

Verify currency and authenticity via CrossMark

Cite this article

Pandith, M., Malpe, D.B., Rao, A.D. et al. Aquifer wise seasonal variations and spatial distribution of major ions with focus on fluoride contamination-Pandharkawada block, Yavatmal district, Maharashtra, India. Environ Monit Assess 188, 72 (2016). https://doi.org/10.1007/s10661-015-5027-z

Download citation

  • Received:

  • Accepted:

  • Published:

  • DOI: https://doi.org/10.1007/s10661-015-5027-z

Keywords

  • Aquifer
  • Seasonal variations
  • Basalt
  • Fluoride
  • Contamination and groundwater