Skip to main content

Total coliforms, arsenic and cadmium exposure through drinking water in the Western Region of Ghana: application of multivariate statistical technique to groundwater quality

Abstract

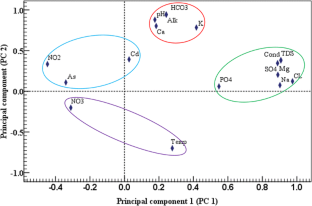
In recent times, surface water resource in the Western Region of Ghana has been found to be inadequate in supply and polluted by various anthropogenic activities. As a result of these problems, the demand for groundwater by the human populations in the peri-urban communities for domestic, municipal and irrigation purposes has increased without prior knowledge of its water quality. Water samples were collected from 14 public hand-dug wells during the rainy season in 2013 and investigated for total coliforms, Escherichia coli, mercury (Hg), arsenic (As), cadmium (Cd) and physicochemical parameters. Multivariate statistical analysis of the dataset and a linear stoichiometric plot of major ions were applied to group the water samples and to identify the main factors and sources of contamination. Hierarchal cluster analysis revealed four clusters from the hydrochemical variables (R-mode) and three clusters in the case of water samples (Q-mode) after z score standardization. Principal component analysis after a varimax rotation of the dataset indicated that the four factors extracted explained 93.3 % of the total variance, which highlighted salinity, toxic elements and hardness pollution as the dominant factors affecting groundwater quality. Cation exchange, mineral dissolution and silicate weathering influenced groundwater quality. The ranking order of major ions was Na+ > Ca2+ > K+ > Mg2+ and Cl > SO4 2− > HCO3 . Based on piper plot and the hydrogeology of the study area, sodium chloride (86 %), sodium hydrogen carbonate and sodium carbonate (14 %) water types were identified. Although E. coli were absent in the water samples, 36 % of the wells contained total coliforms (Enterobacter species) which exceeded the WHO guidelines limit of zero colony-forming unit (CFU)/100 mL of drinking water. With the exception of Hg, the concentration of As and Cd in 79 and 43 % of the water samples exceeded the WHO guideline limits of 10 and 3 μg/L for drinking water, respectively. Reported values in some areas in Nigeria, Malaysia and USA indicated that the maximum concentration of Cd was low and As was high in this study. Health risk assessment of Cd, As and Hg based on average daily dose, hazard quotient and cancer risk was determined. In conclusion, multiple natural processes and anthropogenic activities from non-point sources contributed significantly to groundwater salinization, hardness, toxic element and microbiological contamination of the study area. The outcome of this study can be used as a baseline data to prioritize areas for future sustainable development of public wells.

This is a preview of subscription content, access via your institution.

Fig. 1
Fig. 2
Fig. 3
Fig. 4
Fig. 5
Fig. 6
Fig. 7
Fig. 8

References

  • Abbasnejad, A., Mirzaie, A., Derakhshani, R., & Esmaeilzadeh, E. (2013). Arsenic in ground waters of the alluvial aquifer of Bardsir Plain SE Iran. Environmental Earth Science, 69(8), 2549–2557.

    Article  CAS  Google Scholar 

  • AbuAmr, S. S., & Yassin, M. M. (2008). Microbial contamination of the drinking water distribution system and its impact on human health in Khan Yunis Governerate Gaza Strip: seven years of monitoring (2000–2006). Public Health, 122(11), 1275–1283.

    Article  CAS  Google Scholar 

  • Alaerts, G. J., & Khouri, N. (2004). Arsenic contamination of groundwater: mitigation strategies and policies. Hydrogeology Journal, 12(1), 103–114.

    Article  CAS  Google Scholar 

  • AlOtaibi, E. L. S. (2009). Bacteriological assessment of urban water sources in Khamis Mushait Governorate, southwestern Saudi Arabia. International Journal of Health Geographics, 8(16), 16–24.

    Article  Google Scholar 

  • APHA, AWWA, WPCF. (1995). Standard methods for examination of water and wastewater analysis (19th ed.). Washington, DC: American Public Health Association.

    Google Scholar 

  • Asamoah, D. N., & Amorin, R. (2011). Assessment of the quality of bottled/sachet water in the Tarkwa-Nsuaem Municipality (TM) of Ghana. Research Journal of Applied Science Engineering and Technology, 3, 377–385.

    CAS  Google Scholar 

  • Asiedu, D. K., Dampare, S. B., Sakyi, A., Banoeng-Yakubo, B., Osae, S., Nyarko, B. J. B., & Manu, J. (2004). Geochemistry of Paleoproterozoic metasedimentary rocks from the Birim diamondiferous field, southern Ghana: Implications for provenance and crustal evolution at the Archean-Proterozoic boundary. Geochemical Journal, 38(3), 215–228.

    Article  CAS  Google Scholar 

  • Asubiojo, O. I., Nkono, N. A., Ogunsua, A. O., Oluwole, A. F., Ward, N. I., Akanle, O. A., & Spyrou, N. M. (1997). Trace elements in drinking and groundwater samples in Southern Nigeria. The Science of the Total Environment, 208, 1–8.

    Article  CAS  Google Scholar 

  • Atherholt, T. B., Bousenberry, R. T., Carter, G. P., Korn, L. R., Louis, J. B., Serfes, M. E., & Waller, D. A. (2013). Coliform bacteria in New Jersey domestic wells: influence of geology, laboratory, and method. Groundwater, 51(4), 562–574.

    Google Scholar 

  • Banoeng-Yakubo, B., Yidana, S. M., Anku, Y., Akabzaa, T., & Asiedu, D. (2009). Water quality characterization in some Birimian aquifers of the Birim Basin, Ghana. KSCE Journal of Civil Engineering, 13(3), 179–187.

    Article  Google Scholar 

  • Bennetts, D. A., Webb, J. A., Stone, D. J. M., & Hill, D. M. (2006). Understanding the salinisation processes for groundwater in an area of southeastern Australia, using hydrochemical and isotopic evidence. Journal of Hydrology, 323, 178–192.

    Article  Google Scholar 

  • Bhardway, V., & Singh, D. S. (2011). Surface and groundwater quality characterization of Deoria District, Gaga Basin, India. Environmental Earth Science, 53, 383–395.

    Article  Google Scholar 

  • Bhuiyan, A. A. H., Suruvi, N. I., Dampare, S. B., Islam, M. A., Quraishi, S. S., Ganyaglo, S., & Suzuku, S. (2011). Investigation of the possible sources of heavy metal contaminants in lagoon and canal water in the ternary industrial area in Dhaka, Bangladesh. Environmental Monitoring and Assessment, 175, 633–649.

    Article  CAS  Google Scholar 

  • Bordalo, A. A., & Bordalo-Savva, J. (2007). The quest for safe drinking water: an example from Guinea-Bissau (West Africa). Water Research, 41, 2978–2986.

    Article  CAS  Google Scholar 

  • Charlet, L., & He, J. (2013). A review of arsenic presence in China drinking water. Journal of Hydrology, 492, 79–88.

    Article  Google Scholar 

  • Cheesbrough, M. (1984). Medical laboratory manual for tropical countries, volume 2: microbiology (2nd ed., pp. 206–222). Fakenham: Tropical Health Technology.

    Google Scholar 

  • Conboy, M. J., & Goss, M. J. (2000). Natural protection of groundwater against bacteria of fecal origin. Journal of Contaminant Hydrology, 43(1), 1–24.

    Article  CAS  Google Scholar 

  • Cude, C. G. (2005). Accommodating change of bacterial indicators in long term water quality datasets. Journal of American Water Resources Association, 41(1), 47–54.

    Article  Google Scholar 

  • Caylak, E. (2012). Health risk assessment for arsenic in water sources of Cankiri Province of Turkey. CLEAN - Soil, Air, Water, 40, 728–734.

    Article  CAS  Google Scholar 

  • Datta, P. S., & Tyagi, S. K. (1996). Major ion chemistry of groundwater in Delhi area: chemical weathering processes and groundwater flow regime. Journal of Geological Society of India, 47, 179–188.

    CAS  Google Scholar 

  • Denton, G. R. W., & Sian-Denton, C. M. (2010). Groundwater monitoring on Guam: management responses to recent water quality violations. Groundwater Monitoring and Remediation, 30(2), 127–133.

    Article  CAS  Google Scholar 

  • Dickson, K. B., & Benneh, G. (1998). A new geography of Ghana (pp. 27–52). Harlow: Longman Group UK Ltd.

    Google Scholar 

  • Donkor, A. K., Bonzongo, J.-D. J., Nartey, V. K., & Adotey, D. K. (2008). Heavy metals in sediments of the gold mining impacted Pra River Basin, Ghana, West Africa. Soil and Sediment Contamination, 14(6), 479–503.

    Google Scholar 

  • Donkor, A. K., Bozongo, J. C., Nartey, V. K., & Adotey, D. K. (2006). Mercury in different environmental compartments of the Pra River. Science of the Total Environment, 368(1), 164–176.

    Article  CAS  Google Scholar 

  • Embrey, S.S., & Runkle, D.L. (2006). Microbial quality of the nation’s ground-water resources, 1993–2004. Scientific Investigations Report 2006–5290. Reston, Virginia: United States Geological Survey.

  • Fisher, R. S., & Mullican, F. W. (1997). Hydrochemical evolution of sodium-sulfate and sodium-chloride groundwater beneath the Northern Chihuahuan Desert, Trans-Pecos, Texas, USA. Hydrogeology Journal, 5, 14–16.

    Article  Google Scholar 

  • Francy, D. S., Helsel, D. R., & Nally, R. A. (2000). Occurrence and distribution of microbiological indicators in groundwater and stream water. Water and Environment Research, 72(2), 152–161.

    Article  CAS  Google Scholar 

  • Fraser, S. L., Arnett, M., & Sinave, C.P. (2014). Enterobacter infections. Medscape document. http://www.emedicine.medscape.com/article/216845-overview. Accessed 16 July 2014.

  • Fujioka, R. S., & Yoneyama, B. S. (2001). Assessing the vulnerability of groundwater sources to fecal contamination. Journal of American Water Works Association, 93(8), 62–71.

    CAS  Google Scholar 

  • Ganyaglo, S. Y., Osae, S., Dampare, S. B., Fianko, J. R., Bhuiyan, M. A. H., Gibrilla, A. A., Bam, E., Ahialey, E., & Osei, J. (2012). Preliminary groundwater quality assessment in the central region of Ghana. Environmental Earth Science, 66(2), 573–587.

    Article  CAS  Google Scholar 

  • Ghabayen, S. M. S., McKee, M., & Kemblowski, M. (2006). Ionic and isotopic ratios for identification of salinity sources and missing data in the Gaza aquifer. Journal of Hydrology, 318(1–4), 360–373.

    Article  Google Scholar 

  • Godt, J., Scheideig, F., Grosse-Siestrup, C., Esche, V., Branndebburg, P., Reich, A., & Groneberg, D. A. (2006). The toxicity of cadmium and resulting hazards for human health. Journal of Occupational Medical Toxicology, 10, 1–22.

    Google Scholar 

  • Howard, G., Pedley, S., Barrett, M., Nalubega, M., & Johal, K. (2003). Risk factors contributing to microbiological contamination of shallow groundwater in Kampala, Uganda. Water Research, 37(14), 3421–3429.

    Article  CAS  Google Scholar 

  • Hussain, M., Ahmed, S. Y., & Abderrahman, W. (2008). Cluster analysis and quality assessment of logged water at an irrigation project, eastern Saudi Arabia. Journal of Environmental Management, 86, 297–307.

    Article  CAS  Google Scholar 

  • Hynds, P. D., Thomas, M. K., & Pintar, K. D. M. (2014). Contamination of groundwater systems in the US and Canada by Enteric Pathogens, 1990–2013: a review and pooled-analysis. PLoS ONE, 9(5), e93301. doi:10.1371/journal.pone.0093301.

    Article  Google Scholar 

  • Isa, M. N., Lim, Y. W., Azmin, W. W., Sulaiman, W. N. Z. W., & Praveena, S. M. (2014). Evaluation of heavy metal contamination in groundwater samples from Kapas Island, Terengganu, Malaysia. Arabian Journal of Geoscience, 7, 1084–1110.

    Article  Google Scholar 

  • Jeyaseelam, A., Narmatha, T., Mohan, S. P., & Ram, V. M. (2011). Integrating multivariate statistical analysis with GIS for ground water in Pambar Sub-basin, Tamil Nadu, India. International Journal of Geomatics and Geoscience, 2, 392–402.

    Google Scholar 

  • Karim, M. M. D. (2000). Arsenic in groundwater and health problems in Bangladesh. Water Research, 34, 304–310.

    Article  CAS  Google Scholar 

  • Kuma, S. J. (2004). Is groundwater in the Tarkwa gold mining district of Ghana potable? Environmental Geology, 45(3), 391–400.

    Article  CAS  Google Scholar 

  • Kusimi, B. A., & Kusimi, J. M. (2012). The hydrochemistry of water resources in selected mining communities in Tarkwa. Journal of Geochemical Exploration, 112, 252–261.

    Article  CAS  Google Scholar 

  • Khan, S., Cao, Q., Zheng, Y. M., Huang, Y. Z., & Zhu, Y. G. (2008). Health risk of heavy metals in contaminated soils and food crops irrigated with wastewater in Beijing, China. Environmental Pollution, 152, 686–692.

  • Khan, S., Shahnaz, M., Jehan, N., Rehman, S., Shah, M. T., & Din, I. (2012). Drinking water quality and human health risk in Charsadda district, Pakistan. Journal of Cleaner Production, 60, 1–9.

    Google Scholar 

  • Kwaansa-Ansah, E. E., Basu, N., & Nriagu, J. O. (2010). Environmental and occupational exposures to mercury among indigenous people in Dunkwa-On-Offin, a small scale gold mining area in the south-west of Ghana. Bulletin of Environmental Contamination and Toxicology, 85(5), 476–480.

    Article  CAS  Google Scholar 

  • Leboeuf, P. P., Bosch, A. P., Calvache, M. L., Vallejos, A., & Andreu, J. M. (2003). Strontium, SO4 2−/Cl and Mg2+/Ca2+ ratios as tracers for the evolution of seawater into coastal aquifers: the example of Castell de Ferro aquifer (SE Spain). Comptes Rendus Geoscience, 335, 1039–1048.

    Article  Google Scholar 

  • Leclerc, H., Mossel, D. A. A., Edberg, S. C., & Struijk, C. B. (2001). Advances in the bacteriology of the coliform group: their suitability as markers of microbial water safety. Annual Review of Microbiology, 55, 201–234.

    Article  CAS  Google Scholar 

  • Lee, J. Y., & Song, S. H. (2007). Evaluation of groundwater quality in coastal areas: implications for sustainable agriculture. Environmental Geology, 52(7), 1231–1242.

    Article  CAS  Google Scholar 

  • Lu, K. L., Liu, C. W., & Jang, C. S. (2012). Using multivariate statistical methods to assess the groundwater quality in an arsenic-contaminated area of southwestern Taiwan. Environmental Monitoring and Assessment, 184(10), 6071–6085.

    Article  CAS  Google Scholar 

  • Leube, A., Hirdes, W., Mauer, R., & Kesse, G. O. (1990). The early Proterozoic Birimian supergroup of Ghana and some aspects of its associated gold mineralization. Precambrian Research, 46(1–2), 139–165.

    Article  Google Scholar 

  • Luparello, C., Sirchia, R., & Longo, A. (2011). Cadmium as a transcriptional modulator in human cells. Critical Reviews in Toxicology, 41(1), 73–80.

    Article  CAS  Google Scholar 

  • Masoud, A. A. (2014). Groundwater quality assessment of shallow aquifers west of the Nile Delta (Egypt) using multivariate statistical and geostatistical technique. Journal of African Earth Science, 95, 123–137.

    Article  CAS  Google Scholar 

  • Mahmood, A., Muqbool, W., Mumtaz, M. W., & Ahmad, F. (2011). Application of multivariate statistical techniques for the characterization of groundwater quality of Lahore, Gujranwala and Sialkot (Pakistan). Pakistan Journal of Analytical and Environmental Chemistry, 12(1–2), 102–112.

    CAS  Google Scholar 

  • Memon, M., Soomro, M. S., Akhtar, M. S., & Memon, K. S. (2011). Drinking water quality assessment in Southern Sindh (Pakistan). Environmental Monitoring and Assessment, 177, 39–50.

    Article  CAS  Google Scholar 

  • Meybeck, M. (1987). Global chemical weathering of surficial rocks estimated from river-dissolved loads. American Journal of Science, 287(5), 401–428.

    Article  CAS  Google Scholar 

  • Mizanur, M., & Sarker, R. (2010). Determinants of arsenicosis patients’ perception and social implications of arsenic poisoning through groundwater in Bangladesh. International Journal of Environmental Research and Public Health, 7(10), 3644–3656.

    Article  Google Scholar 

  • Mondal, N. C., Singh, V. P., Singh, V. S., & Saxena, V. K. (2010). Determining the interaction between groundwater and saline water through groundwater major ions chemistry. Journal of Hydrology, 388(1–2), 100–111.

    Article  CAS  Google Scholar 

  • Mudiam, M. K. R., Pathak, S. P., Gopal, K., & Murthy, R. C. (2012). Studies on urban drinking water quality in a tropical zone. Environmental Monitoring and Assessment, 184(1), 461–469.

    Article  CAS  Google Scholar 

  • Mukhopadhyay, C., Vishwanath, S., Eshwara, V. K., Shankaranarayana, S. A., & Sagir, A. (2012). Microbial quality of well water from rural and urban households in Karnataka, India: a cross-sectional study. Journal of Infection and Public Health, 5, 257–262.

    Article  Google Scholar 

  • Mukherjee, A., & Chatterjee, A. (1999). Hydrogeological investigation of groundwater arsenic contamination in South Calcutta. Science of the Total Environment, 225, 249–262.

    Article  Google Scholar 

  • Muhammad, S., Shah, M. T., & Khan, S. (2010). Arsenic health risk assessment in drinking water and source apportionment using multivariate statistical techniques in Kohistan region, northern Pakistan. Food and Chemical Toxicology, 48(10), 2855–2864.

    Article  CAS  Google Scholar 

  • Narany, S. T., Ramli, M. F., Aris, A. Z., Sulaiman, W. N. A., & Fakharian, K. (2014). Spatiotemporal variation of groundwater quality using integrated multivariate statistical and geostatistical approaches in Amol-Babol plain, Iran. Environmental Monitoring and Assessment, 186, 5797–5815.

    Article  Google Scholar 

  • Nkansah, M. A., Boadi, O. N., & Badu, M. (2010). Assessment of the quality of water from hand dug wells in Ghana. Environmental Health Insights, 4, 7–12.

    Article  CAS  Google Scholar 

  • Nogueira, G., Nakamura, C. V., Tognim, M. C. B., AbreuFilho, B. A., & DiasFilho, B. P. (2003). Microbiological quality of drinking water of urban and rural communities, Brazil. Revista De Saude Publica, 37(2), 232–236.

    Article  Google Scholar 

  • Nguyen, V. A., Bang, S., Viet, P. H., & Kim, K. W. (2009). Contamination of groundwater and risk assessment for arsenic exposure in Ha Nam province, Vietnam. Environment International, 35, 466–472.

    Article  CAS  Google Scholar 

  • Odukoya, O. O., Omanwa, P. C., & Sanusi, O. I. (2010). Effect of highways and local activities on the quality of underground water in Ogun state, Nigeria. Environmental Monitoring and Assessment, 168, 1–10.

    Article  CAS  Google Scholar 

  • Okogbue, C. O., Omonona, O. V., & Aghamelu, O. P. (2012). Qualitative assessment of ground water from Egbe–Mopa basement complex area, North-Central Nigeria. Environmental Earth Science, 67, 1069–1083.

    Article  CAS  Google Scholar 

  • Ololade, I. A., Adewunmi, A., Ologundudu, A., & Adeleye, A. (2009). Effects of household wastes on surface and underground waters. International Journal of Physical Sciences, 4(1), 22–29.

    CAS  Google Scholar 

  • Oppong, S. O. B., Voegborlo, R. B., Agorku, S. E., & Adimado, A. A. (2010). Total mercury in fish, sediments and soil from the River Pra Basin, Southwestern Ghana. Bulletin of Environmental Contamination and Toxicology, 85(3), 324–329.

    Article  CAS  Google Scholar 

  • Park, Y., Lee, J.-Y., Kim, J.-H., & Song, S.-H. (2012). National scale evaluation of groundwater chemistry in Korea coastal aquifers: evidences of seawater intrusion. Environmental Earth Science, 66(3), 707–718.

    Article  CAS  Google Scholar 

  • Pedley, S., & Howard, G. (1997). The public health implications of microbiological contamination of groundwater. The Quarterly Journal of Engineering Geology, 179, 30–188.

    Google Scholar 

  • Pietrangeli, B., & Davolos, D. (2013). A molecular study on bacterial resistance to arsenic-toxicity in surface and underground waters of Latium (Italy). Ecotoxicology and Environmental Safety, 96, 1–9.

    Article  Google Scholar 

  • Prüss-Üstün, A., Bos, R., Gore, F., & Bartram, J. (2008). Safer water, better health: costs, benefits and sustainability of interventions to protect and promote health. Geneva, Switzerland: World Health Organization.

    Google Scholar 

  • Quagraine, E. K., & Adokoh, C. K. (2010). Assessment of dry season surface, ground and treated water quality in the Cape Coast municipality of Ghana. Environmental Monitoring and Assessment, 160(1–4), 521–539.

    Article  CAS  Google Scholar 

  • Ramteke, P. W., Bhattacharjee, J. W., Pathak, S. P., & Kalra, N. (1992). Evaluation of coliforms as indicator of water quality in India. Journal of Applied Bacteriology, 72(4), 352–356.

    Article  CAS  Google Scholar 

  • Rao, S. N. (2008). Factors controlling the salinity in groundwater in parts of Guntur district, Andhra Pradesh, India. Environmental Monitoring and Assessment, 138(1–3), 327–341.

    CAS  Google Scholar 

  • Sarin, M. M., Krishnaswami, S., Dill, K., Somayajulu, B. L. K., & Moore, W. S. (1989). Major ion chemistry of the Ganga-Brahmaputra river system: Weathering processes and fluxes to the Bay of Bengal. Geochimica et Cosmochimica Acta, 53, 997–1009.

    Article  CAS  Google Scholar 

  • Shihab, A. S., & AbdulBaqi, Y. T. (2010). Multivariate analysis of groundwater quality of Makhmoor Plain North Iraq. Damascus University Journal, 26(1), 19–26.

    Google Scholar 

  • Singh, K. P., Malik, A., Singh, V. K., Mohana, D., & Sinha, S. (2005). Chemometric analysis of groundwater quality data of alluvial aquifer of Gangetic plain. North India Analytica Chimica Acta, 550, 82–91.

    Article  CAS  Google Scholar 

  • Stallard, R. F., & Edmond, J. M. (1983). Geochemistry of the Amazon River—the influence of the geology and weathering environment on the dissolved load. Journal of Geophysical Research, 88, 9671–9688.

    Article  CAS  Google Scholar 

  • Stumm, W., & Morgan, J. J. (1996). Aquatic chemistry: chemical equilibria and rates in natural waters (3rd ed.). New York: Wiley.

    Google Scholar 

  • Sultana, J., Farooqi, A., & Ali, U. (2014). Arsenic concentration variability, health risk assessment, and source identification using multivariate analysis in selected villages of public water system, Lahore, Pakistan. Environmental Monitoring and Assessment, 186(2), 1241–1251.

    Article  CAS  Google Scholar 

  • Sylvester, P. J., & Attoh, K. (1992). Lithostratigraphy and composition of 2.1 Ga greenstone belts of the West African Craton and their bearing on crustal evolution and the Archean-Proterozoic boundary. The Journal of Geology, 100, 377–393.

    Article  CAS  Google Scholar 

  • Toccalino, P.L, Norman, J.E., & Hitt, K.J. (2013). Quality of source water from public-supply wells in the United States, 1993–2007. Scientific Investigations Report 2010–5024. West Trenton, New Jersey: United States Geological Survey, http://water.usgs.gov/nawqa/studies/public_wells. Accessed Sept 2013.

  • Treas, J. N., Tyagi, T., & Singh, K. P. (2012). Effects of chronic exposure to arsenic and estrogen on epigenetic regulatory genes expression and epigenetic code in human prostate epithelial cells. PloS One, 7, e43880.

    Article  CAS  Google Scholar 

  • Uddameri, V., Honnungar, V., & Hernandez, E. A. (2014). Assessment of groundwater quality in central and southern Gulf Coast aquifer, TX using principal component analysis. Environmental Earth Science, 71, 2653–2671.

    Article  CAS  Google Scholar 

  • Uhlmann, S., Galanis, E., Takaro, T., Mak, S., Gustafson, L., Embree, G., Bellack, N., Corbett, K., & Isaac-Renton, J. (2009). Where’s the pump? Associating sporadic enteric disease with drinking water using a geographic information system, in British Columbia, Canada, 1996–2005. Journal of Water and Health, 7(4), 692–698.

    Article  Google Scholar 

  • Ullah, I., Khan, I., & Ullah, H. (2012). Impact of sewage contaminated water on soil, vegetables and underground water of peri-urban Peshawar, Pakistan. Environmental Monitoring and Assessment, 184(10), 6411–6421.

    Article  CAS  Google Scholar 

  • US Environmental Protection Agency (USEPA) (1998). Arsenic, inorganic. United States Environmental Protection Agency, Integrated Risk Information System (IRIS), (CASRN 7440-38-2). http://www.epa.gov/iris/subst/0278.htm.

  • US Environmental Protection Agency (USEPA) (2005).Guidelines for carcinogen risk assessment. Risk Assessment Forum, Washington, DC, EPA/630/P-03/001F.

  • WHO. (2002). World Health Report: reducing risks—promoting healthy life. Geneva: World Health Organization.

    Google Scholar 

  • WHO (2006, 2008). Guidelines for drinking-water quality, 3rd edition, incorporating 1st and 2nd addenda, volume 1 recommendations. Geneva: WHO Press, World Health Organization, Switzerland.

  • WHO. (1996). Guidelines for drinking water quality (Health criteria and other supporting information 2nd ed., Vol. 2). Geneva: World Health Organization.

    Google Scholar 

  • WHO (2013). Water sanitation and health: facts and figures on water quality and health. World Health Organization, Switzerland. Available from http://www.who.int/water_sanitation_health/facts figures/en/. Accessed 10 July 2013.

  • Yadav, C. I., Devi, N. L., Mohan, D., Shihua, Q., & Singh, S. (2014). Assessment of groundwater quality with special reference to Arsenic in Nawalparasi District, Nepal using multivariate statistical technique. Environmental Earth Science, 72, 259–273.

    Article  CAS  Google Scholar 

  • Yassin, M. M., AbuAmr, S. S., & Al-Najar, H. M. (2006). Assessment of microbiological water quality and its relation to human health in Gaza Governorate, Gaza Strip. Public Health, 120(12), 1177–1187.

    Article  Google Scholar 

  • Yidana, S. M., Banoeng-Yakubo, B., & Akabzaa, T. M. (2010). Analysis of groundwater quality using multivariate and spatial analyses in the Keta basin, Ghana. Journal of African Earth Sciences, 58(2), 220–234.

    Article  CAS  Google Scholar 

  • Yidana, S. M., & Yidana, A. (2010). Assessing water quality using water quality index and multivariate analysis. Environmental Earth Sciences, 59(7), 1461–1473.

    Article  CAS  Google Scholar 

  • Yousaf, M., Ali, O. M., & Rhoades, J. D. (1987). Dispersion of clay from some salt-affected, and land soil aggregates. Soil Science Society of American Journal, 51(4), 920–924.

    Article  CAS  Google Scholar 

Download references

Acknowledgments

The authors would like to thank the Ghana Atomic Energy Commission, Kwabenya, Accra, Ghana for the laboratory space, the supply of reagents and financial support, without which this research work would not have been possible. In addition, we also express our profound thanks to Micheal Doleku of the Council for Scientific and Industrial Research, Accca, Ghana; Micheal Nash of the Nuclear Chemistry and Environmental Research Centre, Ghana Atomic Energy Commission, Accra, Ghana; and Bob Essien of the Chemistry Department, University of Ghana, Accra, Ghana, for their assistance in any aspect of the entire work.

Conflict of interest

None.

Author information

Affiliations

Authors

Corresponding author

Correspondence to Andrews Obeng Affum.

Additional information

Highlights

• Groundwater quality of hand-dug wells in peri-urban communities was characterized by multivariate analysis.

• Cadmium and arsenic levels in 43 and 79 % of wells were above WHO guideline values.

• Total coliforms in 36 % of wells were above WHO guideline values.

• Saline and sodium carbonate water types were identified in the study area.

• Health risk assessment indicates that groundwater in the study area is a health hazard.

• Geogenic and anthropogenic processes controlled groundwater quality in the study area.

Electronic supplementary material

Below is the link to the electronic supplementary material.

ESM Table 1

(DOC 77 kb)

ESM Figure 9

(DOC 76 kb)

ESM Figure 10

(DOC 76 kb)

ESM Figure 11

(DOC 82 kb)

ESM Figure 12

(DOC 77 kb)

ESM Figure 13

(DOC 76 kb)

ESM Figure 14

(DOC 76 kb)

ESM Figure 15

(DOC 77 kb)

Rights and permissions

Reprints and Permissions

About this article

Verify currency and authenticity via CrossMark

Cite this article

Affum, A.O., Osae, S.D., Nyarko, B.J.B. et al. Total coliforms, arsenic and cadmium exposure through drinking water in the Western Region of Ghana: application of multivariate statistical technique to groundwater quality. Environ Monit Assess 187, 1 (2015). https://doi.org/10.1007/s10661-014-4167-x

Download citation

  • Received:

  • Accepted:

  • Published:

  • DOI: https://doi.org/10.1007/s10661-014-4167-x

Keywords

  • Total coliforms
  • Toxic elements
  • Multivariate analysis
  • Health risk assessment
  • Drinking water
  • Hand-dug wells